Compressive and Tensile Behavior of High-Ductility Alkali-Activated Composites with Polyethylene Terephthalate Powder
Abstract
1. Introduction
2. Experimental Program
2.1. Materials and Mix Proportion
2.2. Specimens and Preparation
3. Experimental Setup and Procedure
3.1. Axial Compressive Test
3.2. Axial Tensile Test
3.3. SEM
4. Results and Discussion
4.1. Compressive Behavior
4.1.1. Failure Mode
4.1.2. Stress–Strain Curves
4.1.3. Compressive Strength and Elastic Modulus
4.2. Tensile Behavior
4.2.1. Failure Mode
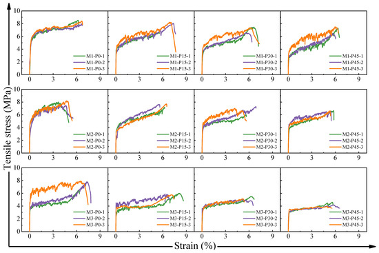
4.2.2. Tensile Stress–Strain Curves
4.2.3. Tensile Strength and Ultimate Tensile Strain
4.3. Microstructure
5. Conclusions
- (1)
- The compressive strength and elastic modulus of HDAAC ranged from 34.0 MPa to 98.7 MPa and 9.2 GPa to 21.2 GPa, with specimens exhibiting relatively good integrity after axial compression failure due to the bridging action of PE fibers. The adoption of PET powder as a replacement for quartz powder reduced the compressive strength and elastic modulus of the HDAAC due to the weak bonding between the PET powder and the surrounding matrix and its inherent flexibility. However, it slightly alleviated the brittleness of the HDAAC under compression conditions. With an increase in the GGBS content (reduction in FA/GGBS), the compressive strength and elastic modulus of the HDAAC increased due to the increased formation of the C-A-S-H reaction products, resulting in reduced porosity and a denser microstructure.
- (2)
- The HDAAC under axial tension exhibited typical multiple-cracking phenomena, with the stress–strain curves showing significant pseudo-strain-hardening behavior. As the PET content and FA/GGBS ratio increased, finer surface cracks were observed on the HDAAC specimens, indicating excellent crack control and deformation capabilities. This suggested that the HDAAC developed in this study are highly suitable for use in building structures with strict requirements for crack control.
- (3)
- With an increase in the PET content, both the initial cracking strength and tensile strength of the HDAAC generally decreased. Conversely, the ultimate tensile strain of the HDAAC slightly increased at low content. The initial cracking strength, tensile strength, and ultimate tensile strain ranged from 3.0 MPa to 4.6 MPa, 4.2 MPa to 8.2 MPa, and 4.1% to 7.2%, respectively. Overall, compared to that without PET powder, the maximum reduction in the initial cracking strength and tensile strength of the HDAAC reached 30.4% and 43.2%, respectively. Moreover, the maximum increase in the initial cracking strength and tensile strength reached 48.8%. The introduction of PET powder reduced the fracture toughness of the matrix, thereby lowering the initial cracking strength but improving the ultimate tensile strain. Excessive PET powder may weaken the fiber/matrix bridging strength. Higher content of GGBS (lower FA/GGBS) resulted in an increase in the tensile strength of HDAAC due to the increased formation of the C-A-S-H and C-S-H reaction products.
- (4)
- The observation of the microscopic morphology of the HDAAC under scanning electron microscopy revealed that, due to the hydrophobic nature of PET powder, a distinct ITZ was present near the PET powder, resulting in poor bonding with the alkali-activated matrix. In contrast, QP dissolved on the surface in a highly alkaline environment, forming better interface properties with the alkali-activated matrix. The different interface properties between the PET powder and QP with the surrounding matrix led to variations in the mechanical properties of the HDAAC.
