Abstract
Currently, the research on the mechanical properties of rubber-modified asphalt mixtures primarily focuses on small-scale investigations, with insufficient exploration into the performance of rubber particles and their relationship with the mechanism and properties of modified asphalt mixtures. Limited studies have been conducted on large-scale rubber modification in asphalt mixtures. Due to frequent use and subsequent high damage to existing asphalt pavements, incorporating rubber-modified asphalt mixtures can partially alleviate premature deterioration. Dynamic modulus tests were conducted using MTS equipment under unconfined conditions to investigate the viscoelastic behavior of rubber-modified asphalt mixtures with high rubber content and elucidate the influence of rubber particle content on the elastic deformation and recovery capability. The dynamic mechanical properties of the mixtures were determined at different loading rates, temperatures, and types of rubber-modified asphalt mixtures. Based on the test data, variations in the dynamic modulus, phase angle, storage modulus, loss modulus, loss factor, and rut factor of the rubber-modified asphalt mixtures under different loading frequencies, temperatures, and types were analyzed. The results demonstrate the pronounced viscoelastic behavior of rubber-modified asphalt mixtures. The mixtures exhibit enhanced elasticity at low temperatures and high frequencies, while their viscosity becomes more prominent at high temperatures and low frequencies. Under constant test temperatures, an increase in load loading frequency leads to a higher dynamic modulus; conversely, a decrease in dynamic modulus is observed with increasing test temperatures. The dynamic modulus of ARHM-25 at a frequency of 10 Hz is found to be 12.99 times higher at 15 °C compared to that at 60 °C, while at 30 °C, the dynamic modulus at 25 Hz is observed to be 2.72 times greater than that at 0.1 Hz. Furthermore, the rutting resistance factors of the asphalt mixtures increase with loading frequency but decrease with temperature. The rutting factor for ARHM-13 at a frequency of 10 Hz is found to be 22.98 times higher at 15 °C compared to that at 60 °C, while at a temperature of 30 °C, the rutting factor for this material is observed to be 3.09 times greater at a frequency of 25 Hz than at 0.1 Hz. These findings suggest that rutting is most likely when vehicles drive at low speeds in hot weather conditions.
1. Introduction
Currently, the layered elastic system theory is utilized in calculating the structure in China’s Code for Design of Asphalt Pavement Structure, with a double circular uniform load applied. However, in practical scenarios, asphalt pavement structures are influenced by various factors, such as vehicle loads, climate conditions, and environmental impacts. Therefore, a significant disparity exists between the actual working state and the behavior predicted by the layered system under a double circular uniform load. As a result, replacing the static modulus with the dynamic modulus has become an essential requirement for pavement materials based on empirical design.
As a viscoelastic material, the asphalt mixture exhibits its viscoelastic properties through the characterization of its dynamic modulus. Consequently, various temperature-dependent viscoelastic tests were conducted on the asphalt mixture. The findings indicate that [1] at low temperatures and under small deformations, the asphalt mixture demonstrates linear elastic behavior; at high temperatures and large deformations, it behaves as a viscoplastic elastomer, while in the transitional range of average temperatures, it displays true viscoelasticity. According to the design specifications of the American AASHTO2002, the dynamic modulus can effectively serve as an indicator of asphalt mixture performance [2]. A study conducted under the NCHRP9-19 project in the United States shows the correlation between dynamic modulus and rutting. Additionally, the anti-rutting factor exhibits a close relationship with the phase angle. At the same time, the phase angle represents the extent of strain lag and strain in asphalt [3,4,5]. During the Ninth Five-Year Plan period, the Ministry of Communications in China conducted numerous experimental studies on the factors influencing the dynamic modulus of asphalt mixtures. The research findings indicate that the test temperature, load frequency, and loading method are primary determinants affecting the dynamic modulus. Additionally, it was observed that there is a minimal impact on the dynamic modulus from load gap time. Consequently, based on these observations, domestic and foreign research institutions widely employ dynamic modulus testing to assess the high and low-temperature properties and viscoelastic characteristics of asphalt mixtures [5,6,7].
Reputable scholars have conducted extensive research on the dynamic modulus of matrix asphalt mixtures, encompassing testing methods for dynamic modulus and the analysis of influential factors. The changes in porosity, water permeability, and mechanical properties of three types of asphalt mixtures (ARHM-13, ARHM-20, and ARHM-25) were investigated by Yan Luo et al. [8] before and after undergoing freezing and thawing processes. Furthermore, the relationship between the porosity of rubber-modified asphalt mixtures with different grades and their corresponding water seepage rates was analyzed. To accurately predict the fatigue life (Nf) of rubber asphalt mixtures, Chenze Fang et al. [9] analyzed the correlation between Nf and stiffness modulus decay (SMD), as well as the relative rate of change of stiffness modulus decay (SMDR). They established a functional relationship between Nf and the number of fatigue loads, as well as a damage model based on the cumulative stiffness modulus decay relative rate of change (CSMDR). The fatigue equation was derived from the correlational analysis between SMDR and the damage evolution rate. Xinya Liu et al. [10] conducted uniaxial static load compression tests to investigate the creep characteristics of the mixture under various temperatures and confining pressure conditions. They used the viscoelastic Burgers model to examine the mechanical properties of a warm mixed-rubber-modified asphalt mixture. Zining Chen et al. [11] investigated the impact of various factors, including the recycled agent dosage, curing temperature, and curing time, on the dynamic modulus and bending stiffness modulus of hot mix asphalt incorporating reclaimed asphalt pavement (RAP). Hui Wang et al. [12] divided the samples of different asphalt content layers into the upper and lower parts and then compacted them together. SPT was used to conduct dynamic modulus tests to simulate the state of asphalt migration between layers of asphalt pavement and further study the influence of asphalt migration on the dynamic modulus of asphalt mixture. Ruan Li et al. [13] investigated the impact of square and semi-sine loads on the dynamic and resilience modulus of asphalt mixtures. The dynamic modulus tests were conducted using semi-sine and bell-shaped loads on AC-13, AC-16, AC-20, AC-25, and SUP-25 asphalt mixtures. Ding Han et al. [14] investigated the impact of aggregate morphology on the dynamic modulus of asphalt mixture using a digital image processing method. They developed a predictive model for the dynamic modulus of asphalt mixture under different temperatures and loading frequencies based on aggregate morphology and asphalt mortar material parameters. Xujie Li et al. [15] investigated the impact of long-term indoor oven aging on the stiffness of the asphalt mixture by conducting indoor dynamic modulus tests. Various conditions of long-term oven aging were applied to different materials, including varying aging temperatures and durations for loose mixtures and compacted samples. The principal curve of the dynamic modulus and data on the dynamic modulus ratio (DMR) indicate that aging the loose mixture at 95 °C is an effective method for characterizing the on-site long-term aging process with good efficiency and performance. Harnaeni SR et al. [16] assessed the viscoelastic properties, including phase angle and dynamic modulus, of asphalt concrete wear process (AC-WC) and hot rolled sheet wear process (HRS-WC) mixtures by establishing a principal curve based on dynamic modulus tests. Xiaochun Qin et al. [17] conducted a comparative study on two testing methods, namely indirect tensile and uniaxial compression, to measure the dynamic modulus of asphalt mixture with five different binder types and a nominal maximum aggregate particle size using a point measurement system. The dynamic modulus and phase angle principal curves at a reference temperature of 20 °C were obtained according to the superposition principle of time and temperature. The results revealed significant differences in the dynamic modulus, phase angle, and displacement coefficient between the two test modes. The fitting formula demonstrated a strong correlation between the dynamic moduli measured under uniaxial compression and indirect tensile conditions. Huining Xu et al. [18] investigated the application of Rayleigh wave technology for nondestructive measurement of the dynamic modulus of asphalt mixture by proposing a three-dimensional finite element numerical algorithm to simulate Rayleigh wave propagation in a multi-layer semi-space system. The feasibility of Rayleigh wave technology in capturing mechanical property variations within shallow structures of asphalt pavement was verified through numerical analysis. Furthermore, an experimental application of Rayleigh wave technology was conducted using five types of asphalt mixtures.
