Abstract
To realize the application of epoxy asphalt concrete on roads and solve the problem of the high cost of epoxy asphalt concrete and the causes of bulging in the construction process, a low-content epoxy asphalt mixture was experimentally studied. Rheological and microscopic tests were carried out to study its performance. At the same time, 17 kinds of low-content asphalt mixture Marshall test pieces and rut plate test pieces with different oil stone ratios were made. Their road performances were tested, and a watertight breathable epoxy asphalt mixture was studied to solve the bulging problem. The research shows that, for ordinary roads, a content of epoxy resin of 10–15% can meet both the high-temperature and the low-temperature requirements. For sections with special rutting resistance requirements, a controlled epoxy resin content between 15 and 30% is recommended. When the content of epoxy resin is greater than 30%, epoxy asphalt initially forms a crosslinked spatial network. An epoxy asphalt with a complex structure from asphaltene to epoxy, with ultra-high performance, can be used for small steel bridge pavements. A BBR test showed that, with an increase in epoxy resin content, the low-temperature performance of asphalt gradually weakens. When the content was 20%, epoxy asphalt’s low-temperature performance was weaker than that of SBS-modified asphalt. Under extremely low-temperature conditions, the performance of epoxy asphalt could not meet the specifications. When the voids of low equivalent epoxy asphalt mixture are controlled at 4.1–4.5%, it is watertight and breathable; this can solve the problem of bulging and greatly reduce the cost of projects.
1. Introduction
The service life of asphalt pavements is 15 years, and some long-life pavements have achieved a service life of 30 years; however, high-temperature rutting issues in specialized sections, such as climbing sections and level intersections, are still frequent due to the unreasonable functional design of asphalt pavement materials [1,2,3,4]. The proportion of high-temperature shear instability rutting in asphalt pavement rutting is over 90% [5]. At home and abroad, the high-temperature rutting problem caused by unreasonable pavement function design is mainly compensated for by improving the material performance standards. These methods include using high-performance-modified asphalt and function-enhanced additives to improve the material’s performance; for example, one can use PG82 asphalt in long steep slope sections and in pouring semi-flexible pavement structures at level intersections [6,7,8]. The construction viscosity of PG82-modified asphalt is too high, construction quality control is difficult, and the high construction temperature is also problematic due to the high level of energy consumption. Experience of applying PG82-modified asphalt shows that the rutting problem of long steep slopes has not been completely solved [9,10]. Poured, semi-flexible pavement structures are not wear-resistant and cannot play the function of a wear layer in pavement structures [11,12,13]. The research shows that epoxy asphalt pavements exhibit excellent performances, high-temperature stability, fatigue durability, and aging resistance [14,15,16]. The thermosetting characteristics of epoxy asphalt can, in theory, fundamentally solve the rutting problem experienced by asphalt pavements. It will become an advantageous pavement material for dealing with long steep slopes, service areas, bridge decks, and other working conditions.
Epoxy asphalt is prepared by adding epoxy resin, curing agent, and other auxiliaries to the mixture. The epoxy group of epoxy resin is crosslinked with the reaction site of the amine curing agent through a ring-opening procedure; here, an irreversible curing epoxy crosslinked system is formed after the hardening reaction. Epoxy resin is a thermoplastic polymer containing two or more epoxy groups [17], which can be cured using various curing agents to form a thermosetting, three-dimensional, crosslinked network structure. Such polymers have strong adhesion, high-temperature and oil corrosion resistance, and are often used as adhesives and waterproof materials in the industry. Its molecular structure contains rigid groups such as benzene rings and isopropyl; this gives this kind of epoxy resin excellent mechanical properties and heat resistance. Polar groups such as the ester group and the hydroxyl group give it excellent bonding properties for steel and glass, and it can be used as an adhesive [18]. Due to these properties of epoxy resin, asphalt’s strength and high-temperature performance can be greatly improved. A curing agent is another factor that enhances the excellent properties of epoxy asphalt. The epoxy groups in the structure of epoxy resin crosslink with the reaction site of the curing agent molecules through the open ring; here, a cyclo-oxygen crosslinked system with sufficient mechanical strength is formed during the curing reaction. The crosslinked system has high tensile strength, thermal stability, and other properties [19,20]. Therefore, it can effectively improve asphalt pavement performance, such as its high-temperature stability and durability. The Shell Oil Company of the United States has begun to develop an epoxy asphalt mixture. To address the issue of aircraft fuel and jet incursions on airport runways, the Shell Oil Company developed a thermosetting epoxy asphalt in the 1950s. Epoxy resins and curing agents were used to form a three-dimensional mesh structure by crosslinking during the curing reaction. Asphalt, as a dispersed phase, was filled in the three-dimensional mesh structure formed by crosslinking the epoxy resin, forming a two-phase, three-dimensional mesh structure [21,22,23,24]. Epoxy asphalt was first applied to the steel deck of the San Mateo Hayward Bridge in 1967 [25,26]. With the successful application of epoxy asphalt, epoxy asphalt has been widely used in orthotropic steel bridge deck pavements with complex stresses, such as the San Diego Coronado Bridge in California [27,28,29,30]. In the past three decades, epoxy asphalt mixtures have been used in steel bridge deck paving, mainly in the United States, Canada, the Netherlands, and Australia, with the United States being the most widely used. In the 1970s, Japanese pavement scholars systematically studied epoxy asphalt mixture’s configuration, modulus, stress relaxation, and destruction performance [31,32]. Japan’s “Asphalt Pavement Outline”, 1988, presented detailed provisions for epoxy pavement technologies, from design to construction [33,34]. In the same period, epoxy asphalt, such as KD-BEP, produced in Japan, was widely used and successfully applied in pavement projects, such as the Shanghai Yangtze River Bridge, the Humen Bridge, and the Nansha Bridge in China [35]. Because steel bridge pavements need a good collaborative deformation ability, ordinary asphalt pavement materials cannot be applied. In contrast, epoxy asphalt has an ultra-high bonding performance and can be tightly bonded with steel plates. Therefore, it is widely used in steel bridge deck paving. However, due to the addition of epoxy materials, the expense of epoxy asphalt mixtures is 10–20 times higher than that of general asphalt mixtures. When using expensive epoxy asphalt mixtures on general roads, the problem of imbalance between input and output is very prominent.
