A Sustainable Steel-GFRP Composite Bars Reinforced Concrete Structure: Investigation of the Bonding Performance
Abstract
1. Introduction
2. Pullout Test
2.1. Material
2.2. Specimen Design
2.3. Test Setup
3. Results and Discussion
3.1. Failure Mode
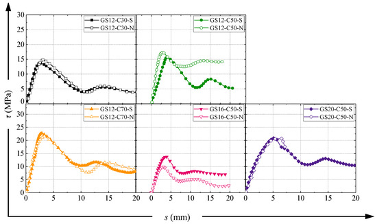
3.2. Bond Slip Curve
3.3. Parameter Impact Analysis
3.3.1. Concrete Strength
3.3.2. Diameter of Reinforcement
3.3.3. Stirrup Confinement
3.4. Bond Strength Prediction
3.5. Design Recommendations
4. Finite Element Analysis
4.1. Model Description
4.2. Constitutive Behavior of Materials
4.3. Interface Configuration
4.4. Model Validation
4.5. Finite Element Analysis Results Interpretation
5. Conclusions
- The bond-slip curve between the SFCB and concrete is mainly divided into three stages: the ascending stage, descending stage, and residual stage. Therefore, a bilinear bond-slip model was adopted to simulate the bond-slip relationship between the SFCB and concrete;
- The relationship between the bond-slip behavior of the SFCB and concrete remained unchanged regardless of variations in concrete strength or bar diameter. However, as the concrete strength increased, the bond strength between SFCB and concrete also enhanced. Furthermore, when the failure mode remained consistent, an increase in bar diameter led to a decrease in bond strength;
- For specimens without hoop reinforcement, when the bar diameter increased and led to insufficient concrete cover constraint, the SFCB-concrete specimens experienced splitting failure. Hoop reinforcement can provide the same constraint mechanism as the concrete cover layer. When there was hoop reinforcement, the interface failure mode can transition from splitting failure to pullout failure;
- The finite element model has good predictive accuracy for the bond strength and corresponding slip values of the SFCB-concrete interface. The average predicted bond strength ratio τ1FEM/τ1Exp is 0.94, and the average predicted slip value ratio s1FEM/s1Exp is 0.9. This can provide reference for the analysis of subsequent SFCB-concrete interfaces.
Author Contributions
Funding
Data Availability Statement
Acknowledgments
Conflicts of Interest
References
- Zeng, J.-J.; Xu, Z.; Chen, G.-M.; Xiong, M.-X. Compressive behavior of FRP-confined cruciform steel-reinforced normal- and high-strength concrete columns. J. Constr. Steel Res. 2023, 210, 108046. [Google Scholar] [CrossRef]
- Su, J.-Y.; Chen, G.; Pan, H.-S.; Lin, J.-X.; Zhang, J.; Zhuo, K.-X.; Chen, Z.-B.; Guo, Y.-C. Rubber modified high strength-high ductility concrete: Effect of rubber replacement ratio and fiber length. Constr. Build. Mater. 2023, 404, 133243. [Google Scholar] [CrossRef]
- Pan, H.; Xie, Z.; Chen, G.; Su, J.; Zhuo, K.; Chen, Z.; Lin, J.; Feng, C.; Guo, Y. Dynamic compressive behavior of high-strength engineered geopolymer composites. J. Build. Eng. 2023, 80, 108036. [Google Scholar] [CrossRef]
- Zeng, J.-J.; Yan, Z.-T.; Jiang, Y.-Y.; Li, P.-L. 3D printing of FRP grid and bar reinforcement for reinforced concrete plates: Development and effectiveness. Compos. Struct. 2024, 335, 117946. [Google Scholar] [CrossRef]