A substantial volume of discarded tires is generated with the rapid advancement of the socio-economic landscape and continuous enhancement of automobile capabilities. If not appropriately and effectively managed, waste tires, being chemical substances, can lead to significant environmental pollution. Aligned with the deepening green concept and emphasis on environmental preservation and energy conservation, rubber has been incorporated as an additive in asphalt to enhance its road performance. After decades of extensive research in rubber-modified asphalt technology conducted by worldwide researchers, it has been established that rubber-modified asphalt and its mixture serve as environmentally friendly pavement materials exhibiting commendable high/low-temperature properties, fatigue resistance, and noise reduction. Qingyu Zhang et al. [19] employed two modifiers, namely HDPE and TOR, to fabricate rubber powder/SBS-modified asphalt mixtures with rubber powder contents of 20% and 25%. A comparative analysis of technical performance was conducted between the rubber powder/SBS-modified asphalt mixtures and the SBS-modified asphalt mixture. Under repeated load, the triaxial dynamic creep test investigated the permanent deformation behavior of the three types of rubber powder/SBS-modified asphalt mixtures. Subsequently, a prediction model for permanent deformation under repeated loading was established based on the modified Burgers model. Zihao Zhou et al. [20] employed a UTM material testing machine to investigate the dynamic bending modulus and phase angle of a mixture comprising 70# matrix asphalt and rubber asphalt using two different test methods, namely, four-point bending and ladder beam tests. By applying the time-temperature equivalent principle, they calculated the shift factor of the principal curve. They generated dynamic modulus principal curves and phase angle principal curves to analyze the viscoelastic properties of the rubber asphalt mixtures. Furthermore, they compared and analyzed the effects of these two dynamic bending and tensile modulus test methods on both the dynamic bending/tensile moduli and the phase angles of the asphalt mixtures. To investigate the impact of rubber powder particle size and dosage on the viscoelastic properties of asphalt mixture at high temperatures, Zhichen Wang et al. [21] initially conducted a series of feed creep tests on dry rubber asphalt mixtures under 13 different working conditions with varying particle sizes and dosages. Subsequently, an improved four-element and five-parameter model was developed by incorporating static and dynamic load equivalence and applying the Boltzmann linear superposition principle. This study proposes a dynamic creep viscoelastic model for asphalt mixture that can be solved in a single iteration, while also analyzing the model parameters. The anti-fatigue cracking properties of various base materials and recycled tire rubber-modified asphalt mixtures were compared and evaluated by S. Kocak et al. [22] using pp-feed analysis and AASHTOWare Pavement ME (version 2.3) software. These materials included the innovative devulcanized rubber (DVR), rubber powder blend (CRTB), rubber wet process (CRWET), as well as the raw/base material PG58-28 and the softer PG58-34 binder. Fan Bai et al. [23] conducted an extensive series of uniaxial compression tests on both the ideal asphalt mixture and the fine and coarse rubber-modified (CRM) asphalt mixture. A viscoelastic viscoplastic random constitutive model incorporating the lognormal distribution of random parameters was proposed to depict the mechanical behavior accurately. Guoqing Wang et al. [24] conducted aging studies on three types of rubber-modified asphalt with rubber contents of 30%, 40%, and 50%, as well as SBS-modified asphalt and 70# matrix asphalt, using the RTFOT and PAV methods. The results revealed that while RTFOT failed to accurately differentiate the fatigue properties of modified asphalt, PAV successfully distinguished the fatigue properties of different types. The ranking order for fatigue properties was AR40 > AR30 > AR50 > SBS > 70#. Hua Tan et al. [25] employed a dynamic shear rheometer to conduct hysteresis tests on rubber-modified asphalt with various additives, thereby assessing the compound modification effect of the modifier on rubber asphalt and its impact on viscoelastic properties based on indicators such as residual deformation elastic energy retention, dissipated energy, elastic ratio, and composite elastic modulus. Adding the PE modifier enhances the resistance to permanent deformation in rubber asphalt but exhibits poor fatigue resistance. On the other hand, rock asphalt can enhance the stiffness, viscous flow behavior, and fatigue resistance of rubber asphalt. In order to investigate the impact of rubber asphalt mortar on the dynamic modulus of the mixture, Wang Xinqiang et al. [26,27] employed a rotary shear compaction test. The skeleton clearance rate was determined by gradually filling coarse aggregate until reaching 0.85, 1.00, and 1.10 times the minimum skeleton clearance volume, respectively. Subsequently, 30% rubber powder-modified asphalt mortar was added to form the mixture. Dynamic modulus specimens were prepared using the rotary shear compaction test method, and their dynamic moduli were measured through an asphalt mixture performance test. Zifeng Zhao et al. [28] investigated the impact of rubber powder and RAP material on the viscoelastic properties of asphalt mixture, revealing that at loading conditions of 1 Hz and 35 °C, the creep resistance of asphalt mixture exhibited an increase exceeding 10%. In comparison, the complex modulus and storage modulus experienced a growth surpassing 50%. The viscoelastic properties of asphalt mixture modified with rubber particles were investigated by Miao Yu et al. [29,30]. They examined the influence of rubber particle content on the asphalt mixture’s elastic deformation and recovery ability. Dynamic modulus tests were conducted using an unconfined asphalt mixture performance testing machine. The dynamic properties of the mixture were measured at different loading frequencies, temperatures, and varying rubber particle contents. Guoqing Wang et al. [31] conducted an experimental study on the road performance of modified asphalt with a high dosage of rubber powder. The dynamic shear rheometer was employed to conduct frequency scanning and multi-stress creep recovery tests on matrix and rubber powder-modified asphalt with varying content. Through a comprehensive analysis of dynamic mechanical response under different loading and working conditions, the viscoelastic properties and high-temperature creep mechanical behavior of rubber powder-modified asphalt were systematically characterized. The effects of cup lump rubber and polyphosphoric acid on the mechanical properties of the asphalt mixture were investigated by Anwaar Hazoor Ansari et al. [32]. The results demonstrated that the combined modification of CLA and PPA significantly enhanced the dynamic resilience modulus of the asphalt mixture. The road performance of the SMA mixture with graphene composite rubber-modified asphalt was analyzed by Rui Guo et al. [33], revealing that the SMA mixture exhibited superior bending strength and dynamic stability compared to the AH-70# and SBS asphalt mixtures. JC Wang et al. [34] investigated the shear modulus and damping ratio of two modified asphalt samples with rubber contents of 20% and 10% under various temperature and pressure conditions. The shear modulus and damping ratio strongly correlate with temperature, while stiffness shows a slight decrease with increasing confining pressure. Temperature and confining pressure play significant roles in determining these properties. The stable rubber-plastic-modified asphalt mixture designed by R Ren et al. [35] was characterized by establishing a dynamic modulus master curve to evaluate its mechanical properties. Compared to the SBS-modified asphalt mixture, the stable rubber-plastic-modified asphalt mixture exhibited a 15% increase in low-temperature tensile strength and a more than 40% increase in high-temperature dynamic modulus. SA Kumar et al. investigated the dynamic mechanical properties of SBS and rubber powder composite-modified asphalt mixture [36]. A multivariate analysis of variance revealed that temperature, frequency, and type of asphalt binder significantly influenced the measured dynamic modulus. Furthermore, under high temperatures and prolonged loading conditions, the road performance of the composite modified asphalt mixture exhibited superior characteristics compared to the unmodified asphalt mixtures. KL Roja et al. [37] employed the Sasobit additive in a rubber crumb-modified binder to produce warm mixed asphalt. It was observed that the dynamic modulus and rutting resistance of the modified asphalt mixture exhibited an increasing trend with higher Sasobit content. At the same time, the fatigue life demonstrated a decreasing trend. The viscoelastic micromechanical model proposed by ZC Wang et al. [38] predicts the dynamic modulus of granular rubber-modified asphalt concrete (GCRMAC) based on existing two-phase and three-phase micromechanical models. Building upon this, an equation for the GCRMAC dynamic modulus is established, taking into account the viscoelastic effect of asphalt concrete and the content of rubber chips. Laboratory experiments confirm the effectiveness of this model in predicting the dynamic modulus of GCRMAC. In a study conducted by AA Abdulridha et al. [39], the influence of rubber scrap size and content on the elastic modulus, dynamic creep, and durability of rubber-modified asphalt mixture was investigated, revealing that reducing the rubber particle size had the most significant impact on enhancing the performance of asphalt mixture. Yunchao Tang et al. [40] utilized recycled rubber particles (RPs) and recycled aggregate (RA) to fabricate rubber-modified recycled aggregate concrete (RRAC). The RRAC characteristics, including compressive strength and peak strain, were investigated after subjecting the specimens to various temperatures while varying the amounts of RA and RPs. Tao Zhou et al. [41] utilized waste bio-oil and scrap rubber from waste tires to modify bitumen, producing bio-modified rubber bitumen (BMR). They investigated the time-dependent evolution of BMR properties, focusing on its rheological, chemical, and microscopic characteristics. Memduh Karalar et al. [42] investigated the impact of waste tire rubber (WTR) on the flexural behavior of reinforced concrete beams (RCB) through experimental tests, ANSYS, and SAP2000 simulations, as well as three-dimensional finite element model (FEM) visualization. Alexey Beskopylny et al. [43] examined the influence of preparation factors on the properties of concrete with partial replacement of coarse aggregate (CA) by rubber tree (RT) seed shells. They identified the optimal composition for achieving enhanced strength characteristics.