Due to the special properties of epoxy asphalt mixtures, researchers have attempted to research general road applications [36,37]. The proportion of epoxy resin will directly affect epoxy asphalt’s structure and mechanical performance [38,39,40]. Li et al. prepared epoxy asphalts with different epoxy proportions and performed microanalysis, which showed that when the proportion of epoxy was more than 30%, the epoxy resin formed a skeleton. Epoxy asphalt’s softening point and tensile strength, compared to ordinary asphalt, have significantly increased, mainly affected by the epoxy resin crosslinking the formation of the network structure [41]. Huang Hongming observed the cured hot-mix epoxy asphalt with a fluorescence microscope. The research showed that the phase of epoxy asphalt changed from asphalt to an epoxy resin network structure when the proportion of epoxy was between 30% and 40%. An SEM test showed that the cured epoxy asphalt formed a network structure when the content was 40%. The cured particles of epoxy resin were distributed evenly when the content was 50%, and the epoxy asphalt formed a stable and dense network structure [42]. Li Xiaoxu observed the epoxy asphalt with epoxy content between 31 and 40% by SEM and found that 37% was the critical value for epoxy asphalt to form a spatial network structure [43]. Xu Peijun et al. studied the relationship between the curing process and the mechanical performance of epoxy through three aspects: different curing agent content, temperature, and time. The research found that epoxy’s fracture elongation and toughness increased with the raising of curing agent proportion. In addition, its tensile strength increased and its elongation at break decreased with increasing curing time. The above studies analyzed the spatial network structure of epoxy asphalt. They investigated limiting the dosage of epoxy, but there is no practical solution for the mixture performance and construction convenience after reducing the dosage of epoxy [44]. Epoxy asphalt is a thermosetting material that changes from a fluid to a solid state with increasing temperature and time. It is still difficult to grasp the time and temperature window of epoxy asphalt pavement construction in engineering applications, and the control of construction quality and rolling technology lacks solid data support [45,46,47]. In addition, the gradation design of epoxy asphalt mixture adopts a continuous dense gradation form in steel bridge deck pavement, which belongs to a suspended dense structure to prolong the fatigue performance and waterproof performance. Due to being too dense, epoxy asphalt pavements easily form bulges, which causes great construction difficulty to directly quote the research on steel bridge deck pavement systems [48,49,50,51]. The bulging problem of epoxy asphalt concrete has not been substantially solved.
The demand for epoxy asphalt mixtures is very high due to their excellent rutting resistance, fatigue durability, and aging resistance. However, epoxy asphalt mixtures are more costly and unusually difficult to construct due to the problem of rumble, which prevents them from being widely used. In this study, by carrying out tests on rheological properties and microscopic appearance of epoxy asphalt with different epoxy resin content, the limiting content of epoxy resin applicable to different places was summarized, and a low-content epoxy asphalt system was established. The low-content epoxy asphalt mixture with dense water and air permeability is proposed to solve the application problem of epoxy asphalt mixture on ordinary roads. The results of this study will contribute to the widespread use of epoxy asphalt on ordinary roads.
2. Experimental Plan
2.1. Preparation
The epoxy resin and curing agent were preheated at 60 °C for about 1 h and then mixed according to a certain proportion and stirred manually for about 3 min. The mixed epoxy resin was mixed with 165 °C basis asphalt according to a certain proportion, and then shearing and dispersing were carried out by a high-speed shearing instrument at 5000 r/min for 5 min to mix epoxy asphalt at different epoxy proportions. See Table 1 and Table 2 for performance indicators of epoxy resin and basis asphalt.
Table 1.
Technical indicator of epoxy resin.
Table 2.
Technical indicator of basis asphalt.
2.2. Fluorescence Microscope Test
A fluorescence microscope was used to irradiate the tested sample with a specific light source to make it emit certain fluorescence. Because different materials have different reflection characteristics on fluorescence, the shape and specific position of samples can be observed under a microscope. Under the irradiation of blue light (wavelength 488 nm), epoxy resin is strongly excited, and the morphology of epoxy in epoxy asphalt can be directly observed without adding a fluorescent indicator. A small amount of epoxy asphalt was dipped and placed on a glass slide, which was then covered with a coverslip, and the epoxy asphalt was flattened with appropriate force. The sample was put in a constant-temperature oven at 60 °C for 4 days and at 25 °C for 1 day. After curing, fluorescence microscopy was used to observe the epoxy asphalt samples and to analyze the structural morphology of the epoxy resin and the base asphalt in different epoxy asphalts. The proportions of epoxy resin were 0%, 10%, 20%, 30%, 40% and 50%, respectively.
2.3. Rheological Test
The dynamic shear rheometer is a general instrument for evaluating the rheological properties of materials in the polymer materials industry, and it is also an important piece of test equipment for asphalt of middle and high-temperature properties in the SHRP program of the United States. The rheological performance of SBS-modified asphalt (SBS content 4.5%) and epoxy asphalt was tested using an AR2000 rheometer (TA Corporation, New York, NY, USA). The proportions of epoxy resin were 5%, 10%, 15%, 20%, 25%, 30% and 40%, respectively. The test temperatures were 58 °C, 64 °C, 70 °C, 76 °C, 82 °C, 88 °C, 94 °C, 100 °C, 106 °C and 112 °C, respectively.
2.4. Watertight Breathable Mixture Test
Seventeen kinds of epoxy asphalt mixture Marshall specimens with different asphalt–aggregate ratios were prepared, and Marshall tests were carried out, with the mixture gradation as shown in Table 3; the ratio of asphalt mass to aggregate mass was 5.5–7.0%, and the interval was 0.1%. The ratio of asphalt mass to aggregate mass was increased by 5.0% as a supplementary group to expand the test boundary. The mold of the rut plate specimen was modified to a sealed tray with the specification of 300 mm × 300 mm × 55 mm. The bottom plate was evenly coated with epoxy resin binder at a 0.5 kg/m2 dosage. After curing with epoxy resin binder for 1 day, 3 mL of water was dripped in the center of the tray to simulate the basic environment of bulging. The 17 kinds of epoxy asphalt concrete with different asphalt–aggregate ratios were prepared to form rutting test specimens that were placed in an oven at 100 °C for 12 h. The height between the top of the bulge’s center and the surface of the specimen was measured, and the water seepage test was carried out for the rutting plate after the temperature dropped. Low-content epoxy–asphalt-mixture-related performance tests, including rutting test, low-temperature bending test, immersion Marshall test, etc. were carried out.
Table 3.
Mixture gradation.
3. Methods
The test chart of this research study is shown in Figure 1. The tests were divided into three main parts: rheological performance tests, microscopic characteristics tests, and road performance tests of asphalt mixture. Rheological performance tests were conducted according to SHRP specifications. A dynamic shear rheometer conducted temperature sweep (TS) and multiple stress creep recovery (MSCR) tests. The TS test was performed on the asphalt sample, and the temperature was 42–80 °C. The MSCR test was performed on the short-term aged asphalt sample. The bending beam rheometer (BBR) test proceeded at −18 °C and −24 °C. A scanning electron microscope (SEM) test was carried out to reflect the morphology characteristics of materials. The performance test of asphalt mixture is carried out following the standard “Test Regulations for Asphalt and Asphalt Mixture of Highway Engineering” (JTG E20-2011) [52], which mainly includes the dynamic stability test, trabecular splitting test and freeze–thaw splitting test.