- Su, J.-Y.; Luo, R.-H.; Chen, Z.-B.; Lin, J.-X.; Huang, P.-Y.; Guo, Y.-C. Experimental study on the fracture performance of rubberized high strength-high ductility concrete with J-integral method. Constr. Build. Mater. 2024, 421, 135668. [Google Scholar] [CrossRef]
- Gómez, J.; Torres, L.; Barris, C. Characterization and Simulation of the Bond Response of NSM FRP Reinforcement in Concrete. Materials 2020, 13, 1770. [Google Scholar] [CrossRef] [PubMed]
- Zhao, X.; Meng, L.; Li, S. Experimental Study on Tensile Performance of FRP Tendons/Cables with Varied Bond Anchorage Factors. Materials 2024, 17, 4. [Google Scholar] [CrossRef] [PubMed]
- Wu, G.; Wu, Z.-S.; Luo, Y.-B.; Sun, Z.-Y.; Hu, X.-Q. Mechanical Properties of Steel-FRP Composite Bar under Uniaxial and Cyclic Tensile Loads. J. Mater. Civ. Eng. 2010, 22, 1056–1066. [Google Scholar] [CrossRef]
- Lal, H.M.; Uthaman, A.; Li, C.; Xian, G.; Thomas, S. Combined effects of cyclic/sustained bending loading and water immersion on the interface shear strength of carbon/glass fiber reinforced polymer hybrid rods for bridge cable. Constr. Build. Mater. 2022, 314, 125587. [Google Scholar] [CrossRef]
- Xian, G.; Guo, R.; Li, C. Combined effects of sustained bending loading, water immersion and fiber hybrid mode on the mechanical properties of carbon/glass fiber reinforced polymer composite. Compos. Struct. 2022, 281, 115060. [Google Scholar] [CrossRef]
- Cai, Y.-J.; Xiao, S.-H.; Chen, Y.-W.; Huang, Z.-R.; Lin, J.-X.; Guo, Y.-C.; Peng, Y.-Q.; Xie, Z.-H. Tensile behavior and durability prediction of GFRP-steel composite bars under chloride environments. J. Mater. Res. Technol. 2023, 23, 5746–5759. [Google Scholar] [CrossRef]
- Zhou, Y.; Zheng, Y.; Pan, J.; Sui, L.; Xing, F.; Sun, H.; Li, P. Experimental investigations on corrosion resistance of innovative steel-FRP composite bars using X-ray microcomputed tomography. Compos. Part B Eng. 2019, 161, 272–284. [Google Scholar] [CrossRef]
- Xiao, S.-H.; Lin, J.-X.; Li, L.-J.; Guo, Y.-C.; Zeng, J.-J.; Xie, Z.-H.; Wei, F.-F.; Li, M. Experimental study on flexural behavior of concrete beam reinforced with GFRP and steel-fiber composite bars. J. Build. Eng. 2021, 43, 103087. [Google Scholar] [CrossRef]
- Cai, Y.-J.; Xie, Z.-H.; Xiao, S.-H.; Huang, Z.-R.; Lin, J.-X.; Guo, Y.-C.; Zhuo, K.-X.; Huang, P.-Y. An investigation of fatigue behavior and residual strength model of steel-GFRP composite bar. Compos. Struct. 2024, 327, 117685. [Google Scholar] [CrossRef]
- Ge, W.; Zhang, S.; Zhang, Z.; Guan, Z.; Ashour, A.; Sun, C.; Lu, W.; Cao, D. Eccentric compression behavior of Steel-FRP composite bars RC columns under coupling action of chloride corrosion and load. Structures 2023, 50, 1051–1068. [Google Scholar] [CrossRef]
- Lin, J.; Cai, Y.; Yang, Z.; Xiao, S.; Chen, Z.; Li, L.; Guo, Y.; Wei, F. Experimental and analytical study on RC beam reinforced with SFCB of different fiber volume ratios under flexural loading. Steel Compos. Struct. 2022, 45, 133–145. [Google Scholar] [CrossRef]