To enhance the recycling efficiency of waste rubber, it is imperative to augment the rubber content in rubber-modified asphalt and its mixture. The conventional utilization of rubber powder in rubber asphalt typically involves a 20% composition, with the United States adopting a range between 17% and 20%, while South Africa employs an approximate ratio of 25%. Furthermore, efforts have been made to prepare rubber-modified asphalt mixtures containing over 30% rubber powder. Although extensive research has been conducted on the mechanical properties of low-content rubber-modified asphalt and its mixtures, there remains substantial room for exploration regarding high-content rubber-modified asphalt and its mixtures. This article investigates the viscoelastic properties of high-content rubberized asphalt mixtures. The dynamic mechanical properties of high content rubber modified asphalt were comprehensively considered under different temperature and loading frequency conditions.
2. Materials and Methods
2.1. Test Methods
The Superpave rotary compactor was employed in this experiment to compact the specimen. This compactor allows for precise control of forming pressure and porosity, utilizing the lateral tilt angle of the mold cylinder and chassis to generate shear force within the mixture. Consequently, it can effectively simulate the stress state experienced during actual asphalt mixture spreading by roller forming. Compaction times are selected based on target porosity and compaction height data obtained during molding.
Laboratory testing methods for dynamic modulus include uniaxial compression, direct tensile, triaxial compression, indirect tensile, two-point bending, three-point bending, four-point bending tests, and more. The uniaxial compression test, indirect tensile test, and four-point bending test are commonly used for testing asphalt mixtures. Because pavements primarily experience compression under driving loads and China’s Code for Design of Asphalt Pavement Structure uses the uniaxial compressive modulus as a design parameter, the study adopts the uniaxial compression test method to investigate the dynamic modulus of asphalt mixtures. Currently, there are three primary types of equipment utilized for conducting uniaxial compressive dynamic modulus tests on indoor asphalt mixtures: the MTS810 series servo-hydraulic material test system manufactured by MTS Systems Corporation in Eden Prairie, MN, USA, and Industrial Process Controls Ltd. in Glanmire, Queensland, Australia, the essential performance test instrument (SPT) for asphalt mixtures and the UTM series servo-hydraulic or pneumatic material test system produced by the company. In this study, we employed the MTS810 series servo-hydraulic material test system to perform dynamic modulus testing under uniaxial compression at temperatures of 15 °C, 30 °C, 45 °C, and 60 °C. The frequencies used for the deformation test on the dynamic modulus of asphalt mixture are 0.1 Hz, 0.5 Hz, 1 Hz, 5 Hz, 10 Hz, and 25 Hz. The extensometer is connected to the deformation input channel of MTS to ensure synchronization between the load and deformation measurements during testing. To accurately describe the relationship between load and deformation within a loading cycle, it is necessary to adjust the data acquisition frequency according to the loading frequency. The data acquisition frequency is typically ten times higher than the loading frequency. The general procedure for conducting a dynamic modulus test under uniaxial compression is as follows:
- Before the test, place the specimen in the environmental chamber at the designated testing temperature and maintain a consistent temperature for 4–5 h until reaching the required test temperature within the specified timeframe.
- Retrieve the specimen from the incubator and position the extensometer equidistantly along its circumference. The placement procedure is as follows: situate the extensometer at the midpoint of one side of the specimen, perpendicular to its cross-section.
- Position a polytetrafluoroethylene film above and below the specimen to minimize friction resistance between the specimen and the loading plate, thereby reducing potential end effects. Subsequently, place it at the center of the loading plate, as depicted in Figure 1.
Figure 1. Dynamic modulus testing under uniaxial compression conditions. - The specimen is subjected to a sine-wave axial compressive stress test load, and the repeated loading cycles specified in Table 1 are conducted from high frequency to low frequency at the designated temperature. At any two testing frequencies with an interval of 2 min, the load and deformation curves of the last five waveforms are collected while recording and calculating both the applied load during testing and the axial strain of the specimen.
Table 1. Loading times under different load frequencies. - The next temperature test on the specimen should be conducted, with the temperature selection ranging from low to high.
2.2. Methods for Preparing Materials
The asphalt used in this study is a high-content rubber with rubber contents of 30%, 40%, and 50%, corresponding to the upper, middle, and lower surfaces of Jingde high-speed, respectively. The penetration, ductility, and softening point indices are presented in Table 2, while the PG classification performance is displayed in Table 3. All indices for rubber asphalt and basalt aggregate meet the requirements specified by the “Technical Specification for Highway Asphalt Pavement Construction” (JTG F40-2004).
Table 2.
Test results for conventional properties of rubber asphalt.
Table 3.
PG specification evaluation of rubber asphalt.
The aggregate used is high-quality basalt, while the filler consists of basalt mineral powder. To ensure accurate test results and maintain uniformity in the production process, the aggregate employed for specimen production undergoes screening to achieve different particle sizes. In order to ascertain the performance of these aggregates, various performance indices were tested according to the Technical Specification for Highway Asphalt Pavement Construction (JTG F40-2004). Consequently, aggregates’ physical and mechanical performance indices were obtained, as presented in Table 4, Table 5 and Table 6. The results demonstrate that all utilized aggregate parameters meet the specified technical requirements.
Table 4.
Density test results for limestone aggregates.
Table 5.
Test results for crushing value, polishing value, and abrasion value of limestone aggregate.
Table 6.
Basic technical index of mineral powder.
This study’s crumb rubber-modified asphalt mixture grading design method primarily refers to the Technical Specification for Highway Asphalt Pavement Construction (JTG F40-2004). Table 7, Table 8 and Table 9 display the grading of each crumb rubber-modified asphalt mixture, while Figure 2 illustrates the grading curve. The aggregate grading satisfies the requirements outlined in JTG F40-2004, and the asphalt-aggregate ratio for three crumb rubber asphalt mixtures at 30%, 40%, and 50% is 5.22%, 4.79%, and 4.36%, respectively.
Table 7.
Mineral aggregate gradation inARHM-13.
Table 8.
Mineral aggregate gradation in ARHM-20.
Table 9.
Mineral aggregate gradation in ARHM-25.
Figure 2.
Asphalt mixture mineral grading curve: (a) ARHM-13; (b) ARHM-20; (c) ARHM-25.
The limestone aggregate is placed in a constant-temperature oven at 110 °C until it reaches a consistent weight through drying. The asphalt and aggregate are heated in the oven at 180 °C for over 2 h, following the grading mentioned above design. The crumb rubber-modified asphalt mixture is thoroughly mixed using an indoor mixer, maintaining the optimal oil-to-stone ratio. Specimens were prepared using the rotating compaction method (76-B0252 rotating compactor of Italian CONTROLS). After demudding, cylindrical specimens with a height of 150 mm and a diameter of 100 mm were obtained. The asphalt mixture specimens are shown in Figure 3.