Figure 1.
Tests chart of low-content epoxy asphalt and its mixtures.
4. Performance of Different Epoxy Asphalt
4.1. Structure of Different Epoxy Asphalt
The fluorescence microscope images are summarised in Figure 1. Yellow represents epoxy resin, and black represents basic asphalt. In Figure 2, with the gradual increase in the epoxy resin content, the yellow particles in the picture gradually increased, and the size of the particles also enlarged. When the proportion of epoxy reaches 10%, the epoxy is just doped into the asphalt base in a tiny medium, which is only equivalent to the modifier role. When the proportion of epoxy resin reaches 20%, the yellow particles increase significantly. When the proportion of epoxy resin is increased to 30%, the resin aggregates with each other and forms larger epoxy resin particles. The whole mixture is still mainly coated with asphalt epoxy resin. When the proportion of epoxy resin reaches 40%, the epoxy asphalt changes from bitumen-based to epoxy-resin-based. The epoxy resin has formed a skeleton, and the asphalt is distributed in the epoxy skeleton, but the particle size of the asphalt is not uniform. When the proportion of epoxy resin reaches 50%, the asphalt particles are evenly distributed in epoxy. The properties of epoxy asphalt change qualitatively as the epoxy proportion increases. When the proportion of epoxy is less than 30%, asphalt is the major phase, and epoxy is the auxiliary phase in epoxy asphalt. When the proportion of epoxy is more than 40%, epoxy is the main phase. Therefore, epoxy resin proportions between 30% and 40% are the two values of phase inversion in epoxy asphalt.
Figure 2.
Fluorescence microscope photo: (a) 0%; (b) 10%; (c) 20%; (d) 30%; (e) 40%; (f) 50%.
In a steel bridge deck, the optimum dosage ratio is obtained when epoxy resin appears in a continuous phase and forms a spatial network structure. Under the optimum dosage state, the continuous phase formed by epoxy resin can effectively exert the characteristics of epoxy resin and change thermoplastic materials into thermosetting materials. As the asphalt is uniformly distributed in the epoxy resin structure, epoxy asphalt has excellent toughness, while the crosslinking network formed by the epoxy resin endows epoxy asphalt with high strength and thermosetting. For a long-span steel bridge deck pavement, to ensure good follow-up, the epoxy content in epoxy asphalt is usually 50%. There will not be huge flexural deformation on ordinary roads, and the epoxy asphalt mixture does not need to have excellent following and thermosetting. The proportion of epoxy should be determined according to the required performance for common roads without excessively pursuing the performance of epoxy asphalt.
4.2. Viscoelastic Properties of Different Epoxy Asphalt
4.2.1. TS Test
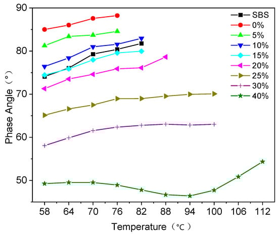
The rheological test results are summarized in Figure 3 and Figure 4, in which Figure 3 shows phase angle parameters and Figure 4 shows complex shear modulus parameters. From Figure 3, the phase angle decreases with increasing epoxy proportion at the same temperature. The phase angle of SBS asphalt is similar to epoxy asphalt with 10–15% epoxy resin. When the temperature rises above 70 °C, the phase angle of epoxy asphalt with 15% epoxy resin is lower than that of SBS asphalt, which indicates that the elasticity of epoxy asphalt with 15% epoxy resin is better than that of SBS asphalt. When the epoxy resin proportion is lower than 25%, the epoxy asphalt’s phase angle increases with the increase in the test temperature. The phase angle of epoxidized asphalt did not increase with increasing test temperature when the proportion of epoxy was greater than 30%. When the proportion of epoxy asphalt reaches 40%, the phase angle of epoxy asphalt decreases and then increases with increasing temperature.
Figure 3.
Phase angle parameters.
Figure 4.
Complex shear modulus parameters.
Figure 5 shows that the composite shear modulus increases with the increase in epoxy proportion at the same temperature. The complex modulus of epoxy asphalt with 5% epoxy resin is similar to basis bitumen. It can be seen that the addition of 5% epoxy has relatively little effect on the composite modulus of basis asphalt. The composite modulus of SBS asphalt is greater than that of epoxy asphalt with 20% epoxy resin at 58 °C. The complex modulus of SBS asphalt decreased significantly as the test temperature increased. When the test temperature reaches 76 °C, the complex modulus of epoxy asphalt with a 10% epoxy resin proportion is higher than that of SBS asphalt.
Figure 5.
G*/sinδ parameter.
In summary, epoxy asphalt cannot fully reflect its anti-deformation ability in the middle-temperature stage. When the temperature rises due to its thermosetting, the anti-deformation ability of epoxy asphalt will be fully reflected. To further investigate the anti-deformation ability of epoxy asphalt, the rutting factor is calculated by using complex modulus and phase angle parameters at different test temperatures, and the results are summarised in Figure 5.
From Figure 5, the change law of the rutting factor is basically consistent with the change law of the complex modulus. The before aging is required to be greater than or equal to 1 kPa in PG grade of asphalt, and the temperature at which epoxy asphalt with different proportions of epoxy meets PG grade requirements is shown in Figure 6. From Figure 6, the PG high-temperature grade of epoxy asphalt gradually increases with the rising epoxy proportion. According to PG grading, the high-temperature grade of basic asphalt is 70 °C, while epoxy asphalt with 5% epoxy can only reach 70 °C. The performance improvement is not obvious. Epoxy asphalts with 10–15% epoxy have a high PG temperature grade of 82 °C, which is higher than SBS asphalts. The high-temperature grade of epoxy asphalt with 25–30% epoxy resin reaches 100 °C, and the high-temperature grade of epoxy asphalt with 40% epoxy resin reaches 112 °C. It shows that adding 5% epoxy resin improves the high-temperature performance of asphalt, while more than 10% epoxy resin can greatly improve the high-temperature properties of asphalt. In the PG grade system, 6 °C is a grade span, so certain epoxy asphalts have the same high-temperature grade, but it does not mean that their anti-rutting is the same. In order to further study the influence of epoxy asphalt with different proportions of epoxy on rutting resistance, rutting factors of epoxy asphalt under different proportions were compared to study the difference in rutting factor decline rate. The specific calculation formula is shown in Equation (1), and the results are shown in Table 4 and Figure 6.
where is the decrease range of rut factor of epoxy asphalt when the proportion of epoxy decreases from to , kPa; and are epoxy resin content, where is 5%, 10%, 15%, 20%, 25%, 30%, 40%, and is 0%, 5%, 10%, 15%, 20%, 25%, 30%; is the rut factor value of epoxy asphalt when the epoxy proportion is , and kPa; is the rut factor value of epoxy asphalt when the epoxy proportion is , kPa.