- Sun, Z.; Sun, Y.; Zheng, Y.; Iwashita, K.; Zhang, J.; Wu, G. Experimental study on precast concrete columns reinforced with bundled SFCBs under horizontal cyclic loading. J. Build. Eng. 2023, 74, 106882. [Google Scholar] [CrossRef]
- Pour, S.M.; Alam, M.S.; Milani, A.S. Improved Bond Equations for Fiber-Reinforced Polymer Bars in Concrete. Materials 2016, 9, 737. [Google Scholar] [CrossRef] [PubMed]
- Zhang, D.; Yang, J.; Chi, L.Y. The Bond-Slip Relationship at FRP-to-Brick Interfaces under Dynamic Loading. Materials 2021, 14, 545. [Google Scholar] [CrossRef]
- Xiao, S.-H.; Cai, Y.-J.; Xie, Z.-H.; Guo, Y.-C.; Zheng, Y.; Lin, J.-X. Bond durability between steel-FRP composite bars and concrete under seawater corrosion environments. Constr. Build. Mater. 2024, 419, 135456. [Google Scholar] [CrossRef]
- Lin, J.-X.; Luo, R.-H.; Su, J.-Y.; Guo, Y.-C.; Chen, W.-S. Coarse synthetic fibers (PP and POM) as a replacement to steel fibers in UHPC: Tensile behavior, environmental and economic assessment. Constr. Build. Mater. 2024, 412, 134654. [Google Scholar] [CrossRef]
- Baena, M.; Torres, L.; Turon, A.; Barris, C. Experimental study of bond behaviour between concrete and FRP bars using a pull-out test. Compos. Part B Eng. 2009, 40, 784–797. [Google Scholar] [CrossRef]
- Basaran, B.; Kalkan, I. Investigation on variables affecting bond strength between FRP reinforcing bar and concrete by modified hinged beam tests. Compos. Struct. 2020, 242, 112185. [Google Scholar] [CrossRef]
- Zhao, D.; Pan, J.; Zhou, Y.; Sui, L.; Ye, Z. New types of steel-FRP composite bar with round steel bar inner core: Mechanical properties and bonding performances in concrete. Constr. Build. Mater. 2020, 242, 118062. [Google Scholar] [CrossRef]
- Xu, L.; Wang, X.; Pan, J.; Zhou, J.; Liu, W. Bond behavior between steel-FRP composite bars and engineered cementitious composites in pullout conditions. Eng. Struct. 2024, 299, 117086. [Google Scholar] [CrossRef]
- Dong, Z.; Wu, G.; Xu, Y. Experimental study on the bond durability between steel-FRP composite bars (SFCBs) and sea sand concrete in ocean environment. Constr. Build. Mater. 2016, 115, 277–284. [Google Scholar] [CrossRef]
- Dong, Z.; Wu, G.; Zhao, X.-L.; Zhu, H.; Lian, J. Bond durability of steel-FRP composite bars embedded in seawater sea-sand concrete under constant bending and shearing stress. Constr. Build. Mater. 2018, 192, 808–817. [Google Scholar] [CrossRef]
- Ge, W.; Han, M.; Guan, Z.; Zhang, P.; Ashour, A.; Li, W.; Lu, W.; Cao, D.; Yao, S. Tension and bonding behaviour of steel-FRP composite bars subjected to the coupling effects of chloride corrosion and load. Constr. Build. Mater. 2021, 296, 123641. [Google Scholar] [CrossRef]
- GB/T 30022-2013; Test Method for Basic Mechanical Propertiesof Fiber Reinforced Polymer Bar. China Standards Press: Beijing, China, 2013.
- GB/T 50081-2019; Standard for Test Methods of Concrete Physical and Mechanical Properties. China Architecture & Building Press: Beijing, China, 2019.