Figure 3.
Asphalt mixture specimens.
2.3. Methods for Calculating Vibroelastic Parameters
2.3.1. Dynamic Modulus, Phase Angle, and Loss Factor
The dynamic modulus, which is the ratio of stress to strain, characterizes a material’s resistance to deformation. The phase angle, representing the phase difference between strain and stress, quantifies the extent of viscoelasticity. The loss factor, expressed as the tangent value of the phase angle, indicates the material’s viscoelastic properties. A higher loss factor indicates greater viscosity, while a lower loss factor signifies enhanced elasticity. Calculation methods for dynamic modulus and phase angle are provided below:
where
- —axial stress amplitude (MPa);
- —average amplitude of axial test load in the last five loading cycles (N);
- —radial cross-section area of the specimen (mm2).
- —dynamic modulus (MPa);
- —the axial strain amplitude measured by the extensometer (mm/mm).
- —phase angle (°);
- —the average lag time between peak deformation and peak load in the last five loading cycles (s);
- —the average load period of the last five load cycles (s).
2.3.2. Storage Modulus, Loss Modulus, and Rutting Factor
The complex modulus of the crumb rubber-modified asphalt mixture can be expressed by the equation below, where the natural part represents the storage modulus, and the imaginary part denotes the loss modulus. The storage modulus characterizes the elastic behavior of the crumb rubber-modified asphalt mixture, with a higher value indicating better shape retention capability. On the other hand, the loss modulus reflects the viscous behavior of crumb rubber-modified asphalt mixture. A more significant loss modulus implies increased energy consumption during deformation and more incredible difficulty returning to its original shape. The subsequent equation describes the relationship between the complex, storage, and loss modulus.
where
- —complex modulus (MPa);
- —storage modulus (MPa);
- —loss modulus (MPa);
- —complex unit, .
WITCZAK [44] tested and compared the dynamic modulus under varying loading frequencies and temperatures, both with and without confining pressure. It was concluded that the permanent deformation of asphalt pavement strongly correlates with the unconstrained rutting factor, while this correlation weakens under confining pressure. The symbol k is used to represent the rutting factor.
3. Dynamic Modulus Test Results and Analysis
3.1. Influence of Loading Frequency
3.1.1. Dynamic Modulus
The dynamic modulus changes in three different crumb rubber-modified asphalt mixtures with loading frequency under different temperature conditions are shown in Figure 4.
Figure 4.
Variation trend of dynamic modulus of asphalt mixture with loading frequency: (a) ARHM-13; (b) ARHM-20; (c) ARHM-25.
The frequency-dependent behavior of the dynamic moduli for the three crumb rubber-modified asphalt mixtures is evident in Figure 4. As the loading frequency increases, a consistent upward trend can be observed in the dynamic moduli of ARHM-13, ARHM-20, and ARHM-25. However, this increasing trend gradually diminishes with higher loading frequencies. The dynamic modulus is stable when the frequency increases beyond a certain threshold. The asphalt mixture belongs to viscoelastic materials, and its deformation hysteresis is caused by external load stress. As the loading frequency increases, the energy that cannot be released in time gradually increases, increasing the dynamic modulus of the asphalt mixture. When the loading frequency is high, the viscosity characteristics of the asphalt mixture are no longer evident and approach elastic deformation, so the dynamic modulus tends to stabilize.
3.1.2. Phase Angle
The phase angle changes with the loading frequency of three different crumb rubber-modified asphalt mixtures under different temperature conditions are shown in Figure 5.
Figure 5.
Variation trend of phase angle of asphalt mixtures with loading frequency: (a) ARHM-13; (b) ARHM-20; (c) ARHM-25.
As shown in Figure 5, when the temperature is between 15 °C and 30 °C, the phase angle of the three crumb rubber-modified asphalt mixtures decreases with the increase in loading frequency, and the decreasing trend gradually slows down with the growth of loading frequency. When the temperature is between 45 °C and 60 °C, the phase angle of the three kinds of rubber-modified asphalt mixtures increases with the increase in loading frequency, and the decreasing trend gradually slows down with the increase in loading frequency. The phase angle is stable when the frequency increases beyond a certain threshold. The phase angle characterizes the ability of the mixture to resist deformation under load from the perspective of viscosity, reflecting the proportion and degree of influence of viscosity and elastic components in viscoelasticity. Under the conditions of 15 °C and 30 °C, the phase angle decreases with the increase in loading frequency, and the decreasing trend gradually slows down. The formation mechanism of high-temperature stability of asphalt mixtures comes from the bonding properties of the binder and the interlocking effect of mineral aggregate gradation. Under low temperatures and high-frequency loads, the primary performance is elastic. With the increase in loading frequency, the elastic performance is enhanced, resulting in a decrease in phase angle. As the loading frequency increases, the elastic performance tends to stabilize to a certain extent, and the ratio of the elastic part to the viscous part tends to stabilize.
3.1.3. Storage Modulus
The change of storage modulus of three different crumb rubber-modified asphalt mixtures with loading frequency under different temperature conditions is shown in Figure 6.
Figure 6.
Variation trend of storage moduli of asphalt mixture with loading frequency: (a) ARHM-13; (b) ARHM-20; (c) ARHM-25.
It can be seen from Figure 6 that the storage moduli of the three crumb rubber-modified asphalt mixtures change regularly with frequency. With the increase in loading frequency, the storage moduli of ARHM-13, ARHM-20, and ARHM-25 all show an increasing trend, and the growing trend gradually slows down with the increase in loading frequency. The transformation law of the storage modulus with loading frequency is the same as that of the dynamic modulus with loading frequency. The storage modulus refers to the amount of energy stored in a material due to elastic (reversible) deformation during deformation, reflecting the magnitude of the material’s elasticity. It represents the index of material rebound after deformation. The dynamic modulus refers to the mechanical response of a material under load, which is not only related to the influencing factors under static action but also to the time, magnitude, frequency, and repetition effects of load action, demonstrating a specific stress dependence. The storage modulus reflects the elastic properties of asphalt mixtures, while the dynamic modulus reflects the elastic and viscous properties of asphalt mixtures. When asphalt mixtures exhibit elasticity, the value of the stored modulus tends to align with that of the dynamic modulus and is calculated as the cosine of the dynamic modulus multiplied by the phase angle.
3.1.4. Loss Modulus
The loss modulus changes with the loading frequency of three different crumb rubber-modified asphalt mixtures under different temperature conditions are shown in Figure 7.
Figure 7.
Variation trend of asphalt mixture loss moduli with loading frequency: (a) ARHM-13; (b) ARHM-20; (c) ARHM-25.
It can be seen from Figure 7 that the loss modulus of the three crumb rubber-modified asphalt mixtures changes regularly with the frequency. With the increase in loading frequency, the dynamic modulus shows an increasing trend, which gradually slows down with the growth of loading frequency. The law governing the change in the loss modulus with loading frequency is the same as that of the dynamic and storage moduli with loading frequency. This is because, at low frequencies, the molecular and lattice movements inside the material are relatively slow, the resistance is relatively small, and the loss modulus is low. At high frequencies, molecular and lattice movements become more frequent and complex, leading to increased resistance and a gradual increase in loss modulus. However, when the frequency reaches a particular value, the movement of molecules and lattices begins to be influenced by external constraints and dissipation effects, so the loss modulus will gradually decrease.
3.1.5. Loss Factor
The loss factors of the three different crumb rubber-modified asphalt mixtures under different temperature conditions vary with loading frequency, as shown in Figure 8.
Figure 8.
Variation trend of asphalt mixture loss factors with loading frequency: (a) ARHM-13; (b) ARHM-20; (c) ARHM-25.