Figure 6.
High-temperature grade.
Table 4.
Rutting factor decline rate table.
From Table 4 and Figure 7, when the test temperature is 58 °C, the rutting factor of epoxy asphalt with a proportion less than 15% does not decrease rapidly with the increase in epoxy content. When the proportion of epoxy is 15–25%, the rutting factor decreases rapidly; when the content exceeds 25%, the decline rate slows down. When the test temperature is higher than 58 °C, the decline rate of the rutting factor of epoxy asphalt with less than 25% content oscillates. When the content of the epoxy asphalt is more than 25%, the decline rate of the rutting factor begins to increase with the improvement of epoxy resin content. In order to further reflect the change rule of anti-rutting of epoxy asphalt with different proportions of epoxy, the average rutting factors at all temperatures were calculated. From Figure 6, with the improvement of epoxy proportion, the decline rate of the rutting factor of epoxy asphalt oscillates less than 15%. When the proportion of epoxy is 15–30%, the decline rate of the rutting factor increases slowly. When the proportion of epoxy exceeds 30%, the decline rate of the rutting factor increases sharply. In summary, with the improvement of epoxy proportion, the rate of rutting factor decline is increasing. That is, the rate of anti-rutting performance improvement is increasing.
Figure 7.
Rutting factor decline rate.
The rutting factor is analyzed logarithmically, and the relationship between it and the test temperature is shown in Figure 8. Figure 8 has a good linear relationship with temperature, which the linear model fits. The results are shown in Table 5, where K is the slope, and C is the intercept. From Table 5, the correlation coefficient R2 of linear fitting is higher than 0.99, which has a good fitting effect and can be used as a standard curve to predict other rutting factors. The slope represents the temperature sensitivity of the logarithmic rutting factor of epoxy asphalt. The greater the slope, the greater the decrease in the logarithmic rutting factor between different temperatures, i.e., the higher the temperature sensitivity. From Table 5, the slope changes significantly when the epoxy content is 5−10%. When the epoxy proportion is greater than 10%, the slope is relatively flat, indicating that the temperature sensitivity of the rutting factor is relatively small. That is, the temperature sensitivity of the anti-rutting of the epoxy asphalt is relatively small.

Figure 8.
The influence of under different conditions. (a) SBS; (b) 0; (c) 5%; (d) 10%; (e) 15%; (f) 20%; (g) 25%; (h) 30%; (i) 40%.
Table 5.
Linear fitting parameters of lg(G*/sinδ).
According to the above analysis, the rutting factor of epoxy asphalt is increasing with the increase in epoxy proportion. From Figure 7, the rutting factor decline rate increases significantly when the epoxy proportion is greater than 15%. The results show that the rutting resistance of epoxy asphalt is greatly improved when the epoxy proportion is greater than 15%. When the proportion of epoxy is greater than 30%, the rate of improving anti-rutting properties of epoxy asphalt increases further.
4.2.2. MSCR Test
The creep and recovery curves of 10 kinds of bitumen (matrix bitumen, SBS-modified bitumen, and eight different epoxy bitumen mixtures) under 0.1 kPa and 3.2 kPa stress were obtained through the MSCR test. The DSR rheometer automatically recorded the initial strain, creep strain, and recovery strain of each loading cycle under different stress and each one after applying stress for 1 s. The creep strain correction value within the loading cycle and the total strain correction value within each loading cycle after 10 s of stress are applied, and the unrecoverable creep compliance Jnr and the average strain recovery rate R are obtained through calculation. The test temperature is 58 °C, and the results are shown in Figure 9.
Figure 9.
MSCR test result: (a) 0.1 kPa, (b) 3.2 kPa.
It can be seen from the above figure that under different stress levels, the high-temperature performance of epoxy asphalt gradually becomes stronger with the increase in epoxy resin content. It can be seen that the addition of epoxy resin can change the high-temperature performance of epoxy asphalt. At 3.2 kPa stress, the R-value is greater than the M value, indicating that epoxy asphalt’s recovery ability and rutting resistance are decreased at high stress levels. Under the stress condition of 0.1 kPa, the high-temperature performance of epoxy asphalt with a content of 10% is basically the same as that of SBS-modified asphalt. When the content of the epoxy resin is increased from 10% to 15%, the strain recovery rate increases by 31.2%, indicating that the high-temperature stability of epoxy asphalt has been greatly improved. At the stress level of 3.2 kPa, when the content of epoxy resin reaches 15%, the high-temperature performance can be equal to that of SBS-modified asphalt. Therefore, the content of epoxy resin in high temperature and high load environments should be greater than 15%.
The results of temperature scanning and MSCR were analyzed. When the content was increased to 30%, the improvement rate of high-temperature performance of epoxy asphalt was further increased. According to the results of fluorescence microscope analysis, the content was 30%. Epoxy asphalt has undergone qualitative changes. Epoxy asphalt initially formed a crosslinked spatial network structure. Epoxy asphalt began to change from asphaltene to epoxy, with ultra-high performance, and can be used in small steel bridge pavement. For sections with special anti-rutting performance requirements, when the content is greater than 15%, the anti-rutting performance improvement rate is significantly increased, so the epoxy resin content can be controlled at 15−30%. For ordinary roads, the performance of epoxy asphalt should at least reach the performance of SBS-modified asphalt, so the content of epoxy resin can be controlled at 10−15%.
4.2.3. BBR Test
The low-temperature bending beam rheology (BBR) test can characterize the performance of asphalt under low-temperature conditions. According to the requirements of low-temperature grade of road asphalt in most areas of China, 10 kinds of asphalt (matrix asphalt, SBS modified asphalt, eight different kinds of epoxy asphalt) were tested at −12 °C and −18 °C, respectively, and the creep modulus (S) and creep rate (M) indexes were extracted It is an evaluation index. Generally speaking, the value of s is less than 300 MPa, and the value of M is greater than 0.3. The results are summarized in Figure 10.

Figure 10.
BBR test result: (a) Stiffness modulus, (b) m−value.