- Zhou, W.; Feng, P.; Lin, H.; Zhou, P. Bond behavior between GFRP bars and coral aggregate concrete. Compos. Struct. 2023, 306, 116567. [Google Scholar] [CrossRef]
- Peng, K.-D.; Zeng, J.-J.; Huang, B.-T.; Huang, J.-Q.; Zhuge, Y.; Dai, J.-G. Bond performance of FRP bars in plain and fiber-reinforced geopolymer under pull-out loading. J. Build. Eng. 2022, 57, 104893. [Google Scholar] [CrossRef]
- Zhang, J.; Tao, X.; Li, X.; Zhang, Y.; Liu, Y. Analytical and experimental investigation of the bond behavior of confined high-strength recycled aggregate concrete. Constr. Build. Mater. 2022, 315, 125636. [Google Scholar] [CrossRef]
- Lin, H.; Zhao, Y.; Ozbolt, J.; Feng, P.; Jiang, C.; Eligehausen, R. Analytical model for the bond stress-slip relationship of deformed bars in normal strength concrete. Constr. Build. Mater. 2019, 198, 570–586. [Google Scholar] [CrossRef]
- ACI 318-2011; Building Code Requirements for Structural Concrete, Aci Committee 318. American Concrete Institute: Farmington Hills, MI, USA, 2011.
- ACI 440.1R-2015; Guide for the Design and Construction of Structural Concrete Reinforced with Reinforced Polymer (FRP) Bars, Aci Committee 440. American Concrete Institute: Farmington Hills, MI, USA, 2015.
- GB 50010-2010; Code for Design of Concrete Structures. China Architecture & Building Press: Beijing, China, 2010.
- Jin, L.; Liu, M.; Zhang, R.; Du, X. 3D meso-scale modelling of the interface behavior between ribbed steel bar and concrete. Eng. Fract. Mech. 2020, 239, 107291. [Google Scholar] [CrossRef]
- Wang, X.; Liu, Y.; Yang, F.; Lu, Y.; Li, X. Effect of concrete cover on the bond-slip behavior between steel section and concrete in SRC structures. Constr. Build. Mater. 2019, 229, 116855. [Google Scholar] [CrossRef]
- Xu, G.; Xiang, J.; Wang, Q.; Xiang, X.; Zhang, Y.-L. Calculation of relative slip between steel bars and concrete. Constr. Build. Mater. 2019, 202, 537–545. [Google Scholar] [CrossRef]
- Liu, J.; Yuan, Y.; Wang, L.; Liu, Z.; Yang, J. Parameter Study of Interfacial Capacities for FRP–Steel Bonded Joints Based on 3D FE Modeling. Materials 2022, 15, 7787. [Google Scholar] [CrossRef] [PubMed]
- Burdziński, M.; Niedostatkiewicz, M. Experimental-Numerical Analysis of the Effect of Bar Diameter on Bond in Pull-Out Test. Buildings 2022, 12, 1392. [Google Scholar] [CrossRef]
- Rezazadeh, M.; Carvelli, V.; Veljkovic, A. Modelling bond of GFRP rebar and concrete. Constr. Build. Mater. 2017, 153, 102–116. [Google Scholar] [CrossRef]
- Keuser, M.; Kepp, B.; Mehlhorn, G.; Rostásy, F. Nonlinear static analysis of end-fittings for GFRP-prestressing rods. Comput. Struct. 1983, 17, 719–730. [Google Scholar] [CrossRef]


