Author Contributions
Funding
Data Availability Statement
Conflicts of Interest
References
- Cai, Y.-J.; Xie, Z.-H.; Xiao, S.-H.; Huang, Z.-R.; Lin, J.-X.; Guo, Y.-C.; Zhuo, K.-X.; Huang, P.-y. An investigation of fatigue behavior and residual strength model of steel-GFRP composite bar. Compos. Struct. 2024, 327, 117685. [Google Scholar] [CrossRef]
- Lin, J.-X.; Huang, P.-Y.; Guo, Y.-C.; Guo, X.-Y.; Zeng, J.-J.; Zhao, C.; Chen, Z.-B. Fatigue behavior of RC beams strengthened with CFRP laminate under hot-wet environments and vehicle random loads coupling. Int J Fatigue 2020, 131, 105329. [Google Scholar] [CrossRef]
- Romualdi, J.P.; Batson, G.B. Mechanics of Crack Arrest in Concrete. J. Eng. Mech. Div. 1963, 89, 147–168. [Google Scholar] [CrossRef]
- Lin, J.-X.; Song, Y.; Xie, Z.-H.; Guo, Y.-C.; Yuan, B.; Zeng, J.-J.; Wei, X. Static and dynamic mechanical behavior of engineered cementitious composites with PP and PVA fibers. J. Build. Eng. 2020, 29, 101097. [Google Scholar] [CrossRef]
- Sahmaran, M.; Yücel, H.E.; Yildirim, G.; Al-Emam, M.; Lachemi, M. Investigation of the Bond between Concrete Substrate and ECC Overlays. J. Mater. Civ. Eng. 2014, 26, 167–174. [Google Scholar] [CrossRef]
- Yu, K.-Q.; Lu, Z.-D.; Dai, J.-G.; Shah, S.P. Direct Tensile Properties and Stress–Strain Model of UHP-ECC. J. Mater. Civ. Eng. 2020, 32, 04019334. [Google Scholar] [CrossRef]
- Chen, Z.; Huang, L.; Huang, P.; Xie, J. Axial-Impact Resistance of CFRP-Confined Ultrahigh-Performance Concrete. J. Compos. Constr. 2022, 26, 04022059. [Google Scholar] [CrossRef]
- Lin, J.-X.; Su, J.-Y.; Pan, H.-S.; Peng, Y.-Q.; Guo, Y.-C.; Chen, W.-S.; Sun, X.-L.; Yuan, B.-X.; Liu, G.-T.; Lan, X.-W. Dynamic compression behavior of ultra-high performance concrete with hybrid polyoxymethylene fiber and steel fiber. J. Mater. Res. Technol. 2022, 20, 4473–4486. [Google Scholar] [CrossRef]
- Zhuo, K.-X.; Cai, Y.-J.; Lai, H.-M.; Chen, Z.-B.; Guo, Y.-C.; Chen, G.; Xiao, S.-H.; Lan, X.-W. Axial compressive behavior of environmentally friendly high-strength concrete: Effects of recycled tire steel fiber and rubber powder. J. Build. Eng. 2023, 76, 107092. [Google Scholar] [CrossRef]
- Li, V.C.; Mishra, D.K.; Wu, H. Matrix design for pseudo-strain-hardening fibre reinforced cementitious composites. Mater. Struct. 1995, 28, 586–595. [Google Scholar] [CrossRef]
- Li, V.C.; Leung, C.K. Steady state and multiple cracking of short random fiber composites. J. Eng. Mech. 1992, 118, 2246–2264. [Google Scholar] [CrossRef]
- Su, J.-y.; Chen, G.; Pan, H.-s.; Lin, J.-X.; Zhang, J.; Zhuo, K.-x.; Chen, Z.-b.; Guo, Y.-c. Rubber modified high strength-high ductility concrete: Effect of rubber replacement ratio and fiber length. Constr. Build. Mater. 2023, 404, 133243. [Google Scholar] [CrossRef]
- Wang, B.; Xu, S.; Liu, F. Evaluation of tensile bonding strength between UHTCC repair materials and concrete substrate. Constr. Build. Mater. 2016, 112, 595–606. [Google Scholar] [CrossRef]