It can be seen from Figure 10 that with the increase in epoxy resin content, S gradually increases and M gradually decreases, indicating that the greater the epoxy resin content, the more susceptible asphalt is to low-temperature stress. The analysis is because the addition of epoxy resin reacts with the curing agent when the curing product is brittle and hard at low temperatures, and the deformation ability is poor, leading to epoxy asphalt’s low-temperature performance. Under the condition of −18 °C, when the epoxy resin content increases from 10% to 15%, the value of S increases by 8.8%. When the epoxy resin content does not exceed 25%, both s value and M value meet the specification requirements. When the epoxy resin content does not exceed 20%, the low-temperature performance of epoxy asphalt is better than that of SBS modified asphalt. When the temperature drops to −24 °C, the s value of epoxy asphalt with different dosages does not meet the specification requirements. In summary, when the temperature is low, the content of epoxy resin can be appropriately reduced to improve its low-temperature performance, and in an extremely low-temperature environment, the low-temperature performance of epoxy asphalt cannot meet the requirements.
4.2.4. Applicable Conditions for Different Epoxy Resin Content
Table 6 summarizes different application scenarios corresponding to different epoxy resin contents based on the above research results. For ordinary roads, when the content of epoxy resin is 10−15%, it can meet both high-temperature and low-temperature requirements. For sections with special rutting performance requirements, the content of epoxy resin is recommended to be controlled between 15 and 30%. When the content of epoxy resin is greater than 30%, the epoxy asphalt initially forms a crosslinked spatial network structure, and the epoxy asphalt starts to change from asphaltene to epoxy, which has ultra-high performance and can be applied to small steel bridge deck pavements. The low-temperature performance of epoxy asphalt gradually decreases with the increase in temperature. Therefore, the epoxy resin content of the road section should not exceed 20% in the low-temperature environment, and the epoxy asphalt cannot meet the specification requirements under extreme low-temperature conditions.
Table 6.
Different dosages corresponding to different use places.
5. Watertight Breathable Epoxy Asphalt Mixture
5.1. Marshall Test
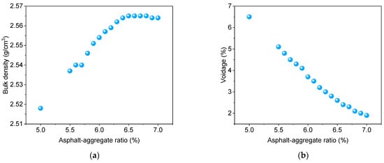
To further study the performance of low-content epoxy asphalt concrete, 17 kinds of Marshall specimens with different asphalt–aggregate ratios were prepared using epoxy asphalt with 20% epoxy resin. The Marshall test was carried out, which is shown in Figure 11. From Figure 11, with the rising asphalt–aggregate ratio, the bulk density and stability first increase and then tend to be stable. When the asphalt–aggregate ratio reaches 6.5%, the bulk density and stability reach the peak. The porosity decreases and the flow value increases with the increase in asphalt–aggregate ratio. Because of the need to prevent rain from corroding steel decks, epoxy asphalt concrete with less than 3% air voids is usually selected for steel deck pavement. Because epoxy asphalt concrete is too dense, the vaporized water in the construction process cannot be discharged, resulting in bulging. Anticorrosion is unnecessary in conventional asphalt pavement, so it does not need extreme compactness. However, the property of epoxy asphalt pavement is closely related to its compactness. Excessive porosity will cause water seepage in epoxy asphalt pavement, and then early water damage will occur. Therefore, achieving watertight ventilation has become a key point in the design of epoxy asphalt concrete.

Figure 11.
Marshall test results: (a) bulk density; (b) porosity; (c) stability; (d) flow values.
5.2. Optimum Void Fraction
The 17 kinds of epoxy asphalt concrete with different asphalt–aggregate ratios were prepared to form rutting test specimens. The specimens were placed in an oven at 100 °C for 12 h. The specimen was taken out, and the height between the center bulge apex and the top of the specimen was measured. After the temperature of the epoxy asphalt mixture specimen drops, the water seepage test is carried out. The results are summarized in Figure 12 and Figure 13.
Figure 12.
Height of bulge.
Figure 13.
Permeability coefficient.
From Figure 12, the epoxy asphalt mixture with air voids in the range of 4.1–6.5% has no bulging, which indicates that the epoxy asphalt concrete in this range can discharge water vapor. That is, there will be no bulging. With the decrease in air voids, the height of the bulge of the epoxy asphalt concrete gradually increases. During the molding process of epoxy asphalt concrete specimens, due to the high temperature, the liquid in the bearing layer forms a gasification state. Then, the epoxy asphalt concrete is directly jacked up. The deformation process changes the gas-tight state of epoxy asphalt concrete. Gas is discharged from the interlayer along the internal channel of the concrete. With the decrease in air voids, the compactness of the epoxy asphalt mixture increases, and the gas that can be discharged is less. That is, more and more gaseous or liquid water remains between layers. When the epoxy asphalt mixture specimen molding work is completed, the interlayer water vapor jacks up the pavement again under the oven heating. Then, it forms the bulge, and the bulge height increases with the increase in interlayer water vapor content, i.e., a decrease in air voids leads to an increase in bulge height. When the air voids are less than 2.4%, the height of the bulge does not increase with the decrease in air voids, which shows that the epoxy asphalt mixture is completely dense (even if a bulge occurs in the molding process, the epoxy mixture is also dense). Interlayer gas cannot escape from the epoxy asphalt concrete during the molding process, so the height of the bulge is determined by the pressure formed by interlayer gas. As can be seen from Figure 13, an epoxy asphalt mixture with air voids of 1.9–4.5% is completely water-dense without water seepage. Therefore, the air voids of watertight breathable epoxy asphalt concrete are 4.1–4.5%, corresponding to an asphalt–aggregate ratio of 5.1–5.9%.
5.3. Road Performance and Cost
Taking the porosity of 4.1% watertight breathable epoxy asphalt mixture as an example, its road performance is shown in Table 6. From Table 7, the deformation of the solidified specimen is very small at high temperatures, and the rutting test results far exceed the technical requirements of the modified asphalt mixture 3000 times/mm, which has good anti-rutting stability. The low-temperature crack resistance also meets technical requirements that the flexural–tensile strain of modified asphalt concrete is greater than 0.0025. In the aspect of water stability, the dense and breathable asphalt mixture also has good performance, in which the ratio of immersion residual stability to residual splitting strength reaches 96.74% and 87.8%, respectively, which meets the technical requirements of modified asphalt mixture greater than 85%, and has better water damage resistance.
Table 7.
Test results of mixture performance.