| Bars | (GPa) | (Gpa) | (Mpa) | (Mpa) | ||||||||||||
|---|---|---|---|---|---|---|---|---|---|---|---|---|---|---|---|---|
| T | SD | C | Error (%) | T | SD | C | Error (%) | T | SD | C | Error (%) | T | SD | C | Error (%) | |
| GS12 | 113.1 | 0.94 | 109.8 | 3.0 | 31.2 | 1.26 | 28.5 | 9.6 | 267.6 | 2.06 | 263.5 | 1.5 | 600.4 | 8.13 | 658.7 | −8.8 |
| GS16 | 80.7 | 0.56 | 84.2 | −4.2 | 31.4 | 1.70 | 38.5 | −18.5 | 191.1 | 2.68 | 214.2 | −10.8 | 428.7 | 8.60 | 729.1 | −41.2 |
| GS20 | 69.5 | 1.36 | 72.3 | −3.9 | 43.0 | 0.92 | 48.3 | −12.4 | 176.1 | 4.71 | 173.5 | 1.5 | 542.0 | 9.25 | 761.7 | −28.8 |
| Specimen | Cement /(kg/m3) | Sand /(kg/m3) | Coarse Aggregate /(kg/m3) | Water /(kg/m3) | Sand Rate/% | WRA/(kg/m3) | /MPa | /MPa | /GPa | ν |
|---|---|---|---|---|---|---|---|---|---|---|
| C30 | 396.55 | 698.74 | 1074.7 | 230 | 39.4 | / | 41.42 | 37.95 | 26.66 | 0.2 |
| C50 | 469.39 | 598.62 | 1102.0 | 230 | 35.2 | / | 60.57 | 53.34 | 29.33 | 0.2 |
| C70 | 477.40 | 560.10 | 1190.2 | 172 | 32.0 | 5 | 78.82 | 72.16 | 34.15 | 0.2 |
| Specimens | Failure Mode | ||||||
|---|---|---|---|---|---|---|---|
| (kN) | (kN) | (MPa) | (MPa) | (mm) | (mm) | ||
| GS12-C30-N-1 | 33.5 | 33.0 | 14.8 | 14.6 | 3.3 | 3.3 | P |
| GS12-C30-N-2 | 28.1 | 12.4 | 2.7 | P | |||
| GS12-C30-N-3 | 37.3 | 16.5 | 3.9 | P | |||
| GS12-C30-S-1 | 31.4 | 28.0 | 13.9 | 12.4 | 3.1 | 3.1 | P |
| GS12-C30-S-2 | 21.6 | 9.6 | 3.5 | P | |||
| GS12-C30-S-3 | 30.9 | 13.7 | 2.6 | P | |||
| GS12-C50-N-1 | 21.3 | 33.0 | 9.5 | 14.7 | 2.6 | 3.3 | P |
| GS12-C50-N-2 | 42.1 | 18.8 | 3.2 | P | |||
| GS12-C50-N-3 | 35.5 | 15.7 | 4.0 | P | |||
| GS12-C50-S-1 | 29.4 | 35.6 | 13.0 | 15.8 | 3.2 | 3.5 | P |
| GS12-C50-S-2 | 39.0 | 17.3 | 3.5 | P | |||
| GS12-C50-S-3 | 38.5 | 17.1 | 3.9 | P | |||
| GS12-C70-N-1 | 48.7 | 48.7 | 21.9 | 21.9 | 3.8 | 3.8 | P |
| GS12-C70-N-2 | / | / | / | F | |||
| GS12-C70-N-3 | / | / | / | F | |||
| GS12-C70-S-1 | 51.3 | 56.6 | 22.7 | 25.0 | 2.5 | 2.8 | P |
| GS12-C70-S-2 | 57.8 | 25.3 | 2.7 | P | |||
| GS12-C70-S-3 | 60.8 | 26.9 | 3.3 | P | |||
| GS16-C50-N-1 | 39.6 | 50.2 | 9.5 | 12.3 | 3.4 | 4.7 | P |
| GS16-C50-N-2 | 41.1 | 10.2 | 3.3 | P | |||
| GS16-C50-N-3 | 70.0 | 17.3 | 7.3 | P | |||
| GS16-C50-S-1 | / | 55.2 | / | 13.7 | / | 3.5 | F |
| GS16-C50-S-2 | 55.2 | 13.7 | 3.5 | P | |||
| GS16-C50-S-3 | / | / | / | F | |||
| GS20-C50-N-1 | 89.8 | 117.7 | 14.0 | 18.7 | 6.0 | 6.1 | S |
| GS20-C50-N-2 | 131.7 | 21.0 | 6.2 | S | |||
| GS20-C50-N-3 | 131.7 | 21.0 | 6.1 | S | |||
| GS20-C50-S-1 | 124.9 | 132.7 | 19.9 | 21.0 | 5.0 | 5.2 | P |
| GS20-C50-S-2 | 131.1 | 20.9 | 5.3 | P | |||