- Su, J.-Y.; Luo, R.-H.; Chen, Z.-B.; Lin, J.-X.; Huang, P.-Y.; Guo, Y.-C. Experimental study on the fracture performance of rubberized high strength-high ductility concrete with J-integral method. Constr. Build. Mater. 2024, 421, 135668. [Google Scholar] [CrossRef]
- Taylor, M.; Tam, C.; Gielen, D. Energy Efficiency and CO2 Emissions from the Global Cement Industry; IEA: Paris, France, 2006. [Google Scholar]
- Hans, K. Cement and process of making the same. U.S. Patent 1591662A, 6 July 1926. [Google Scholar]
- Provis, J.L.; van Deventer, J.S.J. Alkali Activeated Materials: State-of-the-Art Report, RILEM TC 224-AAM; Springer: Berlin/Heidelberg, Germany, 2014. [Google Scholar]
- Sun, B.; Sun, Y.; Ye, G.; De Schutter, G. A mix design methodology of blast furnace slag and fly ash-based alkali-activated concrete. Cem. Concr. Compos. 2023, 140, 105076. [Google Scholar] [CrossRef]
- Lao, J.-C.; Huang, B.-T.; Fang, Y.; Xu, L.-Y.; Dai, J.-G.; Shah, S.P. Strain-hardening alkali-activated fly ash/slag composites with ultra-high compressive strength and ultra-high tensile ductility. Cem. Concr. Res. 2023, 165, 107075. [Google Scholar] [CrossRef]
- Shubbar, A.A.; Sadique, M.; Kot, P.; Atherton, W. Future of clay-based construction materials—A review. Constr. Build. Mater. 2019, 210, 172–187. [Google Scholar] [CrossRef]
- Chen, G.; Zheng, D.-P.; Chen, Y.-W.; Lin, J.-X.; Lao, W.-J.; Guo, Y.-C.; Chen, Z.-B.; Lan, X.-W. Development of high performance geopolymer concrete with waste rubber and recycle steel fiber: A study on compressive behavior, carbon emissions and economical performance. Constr. Build. Mater. 2023, 393, 131988. [Google Scholar] [CrossRef]
- Adam, A.A. Strength and Durability Properties of Alkali Activated Slag and Fly Ash-Based Geopolymer Concrete. Ph.D. Thesis, RMIT University, Melbourne, Australia, 2009. [Google Scholar]
- Kumar, S.; Sekhar Das, C.; Lao, J.; Alrefaei, Y.; Dai, J.-G. Effect of sand content on bond performance of engineered geopolymer composites (EGC) repair material. Constr. Build. Mater. 2022, 328, 127080. [Google Scholar] [CrossRef]
- Lee, S.K.; Oh, T.; Banthia, N.; Yoo, D.-Y. Optimization of fiber aspect ratio for 90 MPa strain-hardening geopolymer composites (SHGC) with a tensile strain capacity over 7.5%. Cem. Concr. Compos. 2023, 139, 105055. [Google Scholar] [CrossRef]
- Nguyễn, H.H.; Lương, Q.-H.; Choi, J.-I.; Ranade, R.; Li, V.C.; Lee, B.Y. Ultra-ductile behavior of fly ash-based engineered geopolymer composites with a tensile strain capacity up to 13.7%. Cem. Concr. Compos. 2021, 122, 104133. [Google Scholar] [CrossRef]
- Pan, H.; Xie, Z.; Chen, G.; Su, J.; Zhuo, K.; Chen, Z.; Lin, J.; Feng, C.; Guo, Y. Dynamic compressive behavior of high-strength engineered geopolymer composites. J. Build. Eng. 2023, 80, 108036. [Google Scholar] [CrossRef]
- Peng, Y.-Q.; Zheng, D.-P.; Pan, H.-S.; Yang, J.-L.; Lin, J.-X.; Lai, H.-M.; Wu, P.-Z.; Zhu, H.-Y. Strain hardening geopolymer composites with hybrid POM and UHMWPE fibers: Analysis of static mechanical properties, economic benefits, and environmental impact. J. Build. Eng. 2023, 76, 107315. [Google Scholar] [CrossRef]