The cost of the low-content epoxy asphalt mixture is summarized in Table 8 and Table 9. From Table 8, the unit price of low-content epoxy asphalt that needs to resist rutting is 12,600 CNY/t, and low-content epoxy asphalt for ordinary sections is 8100 CNY/t, which is 49% and 67% lower than the epoxy asphalt used for the conventional steel bridge deck, respectively. Due to the relatively small epoxy resin content in low-content epoxy asphalt, the cost of low-content epoxy asphalt has decreased significantly. From Table 8, the unit price of the low-content epoxy asphalt mixture that needs to resist rutting is 95 CNY/m2, and that of the low-content epoxy asphalt mixture on ordinary road sections is 61.5 CNY/m2, which is 46% and 65% lower than epoxy asphalt used for the conventional steel bridge deck, respectively. The costs of low-content epoxy asphalt pavement (ordinary section) and SBS asphalt pavement are similar. Although the cost of the low-content epoxy asphalt pavement (Special section) is 58% higher than the cost of the SBS asphalt pavement, the low-content epoxy asphalt pavement (Special section) can effectively resist rutting and reduce the amount of maintenance. Although the initial cost of the SBS asphalt pavement is low, it requires frequent maintenance in special sections, and the comprehensive cost is much higher than the application of a low-content epoxy asphalt pavement, and it can reduce interference to traffic. In addition, because the low-content epoxy asphalt mixture has eliminated the bulge, the construction cost is greatly reduced compared with the conventional steel bridge deck pavement. Therefore, the cost of the low-content epoxy asphalt mixture in common sections is the same as that of the conventional SBS asphalt pavement, which solves the problem of the high cost of promoting epoxy asphalt pavement in communal sections.
Table 8.
Unit price of binder combination.
Table 9.
The cost of different roads.
6. Conclusions
In order to make the low equivalent epoxy asphalt more widely used in road engineering, the rheological performance and morphological characteristics of epoxy asphalt at different dosages were tested. A Marshall test was performed to study its road performance, and its cost was analyzed. In summary, we can reach the following conclusion.
- (1)
- Due to the excellent heat resistance of epoxy resin, the rate of improvement in anti-rutting performance is increasing with the increase in epoxy resin content. When the proportion of epoxy resin is increased to 30%, the resin aggregates and forms larger epoxy resin particles, and high-temperature performance is further enhanced.
- (2)
- Compared with the arbitrary selection of epoxy asphalt content in epoxy asphalt pavement, this paper puts the epoxy asphalt content in different application scenarios based on the starting point of road performance and cost. For road sections with special anti-rutting requirements, epoxy content should be limited to 15–30%. For ordinary roads, the performance of epoxy asphalt should at least reach the performance of SBS asphalt, and the proportion of epoxy should be limited to 10–15%. The low-temperature performance of epoxy asphalt gradually decreases with the increase in temperature. Therefore, in a low-temperature environment, the content of epoxy resin in the lower section should not exceed 20%. Under extremely low-temperature conditions, epoxy asphalt does not meet the requirements of the code.
- (3)
- The traditional epoxy asphalt mixture cannot solve the problem of bulging when applied to ordinary roads. This paper solves the problem of bulging by studying the watertight and breathable properties of epoxy asphalt mixture with different voids. When the void of low-content epoxy asphalt mixture is 4.1–4.5%, it has the function of water tightness and air permeability and will not form a bulge. Moreover, the low-content epoxy asphalt mixture meets the requirements of various indicators of a modified asphalt mixture, and its deformation resistance far exceeds the technical requirements of a modified asphalt mixture.
- (4)
- The low-content epoxy asphalt mixture proposed in this paper, which is suitable for rutting-resistant pavement and ordinary road sections, reduces the cost of the mixture by 46% and 65% compared with steel bridge deck pavement.
In addition, the watertight breathable mixture system solves the problem of swelling, the construction difficulty of epoxy asphalt concrete is greatly reduced, and the comprehensive cost will be further reduced.
A low-equivalent epoxy asphalt mixture has not been widely used on road surfaces. The tests conducted in this study are all conducted based on the Marshall test, and its durability is unknown. Therefore, the next stage of research should focus on the accelerated loading test of low-content epoxy asphalt mixture to further verify the applicability of low-content epoxy asphalt mixture while carrying out the application research of solid engineering and finally determining the application technology of a low-content epoxy asphalt mixture.
Author Contributions
Conceptualization, X.L. (Xiaodong Li) and X.L. (Xiang Long); Methodology, X.L. (Xiaodong Li); Software, J.L.; Validation, X.L. (Xiaodong Li), X.L. (Xiang Long), and J.L.; Formal analysis, M.H.; Investigation, J.L.; Resources, Y.W.; data curation, J.L.; writing—original draft preparation, X.L. (Xiaodong Li), C.L. and J.L.; writing—review and editing, X.L. (Xiaodong Li), M.H. and J.L.; visualization, X.L. (Xiaodong Li); supervision, Y.W. and S.W.; project administration, X.L. (Xiang Long), C.L. and S.W.; funding acquisition, X.L. (Xiang Long). All authors have read and agreed to the published version of the manuscript.
Funding
This research was funded by the Natural Science Fund of Guangdong Province, grant 427 number 2019A1515011965, and the Natural Science Foundation of China, grant number 51808228.
Data Availability Statement
The data presented in this study are available on request from the corresponding author.
Conflicts of Interest
Authors Xiaodong Li, Xiang Long, Yan Wang, and Mu He were employed by the company Guangzhou North Second Ring Road Traffic Technology Co., Ltd. The remaining authors declare that the research was conducted in the absence of any commercial or financial relationships that could be construed as a potential conflict of interest.