| GS20-C50-S-3 | 142.1 | 22.2 | 5.4 | P |
| Specimen | τ1Exp (MPa) | τ1FEM (MPa) | s1Exp (mm) | s1FEM (mm) | Failure Mode | |||
|---|---|---|---|---|---|---|---|---|
| Experimental | FEM | |||||||
| GS12-C30-N | 14.57 | 15.19 | 1.04 | 3.30 | 3.38 | 1.02 | P | P |
| GS12-C30-S | 12.40 | 13.27 | 1.07 | 3.07 | 3.01 | 0.98 | P | P |
| GS12-C50-N | 14.67 | 13.54 | 0.92 | 3.27 | 2.80 | 0.86 | P | P |
| GS12-C50-S | 15.80 | 14.25 | 0.90 | 3.53 | 2.31 | 0.66 | P | P |
| GS12-C70-N | 21.90 | 21.39 | 0.98 | 3.80 | 2.89 | 0.76 | P | P |
| GS12-C70-S | 24.97 | 21.25 | 0.85 | 2.83 | 2.78 | 0.98 | P | P |
| GS16-C50-N | 12.33 | 8.02 | 0.65 | 4.67 | 2.00 | 0.43 | P | P |
| GS16-C50-S | 13.70 | 12.90 | 0.94 | 3.50 | 3.78 | 1.08 | P | P |
| GS20-C50-N | 18.67 | 19.59 | 1.05 | 6.10 | 6.24 | 1.02 | S | S |
| GS20-C50-S | 21.00 | 20.66 | 0.98 | 5.23 | 6.32 | 1.21 | P | P |
Disclaimer/Publisher’s Note: The statements, opinions and data contained in all publications are solely those of the individual author(s) and contributor(s) and not of MDPI and/or the editor(s). MDPI and/or the editor(s) disclaim responsibility for any injury to people or property resulting from any ideas, methods, instructions or products referred to in the content. |
© 2024 by the authors. Licensee MDPI, Basel, Switzerland. This article is an open access article distributed under the terms and conditions of the Creative Commons Attribution (CC BY) license (https://creativecommons.org/licenses/by/4.0/).
Share and Cite
Huang, G.; Shi, J.; Lian, W.; Hong, L.; Zhi, S.; Yang, J.; Lin, C.; Zhou, J.; Xiao, S. A Sustainable Steel-GFRP Composite Bars Reinforced Concrete Structure: Investigation of the Bonding Performance. Buildings 2024, 14, 1249. https://doi.org/10.3390/buildings14051249
Huang G, Shi J, Lian W, Hong L, Zhi S, Yang J, Lin C, Zhou J, Xiao S. A Sustainable Steel-GFRP Composite Bars Reinforced Concrete Structure: Investigation of the Bonding Performance. Buildings. 2024; 14(5):1249. https://doi.org/10.3390/buildings14051249
Chicago/Turabian StyleHuang, Guoliang, Ji Shi, Wenzhuo Lian, Linbo Hong, Shuzhuo Zhi, Jialing Yang, Caiyan Lin, Junhong Zhou, and Shuhua Xiao. 2024. "A Sustainable Steel-GFRP Composite Bars Reinforced Concrete Structure: Investigation of the Bonding Performance" Buildings 14, no. 5: 1249. https://doi.org/10.3390/buildings14051249
APA StyleHuang, G., Shi, J., Lian, W., Hong, L., Zhi, S., Yang, J., Lin, C., Zhou, J., & Xiao, S. (2024). A Sustainable Steel-GFRP Composite Bars Reinforced Concrete Structure: Investigation of the Bonding Performance. Buildings, 14(5), 1249. https://doi.org/10.3390/buildings14051249