- Zhong, H.; Zhang, M. Engineered geopolymer composites: A state-of-the-art review. Cem. Concr. Compos. 2023, 135, 104850. [Google Scholar] [CrossRef]
- Lin, J.-X.; Liu, R.-A.; Liu, L.-Y.; Zhuo, K.-Y.; Chen, Z.-B.; Guo, Y.-C. High-strength and high-toughness alkali-activated composite materials: Optimizing mechanical properties through synergistic utilization of steel slag, ground granulated blast furnace slag, and fly ash. Constr. Build. Mater. 2024, 422, 135811. [Google Scholar] [CrossRef]
- Belmokaddem, M.; Mahi, A.; Senhadji, Y.; Pekmezci, B.Y. Mechanical and physical properties and morphology of concrete containing plastic waste as aggregate. Constr. Build. Mater. 2020, 257, 119559. [Google Scholar] [CrossRef]
- Ibrahim, O.M.O.; Tayeh, B.A. Combined effect of lightweight fine aggregate and micro rubber ash on the properties of cement. Adv. Concr. Constr. 2020, 10, 537–546. [Google Scholar]
- Guo, Y.-C.; Li, X.-M.; Zhang, J.; Lin, J.-X. A review on the influence of recycled plastic aggregate on the engineering properties of concrete. J. Build. Eng. 2023, 79, 107787. [Google Scholar] [CrossRef]
- Hama, S.M.; Hilal, N.N. Fresh properties of self-compacting concrete with plastic waste as partial replacement of sand. Int. J. Sustain. Built Environ. 2017, 6, 299–308. [Google Scholar] [CrossRef]
- Akçaözoğlu, S.; Ulu, C. Recycling of waste PET granules as aggregate in alkali-activated blast furnace slag/metakaolin blends. Constr. Build. Mater. 2014, 58, 31–37. [Google Scholar] [CrossRef]
- Hannawi, K.; Kamali-Bernard, S.; Prince, W. Physical and mechanical properties of mortars containing PET and PC waste aggregates. Waste Manag. 2010, 30, 2312–2320. [Google Scholar] [CrossRef] [PubMed]
- Kou, S.C.; Lee, G.; Poon, C.S.; Lai, W.L. Properties of lightweight aggregate concrete prepared with PVC granules derived from scraped PVC pipes. Waste Manag. 2009, 29, 621–628. [Google Scholar] [CrossRef] [PubMed]
- Faraj, R.H.; Sherwani, A.F.H.; Daraei, A. Mechanical, fracture and durability properties of self-compacting high strength concrete containing recycled polypropylene plastic particles. J. Build. Eng. 2019, 25, 100808. [Google Scholar] [CrossRef]
- Saleem, S.; Pimanmas, A.; Qureshi, M.I.; Rattanapitikon, W. Axial Behavior of PET FRP-Confined Reinforced Concrete. J. Compos. Constr. 2021, 25, 04020079. [Google Scholar] [CrossRef]
- ASTM C469/C469M-22; Standard Test Method for Static Modulus of Elasticity and Poisson’s Ratio of Concrete in Compression. ASTM International: West Conshohocken, PA, USA, 2022.
- Yokota, H.; Rokugo, K.; Sakata, N. JSCE Recommendations for design and construction of high performance fiber reinforced cement composite with multiple fine cracks. In High Performance Fiber Reinforced Cement Composites; Springer: Tokyo, Japan, 2007. [Google Scholar]
- Chen, W.F.; Saleeb, A.F. Constitutive Equations for Materialsof Concrete and Soil; Yu, T.I.-Q., Wu, X.-W., Liu, X.-L., Han, D.-J., Eds.; China Architecture & Building Press: Beijing, China, 2004. [Google Scholar]
- Ding, Y.; Yu, J.-t.; Yu, K.-Q.; Xu, S.-l. Basic mechanical properties of ultra-high ductility cementitious composites: From 40 MPa to 120 MPa. Compos. Struct. 2018, 185, 634–645. [Google Scholar] [CrossRef]