References
- Ding, S.; Xing, Y.; Lang, H.; Wen, T.; Lu, J.J. Line-Structured Light Rut Detection of Asphalt Pavement with Pavement Markings Interference under Strong Light. J. Transp. Eng. Part B Pavements 2022, 148, 04022007. [Google Scholar] [CrossRef]
- Rushing, J.F.; Little, D.N. Static Creep and Repeated Load as Rutting Performance Tests for Airport HMA Mix Design. J. Mater. Civ. Eng. 2014, 26, 04014055. [Google Scholar] [CrossRef]
- Zhang, C.; Yu, H.; Zhu, X.; Yao, D.; Peng, X.; Fan, X. Unified Characterization of Rubber Asphalt Mixture Strength under Different Stress Loading Paths. J. Mater. Civ. Eng. 2024, 36, 04023498. [Google Scholar] [CrossRef]
- Yuan, J.; Lv, S.; Peng, X.; Liu, K. Comprehensive Properties Evaluation of Modified Bio-Asphalt Mixture Based on Comparison Matrix. J. Mater. Civ. Eng. 2024, 36, 04023616. [Google Scholar] [CrossRef]
- Ling, J.; Ren, L.; Tian, Y.; Gao, J.; Man, L. Analysis of airfield composite pavement rutting using full-scale accelerated pavement testing and finite element method. Constr. Build. Mater. 2021, 303, 124528. [Google Scholar] [CrossRef]
- Yang, J.; Li, W.-N.; Chen, Z.-W.; Yu, B. Finite element analysis of asphalt pavement on long-steep longitudinal slope. J. Traffic Transp. Eng. 2010, 10, 20–24. [Google Scholar]
- Li, L.; Huang, X.; Han, D.; Dong, M.; Zhu, D. Investigation of rutting behavior of asphalt pavement in long and steep section of mountainous highway with overloading. Constr. Build. Mater. 2015, 93, 635–643. [Google Scholar] [CrossRef]
- Wang, H.; Zhao, Z.Q.; Zeng, J. Rutting Treatment Technology of Asphalt Pavement of Abrupt Slope Section in Heavy Load and High Temperature Zone. In Proceedings of the International Conference on Advanced Engineering Materials and Technology (AEMT2011), Sanya, China, 29–31 July 2011. [Google Scholar]
- Chen, Y.-L.; Li, X.-L.; Zhou, Z.-G. Rutting of Asphalt Middle Course for Long and Steep Grade Expressway. In Proceedings of the International Workshop on Energy and Environment in the Development of Sustainable Asphalt Pavements, Changan University, Xi’an, China, 6–8 June 2010. [Google Scholar]
- Salem, H.A.; Uzelac, D.; Matic, B. Temperature Zoning of Libya Desert for Asphalt Mix Design. In Proceedings of the 3rd International Conference on Civil, Architectural and Hydraulic Engineering (ICCAHE), Hangzhou, China, 30–31 July 2014. [Google Scholar]
- Yang, Y.; Huang, S.L.; Ding, Q.J.; Peng, X.Y. The Property Research on Interfacial Modificated Semi-flexible Pavement Material. In Proceedings of the International Conference on Green Building, Materials and Civil Engineering (GBMCE 2011), Shangri La, China, 22–23 August 2011. [Google Scholar]
- Zhang, R.K. Research and application on high-performance pouring semi-flexible pavement material. Master’s Thesis, Wuhan University of Technology, Wuhan, China, 2009. [Google Scholar]
- Hu, C.; Zhou, Z.; Luo, Y. Study on damage evolution and mechanism of semi-flexible pavement under acid rain erosion. Case Stud. Constr. Mater. 2023, 19, e02286. [Google Scholar] [CrossRef]
- Chen, X.-H.; Chen, Y.; Huang, W. Flexure characters of epoxy asphalt surfacing on steel decks. J. Highw. Transp. Res. Dev. 2007, 24, 5–8. [Google Scholar]
- Nie, W.; Wang, D.; Sun, Y.; Xu, W.; Xiao, X. Integrated Design of Structure and Material of Epoxy Asphalt Mixture Used in Steel Bridge Deck Pavement. Buildings 2021, 12, 9. [Google Scholar] [CrossRef]
- Qin, K.; Yang, F.; Fu, J.; Han, T.; Liu, F. Study on Technology of Bulge and Crack Repair in Epoxy Asphalt Pavement of Steel Bridge Deck. IOP Conf. Series Earth Environ. Sci. 2021, 804, 042059. [Google Scholar] [CrossRef]
- Wang, Y.D. Study on Synthesis and Curing of Epoxy Terminated PPESK. Master’s Thesis, Dalian University of Technology, Dalian, China, 2008. [Google Scholar]
- Zhang, L. Preparation and Properties of Asphalt Modified Epoxy Resin Composites. Master’s Thesis, Xi’an University of Architecture and Technology, Xi’an, China, 2017. [Google Scholar]
- Wunderle, B.; Dermitzaki, E.; Hölck, O.; Bauer, J.; Walter, H. Molecular dynamics approach to structure-property correlation in epoxy resins for thermo-mechanical lifetime modeling. Microelectron. Reliab. 2010, 50, 900–909. [Google Scholar] [CrossRef]
- Girard-Reydet, E.; Riccardi, C.C.; Sautereau, H. Epoxy-aomatic diamine kinetics. 1. Modeling and influence of the diamine structure. Macromolecules 1995, 28, 7599–7607. [Google Scholar] [CrossRef]
- Gao, L. Molecular Simulation of Curing Behavior of Epoxy Resin/Amine System and Design of Novel Carbon Hybrid Reinforcement. Master’s Thesis, Beijing University of Chemical Technology, Beijing, China, 2017. [Google Scholar]
- Wang, Z.; Zeng, L. Construction Control of TAF Epoxy Asphalt Mixture. J. Highw. Transp. Res. Dev. 2013, 30, 12–16. [Google Scholar]
- Liu, Y.; Qian, Z.; Wang, Y.; Xue, Y. Development and Laboratory Evaluation of a Cold Mix High-Early-Strength Epoxy Asphalt Concrete for Steel Bridge Deck Pavements. Materials 2021, 14, 4555. [Google Scholar] [CrossRef]
- Zhu, C. Japan TAF Epoxy Asphalt Concrete Design and Steel Bridge Deck Pavement Construction Technology. Appl. Mech. Mater. 2013, 330, 905–910. [Google Scholar] [CrossRef]
- Luo, S.; Liu, Z.; Yang, X.; Lu, Q.; Yin, J. Construction Technology of Warm and Hot Mix Epoxy Asphalt Paving for Long-Span Steel Bridge. J. Constr. Eng. Manag. 2019, 145, 04019074. [Google Scholar] [CrossRef]
- Chen, Z.; Xu, W.; Zhao, J.; An, L.; Wang, F.; Du, Z.; Chen, Q. Experimental Study of the Factors Influencing the Performance of the Bonding Interface between Epoxy Asphalt Concrete Pavement and a Steel Bridge Deck. Buildings 2022, 12, 477. [Google Scholar] [CrossRef]
- Fan, X.; Luo, R. Deformation recovery characteristics of asphalt pavement material on steel bridge decks under nondestructive conditions. Constr. Build. Mater. 2021, 313, 125495. [Google Scholar] [CrossRef]
- Luo, S.; Qian, Z. Preparation and Performance Evaluation of Novel High Durability Epoxy Asphalt Concrete for Bridge Deck Pavements. Asian J. Chem. 2014, 26, 5595–5598. [Google Scholar] [CrossRef]