As shown in Figure 8, when the temperature is between 15 °C and 30 °C, the loss factors of the three crumb rubber-modified asphalt mixtures decrease with the increase in loading frequency, and the decreasing trend gradually slows down with the growth of loading frequency. When the temperature is between 45 °C and 60 °C, the loss factors of the three kinds of rubber-modified asphalt mixtures increase with the increase in loading frequency, and the decreasing trend becomes slower with the growth of loading frequency. The variation pattern of the loss factor with loading frequency aligns with the phase angles. The loss factor is the tangent of the phase angle between the strain and stress period of a viscoelastic material under the action of an alternating force field, which is also equal to the ratio of the loss modulus to the storage modulus of the material. When the temperature is between 45 °C and 60 °C, the loss factor can be calculated from the phase angle obtained from the test.
3.1.6. Rutting Factor
Under different temperature conditions of the three crumb rubber-modified asphalt mixtures, the rutting factors change with loading frequency, as shown in Figure 9.
Figure 9.
Trends in the rutting factors of asphalt mixtures with loading frequency: (a) ARHM-13; (b) ARHM-20; (c) ARHM-25.
It can be seen from Figure 9 that the rutting factors of the three crumb rubber-modified asphalt mixtures change regularly with frequency. With the increase in loading frequency, the rutting factors all show an increasing trend, which gradually slows down with the growth of loading frequency. The law governing the change in the rutting factor with loading frequency is the same as that of the dynamic modulus, storage modulus, and loss modulus with loading frequency.
3.2. Influence of Temperature
3.2.1. Dynamic Modulus
The dynamic modulus changes with temperature for the three different crumb rubber-modified asphalt mixtures at different frequencies are shown in Figure 10.
Figure 10.
Variation trends of dynamic moduli of asphalt mixtures with temperature: (a) ARHM-13; (b) ARHM-20; (c) ARHM-25.
It can be seen from Figure 10 that the dynamic moduli of the three crumb rubber-modified asphalt mixtures change regularly with temperature. With the increase in the temperature, the dynamic moduli of ARHM-13, ARHM-20, and ARHM-25 all show a decreasing trend, and the decreasing trend gradually slows down with the increase in the temperature. At higher temperatures, the viscosity characteristics of asphalt mixtures increase, resulting in a decrease in the dynamic modulus.
3.2.2. Phase Angle
The results of the phase angle variation with temperature for the three different crumb rubber-modified asphalt mixtures at different frequencies are shown in Figure 11.
Figure 11.
Variation trends in phase angles of asphalt mixtures with temperature: (a) ARHM-13; (b) ARHM-20; (c) ARHM-25.
It can be seen from Figure 11 that the phase angles of the three crumb rubber-modified asphalt mixtures change regularly with the temperature. With the increase in temperature, the dynamic moduli of ARHM-13, ARHM-20, and ARHM-25 increase first and then decrease. When the frequency is less than or equal to 1 Hz, the phase angle reaches the maximum at 30 °C, and when the frequency is greater than or equal to 5 Hz, the phase angle reaches the maximum at 45 °C. The low-temperature mixture exhibits elasticity, and as the frequency decreases, the phase angle becomes larger. The high-temperature mixture exhibits viscoelasticity, and as the frequency decreases, the phase angle becomes smaller. When the temperature is between high and low, the phase angle increases first and then decreases as the frequency decreases.
3.2.3. Storage Modulus
The results of the storage modulus variation with temperature for the three different crumb rubber-modified asphalt mixtures at different frequencies are shown in Figure 12.
Figure 12.
Variation trend of storage modulus of asphalt mixture with temperature: (a) ARHM-13; (b) ARHM-20; (c) ARHM-25.
It can be seen from Figure 12 that the storage moduli of the three crumb rubber-modified asphalt mixtures change regularly with temperature. With the increase in temperature, the storage moduli of ARHM-13, ARHM-20, and ARHM-25 all show a decreasing trend, and the decreasing trend gradually slows down with the increase in temperature. The temperature-dependent transformation law of the storage modulus is identical to that of the dynamic modulus.
3.2.4. Loss Modulus
The loss modulus changes with temperature of the three different crumb rubber-modified asphalt mixtures at different frequencies are shown in Figure 13.
Figure 13.
Variation trend of loss moduli of asphalt mixtures with temperature: (a) ARHM-13; (b) ARHM-20; (c) ARHM-25.
It can be seen from Figure 13 that the loss moduli of the three crumb rubber-modified asphalt mixtures change regularly with temperature. With the increase in temperature, the loss moduli of ARHM-13, ARHM-20, and ARHM-25 all show a decreasing trend, and the decreasing trend gradually slows down with the temperature increase. The temperature-dependent transformation law of the storage modulus is consistent with that of both the dynamic and storage moduli.
3.2.5. Loss Factor
The loss factors of the three different crumb rubber-modified asphalt mixtures under different frequency conditions change with temperature, as shown in Figure 14.
Figure 14.
Variation trend of asphalt mixture loss factors with temperature: (a) ARHM-13; (b) ARHM-20; (c) ARHM-25.
It can be seen from Figure 14 that the loss factors of the three crumb rubber-modified asphalt mixtures change regularly with temperature. With the increase in temperature, the loss factors of ARHM-13, ARHM-20 and ARHM-25 show first an increase and then a decrease trend. When the frequency is less than or equal to 1 Hz, the loss factor reaches the maximum at 30 °C, and when the frequency is greater than or equal to 5 Hz, the loss factor reaches the maximum at 45 °C. The temperature-dependent variation in the loss factor aligns with the corresponding change in the phase angle. The loss factor is the tangent of the phase angle between the strain and stress periods of a viscoelastic material under the action of an alternating force field, which is equal to the ratio of the loss modulus to the storage modulus of the material. The low-temperature mixture exhibits elasticity, and the lower the frequency, the greater the loss factor. The high-temperature mixture exhibits viscoelasticity, and the lower the frequency, the smaller the loss factor. When the temperature is withing the range of high and low temperatures, as the frequency decreases, the loss factor first increases and then decreases.
3.2.6. Rutting Factor
The results of the rutting factor changes with temperature for the three different crumb rubber-modified asphalt mixtures at different frequencies are shown in Figure 15.
Figure 15.
Trend of rutting factors of asphalt mixtures with temperature: (a) ARHM-13; (b) ARHM-20; (c) ARHM-25.
It can be seen from Figure 15 that the rutting factors of the three crumb rubber-modified asphalt mixtures change regularly with temperature. With the increase in temperature, the rutting factors of ARHM-13, ARHM-20, and ARHM-25 all show a decreasing trend, and the decreasing trend gradually slows down with the increase in temperature. The temperature-dependent variation in the rutting factors aligns with that observed for the dynamic, storage, and loss moduli. The rutting factor is used as an indicator to evaluate the high-temperature performance of asphalt. The higher the rutting factor is, the stronger the asphalt mixture resistance is to permanent deformation high-temperatures; that is, the higher the high-temperature stability of the mixture, the better.
3.3. Influence of Rubber-Modified Asphalt Mixture’s Type
3.3.1. Dynamic Modulus
Under four temperature conditions and different frequency conditions, the dynamic modulus results for the three different kinds of rubber-modified asphalt mixtures are shown in Figure 16.

Figure 16.
Relationship between type of asphalt mixture and dynamic modulus: (a) T = 15 °C; (b) T = 30 °C; (c) T = 45 °C; (d) T = 60 °C.
As can be seen from Figure 16, under different temperature and frequency conditions, the dynamic modulus results for the three different kinds of rubber-modified asphalt mixtures are as follows: ARHM-25 > ARHM-20 > ARHM-13. The experimental results show that as the maximum nominal particle size of the gradation increases, the dynamic modulus of the asphalt mixture is significantly enhanced. Therefore, it is recommended to use coarse-grained asphalt mixture as pavement material in areas and sections with heavy traffic and high temperatures.