- Frigione, M. Recycling of PET bottles as fine aggregate in concrete. Waste Manag. 2010, 30, 1101–1106. [Google Scholar] [CrossRef] [PubMed]
- Guo-Hao, F. Multiscale Characterisation of Microstructure and Mechanical Properties of Alkali-Activated Fly Ash-Slag Concrete. Ph.D. Thesis, University College, London, UK, 2021. [Google Scholar]
- Lazorenko, G.; Kasprzhitskii, A.; Fini, E.H. Polyethylene terephthalate (PET) waste plastic as natural aggregate replacement in geopolymer mortar production. J. Clean. Prod. 2022, 375, 134083. [Google Scholar] [CrossRef]
- Bamigboye, G.; Tarverdi, K.; Adigun, D.; Daniel, B.; Okorie, U.; Adediran, J. An appraisal of the mechanical, microstructural, and thermal characteristics of concrete containing waste PET as coarse aggregate. Clean. Waste Syst. 2022, 1, 100001. [Google Scholar] [CrossRef]
- Rahmani, E.; Dehestani, M.; Beygi, M.H.A.; Allahyari, H.; Nikbin, I.M. On the mechanical properties of concrete containing waste PET particles. Constr. Build. Mater. 2013, 47, 1302–1308. [Google Scholar] [CrossRef]
- García-Lodeiro, I.; Fernández-Jiménez, A.; Palomo, A. Variation in hybrid cements over time. Alkaline activation of fly ash–portland cement blends. Cem. Concr. Res. 2013, 52, 112–122. [Google Scholar] [CrossRef]
- Nath, P.; Sarker, P.K. Flexural strength and elastic modulus of ambient-cured blended low-calcium fly ash geopolymer concrete. Constr. Build. Mater. 2017, 130, 22–31. [Google Scholar] [CrossRef]
- Zhou, Y.; Xi, B.; Sui, L.; Zheng, S.; Xing, F.; Li, L. Development of high strain-hardening lightweight engineered cementitious composites: Design and performance. Cem. Concr. Compos. 2019, 104, 103370. [Google Scholar] [CrossRef]
- Shi, C.; Xie, P. Interface between cement paste and quartz sand in alkali-activated slag mortars. Cem. Concr. Res. 1998, 28, 887–896. [Google Scholar] [CrossRef]
- Pacheco-Torgal, F.; Castro-Gomes, J.; Jalali, S. Investigations about the effect of aggregates on strength and microstructure of geopolymeric mine waste mud binders. Cem. Concr. Res. 2007, 37, 933–941. [Google Scholar] [CrossRef]














| CaO | SiO2 | Al2O3 | SO3 | Fe2O3 | MgO | TiO2 | Others | LOI (%) | |
|---|---|---|---|---|---|---|---|---|---|
| GGBS | 34.00 | 34.50 | 17.70 | 1.64 | 1.03 | 6.01 | / | 5.12 | 0.84 |
| FA | 4.01 | 53.97 | 31.15 | 2.20 | 4.16 | 1.01 | 1.13 | 2.37 | 4.60 |
| Length (mm) | Diameter (mm) | Tensile Strength (MPa) | Elastic Modulus (GPa) | Density (g/cm3) | Elongation (%) |
|---|---|---|---|---|---|
| 12 | 20 | 2500 | 120 | 0.97 | 3.7 |
| Group | Mix ID | FA 1 | GGBS 2 | QP 3 | PET 4 | AAS 5 | Water | BaCl2 | PE 6 |
|---|---|---|---|---|---|---|---|---|---|
| M1 | M1-P0 | 0.60 | 0.40 | 0.20 | 0.00 | 0.40 | 0.10 | 0.01 | 2.0% (Vol.) |
| M1-P15 | 0.18 | 0.02 | |||||||
| M1-P30 | 0.16 | 0.04 | |||||||
| M1-P45 | 0.14 | 0.06 | |||||||
| M2 | M2-P0 | 0.70 | 0.30 | 0.20 | 0.00 | 0.40 | 0.10 | 0.01 | 2.0% (Vol.) |
| M2-P15 | 0.18 | 0.02 | |||||||
| M2-P30 | 0.16 | 0.04 | |||||||
| M2-P45 | 0.14 | 0.06 | |||||||