- Xu, P.; Cong, P.; Li, D.; Zhu, X. Toughness modification of hyperbranched polyester on epoxy asphalt. Constr. Build. Mater. 2016, 122, 473–477. [Google Scholar] [CrossRef]
- Qian, Y.-C.; Chen, S.-F.; Cong, P.-L. Curing characteristics of epoxy asphalt studied by differential scanning calorimetry. J. Wuhan Univ. Technol. 2011, 33, 24–27. [Google Scholar]
- Yang, S.-Q.; Hao, P.-W.; Wang, H.-N. The Accelerated Loading Test Research of Japan Epoxy Asphalt Paving Materials. In Proceedings of the International Workshop on Energy and Environment in the Development of Sustainable Asphalt Pavements, Changan Univ, Xi’an, China, 6–8 June 2010. [Google Scholar]
- Hong, Y.Q. Studies of Epoxy Asphalt’s Performances and Optimization of Design. Master’s Thesis, South China University of Technology, Guangzhou, China, 2010. [Google Scholar]
- Apostolidis, P.; Liu, X.; van de Ven, M.; Erkens, S.; Scarpas, T. Kinetic Viscoelasticity of Crosslinking Epoxy Asphalt. Transp. Res. Rec. J. Transp. Res. Board 2019, 2673, 551–560. [Google Scholar] [CrossRef]
- Shao, W.-X.; Zhou, B.-J. Study on performance of new type cold mix epoxy asphalt and mixture for steel deck pavement. IOP Conf. Series Earth Environ. Sci. 2021, 787, 012004. [Google Scholar] [CrossRef]
- Liu, Y.Q. Technical Research of Asphalt Concrete Pavement on Steel-Girder Bridge Deck. Master’s Thesis, South China University of Technology, Guangzhou, China, 2010. [Google Scholar]
- Zhang, R.; He, Y.; Ao, Z. An asphalt emulsion modified by compound of epoxy resin and styrene-butadiene rubber emulsion. In Proceedings of the Joint Conference 9th WSEAS Int Conf on Mathematical and Computational Methods in Sci and Engineering/6th WSEAS Int Conf on Data Networks, Commununications, Computers, Port Spain, Trinidad and Tobago, 5–7 November 2007. [Google Scholar]
- Chang, Y.; Chen, Z. Study on the Road Performance of Epoxy Emulsified Asphalt Mixture. In Proceedings of the 1st International Conference on Transportation Infrastructure and Materials (ICTIM), Xi’an, China, 16–18 July 2016. [Google Scholar]
- Cong, P.; Luo, W.; Xu, P.; Zhang, Y. Chemical and physical properties of hot mixing epoxy asphalt binders. Constr. Build. Mater. 2018, 198, 1–9. [Google Scholar] [CrossRef]
- Cong, P.-L.; Yu, J.-Y.; Wu, S.-P. Investigation on Influence Factors of Epoxy Asphalt and Its Mixture Properties. J. Wuhan Univ. Technol. 2009, 31, 7–10. [Google Scholar]
- Yin, H.; Jin, H.; Wang, C.; Sun, Y.; Yuan, Z.; Xie, H.; Wang, Z.; Cheng, R. Thermal, damping, and mechanical properties of thermosetting epoxy-modified asphalts. J. Therm. Anal. Calorim. 2013, 115, 1073–1080. [Google Scholar] [CrossRef]
- Li, Y.; Cao, D.; Zhang, Y.; Jia, X. Performance of a dry-method-epoxy modifier and a modified epoxy-asphalt mixture. Constr. Build. Mater. 2020, 266, 120229. [Google Scholar] [CrossRef]
- Huang, H. Study on Evaluation and Application of Hot-Mixed Epoxy Asphalt Steel Bridge Deck Pavement Materials. Master’s Thesis, South China University of Technology, Guangzhou, China, 2013. [Google Scholar]
- Li, X. Experimental Study on Evaluation and Application of Epoxy Asphalt Steel Bridge Deck Pavement Materials. Master’s Thesis, South China University of Technology, Guangzhou, China, 2015. [Google Scholar]
- Peijun, X.; Zhen, Z.; Yin, H. Phase structure control and toughening modification of epoxy asphalt based on linear epoxy resin. Highway 2022, 67, 295–301. [Google Scholar]
- Chen, Y.; Hossiney, N.; Yang, X.; Wang, H.; You, Z. Application of Epoxy-Asphalt Composite in Asphalt Paving Industry: A Review with Emphasis on Physicochemical Properties and Pavement Performances. Adv. Mater. Sci. Eng. 2021, 2021, 1–35. [Google Scholar] [CrossRef]
- Lv, Q.; Huang, M.; Huang, W.D. A Conception of Application Epoxy Asphalt Mixture on Airport Pavement. In Proceedings of the 2nd Global Conference on Civil, Structural and Environmental Engineering (GCCSEE 2013), Shenzhen, China, 28–29 September 2013. [Google Scholar]
- Wang, J.; Shen, J.; Qian, Z. Construction controlling research of domestic epoxy asphalt mixture. J. Southeast Univ. 2009, 9, 1226–1230. [Google Scholar]
- Li, Y.C.; Zhang, P.; Lv, R.; Xu, Y.Z.; Hou, G.J. Performance evaluation of Epoxy asphalt and study of Epoxy asphalt used on deck surfacing of concrete bridge. In Proceedings of the International Conference on Intelligent Materials, Applied Mechanics and Design Science (IMAMD 2011), Beijing, China, 24–25 December 2011. [Google Scholar]
- Zhang, Y.J.; Cao, D.W.; Zhang, H.Y.; Wu, X.W. The study of curing characteristics of epoxy asphalt. In Proceedings of the 3rd International Conference on Chemical Engineering and Advanced Materials (CEAM 2013), Guangzhou, China, 6–7 July 2013. [Google Scholar]
- Zhang, X.; Ren, Y.; Chi, F. Study of viscous-elastic properties of epoxy asphalt mixtures by using dynamic frequency sweep. J. Huazhong Univ. Sci. Technol. 2009, 37, 102–105. [Google Scholar]
- Peng, X.; Xie, N.; Xia, C.; Zhou, X.; Zhao, P.; Ma, S.; Zhang, C.; Lv, S. Laboratory evaluation of different bio-oil recycled aged asphalts: Conventional performances and microscopic characteristics. J. Clean. Prod. 2023, 428, 139442. [Google Scholar] [CrossRef]
- GB/T 16777-2008; Test method for building waterproof coatings. National Technical Committee for Standardization of Light and Decorative Building Materials (SAC/TC 195): Beijing, China, 2009.
- JTG E20-2011; Test Code for Asphalt and Asphalt Mixtures for Highway engineering. Ministry of Transport: Beijing, China, 2011.
Disclaimer/Publisher’s Note: The statements, opinions and data contained in all publications are solely those of the individual author(s) and contributor(s) and not of MDPI and/or the editor(s). MDPI and/or the editor(s) disclaim responsibility for any injury to people or property resulting from any ideas, methods, instructions or products referred to in the content. |
© 2024 by the authors. Licensee MDPI, Basel, Switzerland. This article is an open access article distributed under the terms and conditions of the Creative Commons Attribution (CC BY) license (https://creativecommons.org/licenses/by/4.0/).