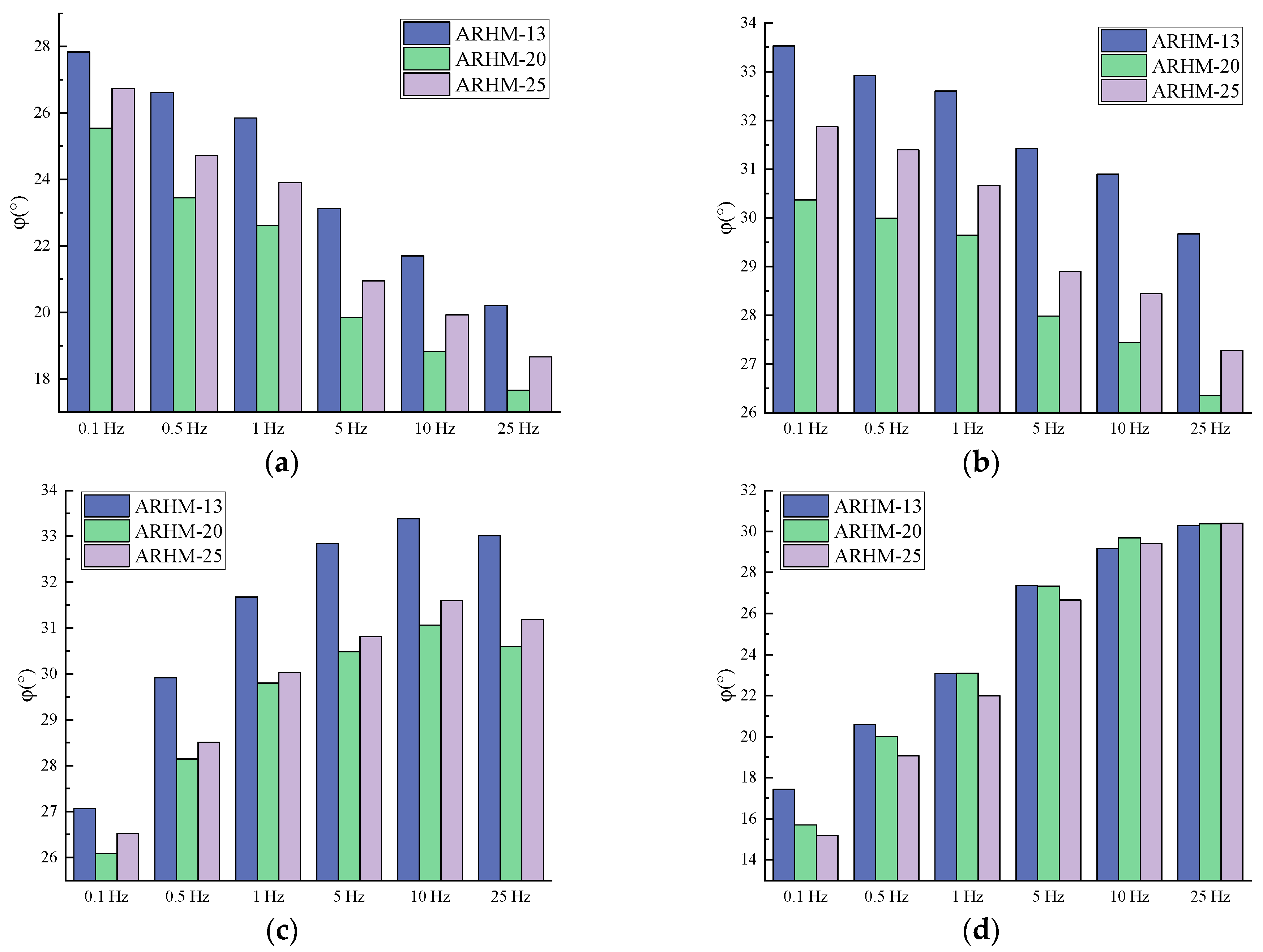
3.3.2. Phase Angle
Under four temperature conditions and different frequency conditions, the phase angle results for the three different kinds of rubber-modified asphalt mixtures are shown in Figure 17.
Figure 17.
Relationship between asphalt mixture type and phase angle: (a) T = 15 °C; (b) T = 30 °C; (c) T = 45 °C; (d) T = 60 °C.
As can be seen from Figure 17, under the condition of T ≤ 45 °C and different frequencies, the phase angle results for the three different kinds of rubber-modified asphalt mixture are as follows: ARHM-13 > ARHM-25 > ARHM-20. Under the conditions of T = 60 °C and f ≤ 5 Hz, the phase angle results for the three different kinds of rubber-modified asphalt mixture are as follows: ARHM-13 > ARHM-20 > ARHM-25. Under the condition of T = 60 °C and f = 10 Hz, the phase angle results for the three different kinds of rubber-modified asphalt mixture are as follows: ARHM-20 > ARHM-25 > ARHM-13. Under the conditions of T = 60 °C and f = 25 Hz, the phase angle results for the three different kinds of rubber-modified asphalt mixture are as follows: ARHM-25 > ARHM-20 > ARHM-13.
3.3.3. Storage Modulus
Under four temperature conditions and different frequency conditions, the storage modulus results for three different kinds of rubber-modified asphalt mixture are shown in Figure 18.
Figure 18.
Relationship between asphalt mixture type and storage modulus: (a) T = 15 °C; (b) T = 30 °C; (c) T = 45 °C; (d) T = 60 °C.
As can be seen from Figure 18, under different temperature and frequency conditions, the storage modulus results for the three different kinds of rubber-modified asphalt mixture are as follows: ARHM-25 > ARHM-20 > ARHM-13.
3.3.4. Loss Modulus
Under four temperature conditions and different frequency conditions, the loss modulus results for the three different kinds of rubber-modified asphalt mixture are shown in Figure 19.
Figure 19.
Relationship between asphalt mixture type and loss modulus: (a) T = 15 °C; (b) T = 30 °C; (c) T = 45 °C; (d) T = 60 °C.
As can be seen from Figure 19, under different temperature and frequency conditions, the storage modulus results for the three different kinds of rubber-modified asphalt mixture are as follows: ARHM-25 > ARHM-20 > ARHM-13.
3.3.5. Loss Factor
Under four temperature conditions and different frequency conditions, the loss factors of the three different kinds of rubber-modified asphalt mixtures are shown in Figure 20.

Figure 20.
Relationship between asphalt mixture type and loss factor: (a) T = 15 °C; (b) T = 30 °C; (c) T = 45 °C; (d) T = 60 °C.
As can be seen from Figure 20, under the condition of T = 15 °C and different frequencies, the loss factors of the three different kinds of rubber-modified asphalt mixture are as follows: ARHM-13 > ARHM-25 > ARHM-20. Under the condition of T = 30 °C or 45 °C and different frequencies, the loss factors of the three different kinds of rubber-modified asphalt mixtures are as follows: ARHM-25 > ARHM-20 > ARHM-13. Under T = 60 °C and f ≤ 0.5 Hz, the loss factors of the three different kinds of rubber-modified asphalt mixtures are as follows: ARHM-25 > ARHM-13 > ARHM-20. Under T = 60 °C, f = 1 Hz, the loss factors of the three different kinds of rubber-modified asphalt mixtures are as follows: ARHM-20 > ARHM-13 > ARHM-25. Under the condition of T = 60 °C, f = 10 Hz, the loss factors of the three different kinds of rubber-modified asphalt mixture are as follows: ARHM-20 > ARHM-25 > ARHM-13. Under T = 60 °C and f = 25 Hz, the loss factors of the three different kinds of rubber-modified asphalt mixtures are as follows: ARHM-20 > ARHM-13 > ARHM-25.
3.3.6. Rutting Factor
Under four temperature conditions and different frequency conditions, the loss factors of the three different kinds of rubber-modified asphalt mixtures are shown in Figure 21.

Figure 21.
Relationship between asphalt mixture type and rutting factor: (a) T = 15 °C; (b) T = 30 °C; (c) T = 45 °C; (d) T = 60 °C.
As can be seen from Figure 21, under the conditions of T = 30 °C and f = 0.1 Hz, the rutting factor results for the three different kinds of rubber-modified asphalt mixtures are as follows: ARHM-13 > ARHM-20 > ARHM-25. Under other temperature and frequency conditions, the rutting factors of the three different types of rubber-modified asphalt mixtures are as follows: ARHM-20 > ARHM-13 > ARHM-25.