| M3 | M3-P0 | 0.80 | 0.20 | 0.20 | 0.00 | 0.40 | 0.10 | 0.01 | 2.0% (Vol.) |
| M3-P15 | 0.18 | 0.02 | |||||||
| M3-P30 | 0.16 | 0.04 | |||||||
| M3-P45 | 0.14 | 0.06 |
| Mix | Compressive Strength (MPa) | Elastic Modulus (GPa) |
|---|---|---|
| M1-P0 | 98.7 (1.9) | 21.2 (0.9) |
| M1-P15 | 93.4 (1.9) | 19.2 (0.7) |
| M1-P30 | 79.9 (4.3) | 18.6 (0.6) |
| M1-P45 | 52.3 (0.7) | 16.1 (2.5) |
| M2-P0 | 88.3 (1.5) | 20.3 (2.5) |
| M2-P15 | 72.8 (1.8) | 18.2 (1.5) |
| M2-P30 | 66.9 (4.7) | 16.6 (0.3) |
| M2-P45 | 49.9 (1.8) | 15.5 (1.4) |
| M3-P0 | 78.1 (4.1) | 16.9 (0.4) |
| M3-P15 | 63.9 (1.8) | 15.2 (0.3) |
| M3-P30 | 46.2 (0.7) | 10.6 (0.2) |
| M3-P45 | 34.0 (1.4) | 9.2 (0.7) |
| Mix | Initial Cracking Strength (MPa) | Tensile Strength (MPa) | Ultimate Tensile Strain (%) |
|---|---|---|---|
| M1-P0 | 4.6 (0.7) | 8.3 (0.2) | 6.5 (0.2) |
| M1-P15 | 4.0 (0.5) | 7.6 (0.7) | 6.6 (0.8) |
| M1-P30 | 4.0 (0.1) | 7.1 (0.4) | 6.1 (0.4) |
| M1-P45 | 3.2 (0.8) | 7.1 (0.4) | 6.0 (0.3) |
| M2-P0 | 3.9 (0.1) | 7.8 (0.3) | 4.1 (0.5) |
| M2-P15 | 3.6 (0.7) | 7.5 (0.2) | 6.1 (0.4) |
| M2-P30 | 3.6 (0.4) | 6.8 (0.6) | 5.6 (1.1) |
| M2-P45 | 3.2 (0.4) | 6.6 (0.0) | 5.5 (0.2) |
| M3-P0 | 3.6 (0.7) | 7.4 (0.7) | 6.7 (0.5) |
| M3-P15 | 3.4 (0.1) | 5.9 (0.1) | 7.2 (0.7) |
| M3-P30 | 3.3 (0.2) | 5.2 (0.2) | 5.5 (0.5) |
| M3-P45 | 3.0 (0.3) | 4.2 (0.3) | 5.5 (0.4) |
Disclaimer/Publisher’s Note: The statements, opinions and data contained in all publications are solely those of the individual author(s) and contributor(s) and not of MDPI and/or the editor(s). MDPI and/or the editor(s) disclaim responsibility for any injury to people or property resulting from any ideas, methods, instructions or products referred to in the content. |
© 2024 by the authors. Licensee MDPI, Basel, Switzerland. This article is an open access article distributed under the terms and conditions of the Creative Commons Attribution (CC BY) license (https://creativecommons.org/licenses/by/4.0/).
Share and Cite
Meng, F.; Luo, S.; Sun, J.; Zhang, C.; Xu, L.; Du, Y.; Zeng, J.; Guo, Y. Compressive and Tensile Behavior of High-Ductility Alkali-Activated Composites with Polyethylene Terephthalate Powder. Buildings 2024, 14, 1399. https://doi.org/10.3390/buildings14051399
Meng F, Luo S, Sun J, Zhang C, Xu L, Du Y, Zeng J, Guo Y. Compressive and Tensile Behavior of High-Ductility Alkali-Activated Composites with Polyethylene Terephthalate Powder. Buildings. 2024; 14(5):1399. https://doi.org/10.3390/buildings14051399
Chicago/Turabian StyleMeng, Fei, Shen Luo, Jingxian Sun, Cheng Zhang, Leilei Xu, Yankun Du, Junfeng Zeng, and Yongchang Guo. 2024. "Compressive and Tensile Behavior of High-Ductility Alkali-Activated Composites with Polyethylene Terephthalate Powder" Buildings 14, no. 5: 1399. https://doi.org/10.3390/buildings14051399
APA StyleMeng, F., Luo, S., Sun, J., Zhang, C., Xu, L., Du, Y., Zeng, J., & Guo, Y. (2024). Compressive and Tensile Behavior of High-Ductility Alkali-Activated Composites with Polyethylene Terephthalate Powder. Buildings, 14(5), 1399. https://doi.org/10.3390/buildings14051399