4. Conclusions
This study adopted a blending method of equal volume addition of rubber particles, using a step-by-step compaction method with coarse and fine aggregates. Asphalt mixture specimens ARHM-13, ARHM-20, and ARHM-25 were prepared with 30%, 40%, and 50% rubber content, respectively. MTS was selected for dynamic modulus testing under unconfined conditions to analyze the viscoelastic parameters of the rubber-modified asphalt mixtures, the variation pattern under different loading frequencies, and loading temperatures. The main conclusions are as follows:
- (1)
- The relationship between the dynamic, storage, and loss moduli of the three rubber-modified asphalt mixtures under different loading frequencies and temperatures is ARHM-25 > ARHM-20 > ARHM-13. Based on this, it is recommended to use a coarse-grained asphalt mixture as the pavement surface material in areas and sections with heavy traffic and high temperatures.
- (2)
- The relationship between the rutting factors of the three types of rubber-modified asphalt mixtures under different frequency and temperature conditions is ARHM-20 > ARHM-13 > ARHM-25. The modified asphalt mixture exhibits a significantly enhanced delayed elastic recovery ability, enabling partial deformation recovery upon unloading. However, this phenomenon inevitably introduces errors, thereby imposing limitations on the utilization of the rutting factor for evaluating the high-temperature performance of modified asphalt.
- (3)
- The research results of this article indicate that high rubber-content modified asphalt mixtures have excellent performance. In addition, it supports the view that adding 30% to 50% rubber particles to asphalt mixtures is reasonable, pointing out that increasing the gradation will increase the rubber content.
- (4)
- To establish a relationship between the maximum reasonable dosage of rubber particles and the gradation of the asphalt mixture, more indoor test data need to be obtained in the future. Through many experiments, the relationship between the maximum reasonable dosage of rubber particles and the gradation of the asphalt mixture needs to be established.
Author Contributions
Conceptualization: S.L.; methodology: G.Z.; validation: G.Z. and N.Z.; formal analysis: S.L. and G.Z.; investigation: S.L. and N.Z.; resources: N.Z. and G.Z.; data creation: S.L. and G.Z.; writing: N.Z. and G.Z.; writing—review and editing: N.Z. and G.Z.; visualization: N.Z. and G.Z.; supervision: N.Z.; project administration: G.Z.; funding acquisition: S.L. All authors have read and agreed to the published version of the manuscript.
Funding
This work was supported by the National Natural Science Foundation of China (52225806 and 52078063) and the Open Fund of Key Laboratory of Special Environment Road Engineering of Hunan Province (kfj230602).
Data Availability Statement
The data analyzed in this study are subject to the following licenses/restrictions: the restrictions can be received form the first author. Requests to access these datasets should be directed to zgz@stu.csust.edu.cn.
Conflicts of Interest
Authors declare no conflicts of interest.
References
- Bakhshi, B.; Arabani, M. Numerical Evaluation of Rutting in Rubberized Asphalt Mixture Using Finite Element Modeling Based on Experimental Viscoelastic Properties. J. Mater. Civ. Eng. 2018, 30, 04018088.1–04018088.11. [Google Scholar] [CrossRef]
- Yang, Y.; Li, Y.; Zhang, Z.; Cao, D. Performance Evaluation and Parameter Analysis of Asphalt Mixture Using Simple Performance Test (SPT). J. China Foreign Highw. 2013, 33, 262–268. [Google Scholar] [CrossRef]
- Ji, J.; Suo, Z.; Xu, Y.; Xu, S. Experimental Research on Performance of Warm-recycled Mixture Asphalt with SMA. China J. Highw. Transp. 2013, 26, 28–33. [Google Scholar] [CrossRef]
- Zhu, L. Research on Viscoelastic Properties of Asphalt Mixture. Master’s Thesis, Chongqing Jiaotong University, Chongqing, China, 2010. [Google Scholar]
- Irfan, M.; Waraich, A.S.; Ahmed, S.; Ali, Y. Characterization of Various Plant-Produced Asphalt Concrete Mixtures Using Dynamic Modulus Test. Adv. Mater. Sci. Eng. 2016, 2016, 5618427. [Google Scholar] [CrossRef][Green Version]
- Espersson, M. Effect in the High Modulus Asphalt Concrete with the Temperature. Constr. Build. Mater. 2014, 71, 638–643. [Google Scholar] [CrossRef]
- Lee, S.J.; Akisetty, C.K.; Amirkhanian, S.N. The Effect of Crumb Rubber Modifier (CRM) on the Performance Properties of Rubberized Binders in HMA Pavements. Constr. Build. Mater. 2008, 22, 1368–1376. [Google Scholar] [CrossRef]
- Luo, Y.; Li, S.; Tian, G.; Liu, Y. Experimental Study on Freeze-thaw Performance of Rubber-modified Asphalt Mixture. Transp. Sci. Technol. 2022, 8, 116–120, 126. [Google Scholar] [CrossRef]
- Fang, C.; Guo, N.; Sun, Y.; Wang, J. Research on Fatigue Life of Rubber Asphalt Mixture Based on Stiffness Modulus. Eng. Mech. 2020, 37, 196–204. [Google Scholar] [CrossRef]
- Liu, X. Rutting Resistance Evaluation of Asphalt Pavement Modified with Rubber Powder. China Highw. 2022, 618, 106–109. [Google Scholar] [CrossRef]
- Chen, Z.; Liu, B.; Feng, D.; Li, G. Analysis of Factors Influencing the Modulus of Hot-Recycled Asphalt Mixture with High RAP. Materials 2023, 16, 5280. [Google Scholar] [CrossRef]
- Wang, H.; Zhan, S.; Liu, G. The Effects of Asphalt Migration on the Dynamic Modulus of Asphalt Mixture. Appl. Sci. 2019, 9, 2747. [Google Scholar] [CrossRef]
- Ruan, L.; Luo, R.; Hu, X.; Pan, P. Effect of Bell-Shaped Loading and Haversine Loading on the Dynamic Modulus and Resilient Modulus of Asphalt Mixtures. Constr. Build. Mater. 2018, 161, 124–131. [Google Scholar] [CrossRef]
- Han, D.; Yuan, M.; Hu, H. Establishing Prediction Master Curve of Dynamic Modulus of Asphalt Mixture Considering Randomness of Aggregate Morphology. Constr. Build. Mater. 2021, 294, 123575. [Google Scholar] [CrossRef]
- Li, X.-J.; Li, Y.; Li, J.; Shen, Y.; Zhang, C.; Wei, J. Effect of Laboratory Long-Term Oven Aging on the Stiffness of Asphalt Mixtures. Constr. Build. Mater. 2020, 258, 120252. [Google Scholar] [CrossRef]
- Harnaeni, S.R.; Pramesti, F.P.; Budiarto, A.; Setyawan, A.; Khan, M.I.; Sutanto, M.H. Study on Structural Performance of Asphalt Concrete and Hot Rolled Sheet Through Viscoelastic Characterization. Materials 2020, 13, 1133. [Google Scholar] [CrossRef] [PubMed]
- Qin, X.; Ma, L.; Wang, H. Comparison Analysis of Dynamic Modulus of Asphalt Mixture: Indirect Tension and Uniaxial Compression Test. Transp. A Transp. Sci. 2019, 15, 165–178. [Google Scholar] [CrossRef]
- Xu, H.; Fu, X.; Meng, A.; Cui, H.; Tan, Y. Rayleigh Wave Technology for Analysis Dynamic Modulus of Asphalt Mixtures: Feasibility and Application. Int. J. Pavement Eng. 2020, 21, 1235–1247. [Google Scholar] [CrossRef]
- Zhang, Q.; Kang, J.; Zhao, Y. A Predictive Model for Permanent Deformation of Asphalt Mixtures Modified with High Content Rubber Powder/SBS Composites. J. China Foreign Highw. 2022, 42, 197–202. [Google Scholar] [CrossRef]
- Zhou, Z.; Liu, Z.; Wang, X.; Zhang, C. Study on Dynamic Flexural Modulus of Rubber Asphalt Mixture. J. Highw. Transp. Res. Dev. 2019, 36, 16–21+54. [Google Scholar]
- Wang, Z. A Study on Dynamic Creep Tests and Viscoelastic Model of Dry-Blending Crumb Rubber Modified Asphalt Mixtures. J. Inn. Mong. Univ. (Nat. Sci. Ed.) 2013, 44, 647–653. [Google Scholar]
- Kocak, S.; Kutay, M.E. Fatigue Performance Assessment of Recycled Tire Rubber Modified Asphalt Mixtures Using Viscoelastic Continuum Damage Analysis and AASHTOWare Pavement ME Design. Constr. Build. Mater. 2020, 248, 118658. [Google Scholar] [CrossRef]
- Bai, F.; Yang, X.; Zeng, G. A Stochastic Viscoelastic–Viscoplastic Constitutive Model and Its Application to Crumb Rubber Modified Asphalt Mixtures. Mater. Des. 2016, 89, 802–809. [Google Scholar] [CrossRef]
- Wang, G.; Yuan, S.; Qiu, W.; Qin, L.; He, Z. Study on Fatigue Properties of High-volume Rubber-modified Asphalt. J. Wuhan Univ. Technol. (Transp. Sci. Eng.) 2023, 44, 1–7. [Google Scholar]
- Tan, H.; Hu, S.; Liu, B.; Qin, R.; Tong, S.; Ren, S. Study on Viscoelastic Properties of Rubber Modified Asphalt Based on Rheology. China Civ. Eng. J. 2017, 50, 115–122. [Google Scholar] [CrossRef]
- Wang, X.; Wang, G.; Qin, L.; Meng, H.; Wang, X.; Cai, B. Influence of Rubber Asphalt Mortar on Dynamic Modulus of Mixture. J. Shenzhen Univ. Sci. Eng. 2019, 36, 74–79. [Google Scholar] [CrossRef]
- Wang, X.; Wang, G.; Wang, Q.; Gao, Z. Design and Performance Research of High Content Rubber Powder Modified Asphalt SRA-20 Mixture. Bull. Chin. Ceram. Soc. 2018, 37, 2985–2990. [Google Scholar] [CrossRef]
- Zhao, Z.; Xiao, F.; Toraldo, E.; Crispino, M.; Ketabdari, M. Effect of Crumb Rubber and Reclaimed Asphalt Pavement on Viscoelastic Property of Asphalt Mixture. J. Clean. Prod. 2023, 428, 139422. [Google Scholar] [CrossRef]
- Yu, M.; Wu, G.X.; Liu, W.; Wang, X.Y.; Zhang, L. The Shaping Process Research on Crumb Rubber Modified Asphalt Mixture. Appl. Mech. Mater. 2012, 178–181, 1568–1572. [Google Scholar] [CrossRef]
- Yu, M.; Zhao, Z.; Chen, H. Study on Viscoelasticity of Crumb Rubber Modified Asphalt Mixture. J. Highw. Transp. Res. Dev. 2023, 40, 1–7. [Google Scholar] [CrossRef]
- Wang, G.; Cao, D.; Wang, Z.; Qiu, W.; Zhang, S. Comparative Study on Rheological Properties of Asphalt Binder Modified with High Content Crumb Rubber. J. Highw. Transp. Res. Dev. 2022, 39, 7–14+22. [Google Scholar] [CrossRef]
- Ansari, A.H.; Jakarni, F.M.; Muniandy, R.; Hassim, S.; Elahi, Z.; Zair, M.M.B. Mechanical Performance of Cup Lump Rubber Modified Asphalt Mixtures Incorporating Polyphosphoric Acid. Constr. Build. Mater. 2023, 408, 133625. [Google Scholar] [CrossRef]
- Guo, R.; Tang, J.; Gu, J.; Guo, G.; Feng, X. Analysis on the Road Performance of Graphene Composite Rubber Asphalt and Its Mixture. Case Stud. Constr. Mater. 2022, 17, e01664. [Google Scholar] [CrossRef]
- Wang, J.C.; Zeng, X. Influence of Temperature and Pressure on the Dynamic Properties of Rubber-Modified Asphalt Concrete. J. Mater. Civ. Eng. 2006, 18, 125–131. [Google Scholar] [CrossRef]
- Ren, R.; Geng, L.; Sun, J.; Liu, Z. Dynamic Modulus Research of Stabilized Rubber and Plastic Modified Asphalt Mixtures. J. Shandong Jianzhu Univ. 2016, 31, 307–313, 335. [Google Scholar] [CrossRef]
- Kumar, S.A.; Veeraragavan, A. Dynamic Mechanical Characterization of Asphalt Concrete Mixes with Modified Asphalt Binders. Mater. Sci. Eng. A 2011, 528, 6445–6454. [Google Scholar] [CrossRef]
- Roja, K.L.; Aljarrah, M.F.; Sirin, O.; Al-Nuaimi, N.; Masad, E. Rheological, Thermal, and Chemical Evaluation of Asphalt Binders Modified Using Crumb Rubber and Warm-Mix Additive. J. Mater. Civ. Eng. 2022, 34, 04022049. [Google Scholar] [CrossRef]
- Wang, Z.; Guo, N.; Zhao, Y. Prediction of the Dynamic Modulus of Granular Crumb Rubber Modified Asphalt Concrete Based on Micromechanics. In Proceedings of the International Workshop on Energy and Environment in the Development of Sustainable Asphalt Pavements, Xi’an, China, 6 June 2010. [Google Scholar]
- Abdulridha, A.A. Effect of Crumb Rubber Size and Content on the Properties of Dry Mixed Rubberized Asphalt Mixtures. Ph.D. Thesis, Universiti Teknologi Malaysia, Skudai, Malaysia, 2014. [Google Scholar]
- Tang, Y.; Wang, Y.; Wu, D.; Chen, M.; Pang, L.; Sun, J.; Feng, W.; Wang, X. Exploring Temperature-Resilient Recycled Aggregate Concrete with Waste Rubber: An Experimental and Multi-Objective Optimization Analysis. Rev. Adv. Mater. Sci. 2023, 62, 20230347. [Google Scholar] [CrossRef]
- Zhou, T.; Yu, F.; Li, L.; Dong, Z.; Fini, E.H. Swelling-Degradation Dynamic Evolution Behaviors of Bio-Modified Rubberized Asphalt under Thermal Conditions. J. Clean. Prod. 2023, 426, 139061. [Google Scholar] [CrossRef]
- Karalar, M.; Ozturk, H.; Ozkilic, Y.O. Experimental and Numerical Investigation on Flexural Response of Reinforced Rubberized Concrete Beams Using Waste Tire Rubber. Steel Compos. Struct. 2023, 48, 43–57. [Google Scholar] [CrossRef]
- Beskopylny, A.N.; Shcherban’, E.M.; Stel’makh, S.A.; Meskhi, B.; Shilov, A.A.; Varavka, V.; Evtushenko, A.; Özkılıç, Y.O.; Aksoylu, C.; Karalar, M. Composition Component Influence on Concrete Properties with the Additive of Rubber Tree Seed Shells. Appl. Sci. 2022, 12, 11744. [Google Scholar] [CrossRef]
- Witczak, M.W.; Kaloush, K.; Pellinen, T.; Elbasyouny, M.; Quintus, H.V. Simple Performance Test for Superpave Mix Design; National Cooperative Highway Research Program; Transportation Research Board: Washington, DC, USA, 2002. [Google Scholar]
Disclaimer/Publisher’s Note: The statements, opinions and data contained in all publications are solely those of the individual author(s) and contributor(s) and not of MDPI and/or the editor(s). MDPI and/or the editor(s) disclaim responsibility for any injury to people or property resulting from any ideas, methods, instructions or products referred to in the content. |
© 2024 by the authors. Licensee MDPI, Basel, Switzerland. This article is an open access article distributed under the terms and conditions of the Creative Commons Attribution (CC BY) license (https://creativecommons.org/licenses/by/4.0/).