Fragility Assessment of a Long-Unit Prestressed Concrete Composite Continuous Girder Bridge with Corrugated Steel Webs Subjected to Near-Fault Pulse-like Ground Motions Considering Spatial Variability Effects
Abstract
1. Introduction
2. Analysis Methodology
2.1. Seismic Fragility Assessment Method
2.2. Seismic Responses Considering Ground-Motion Spatial Variability Effects
3. Case Study
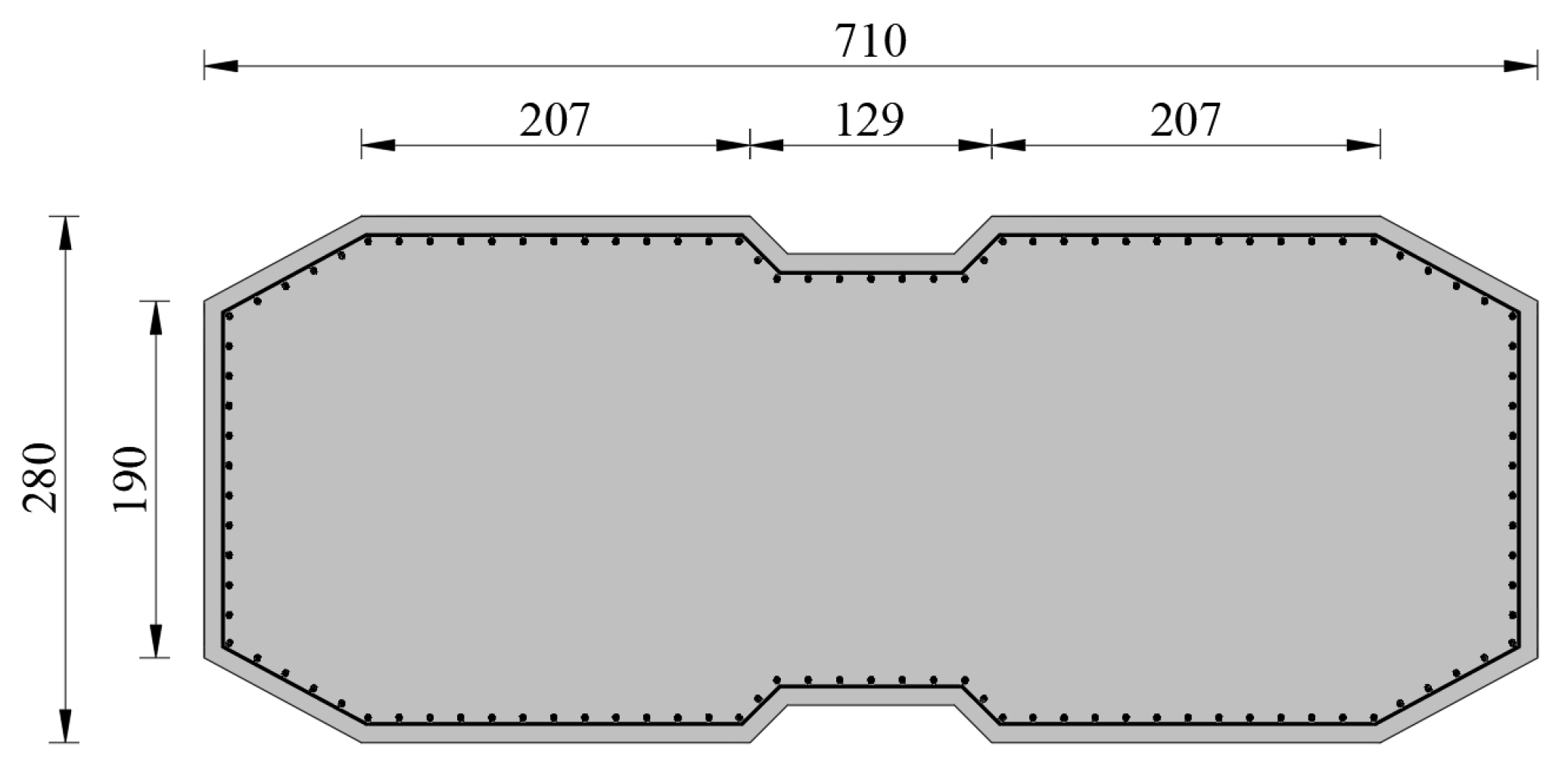
3.1. Numerical Model
3.2. Probabilistic Seismic Demand Analysis
3.3. Damage Index Analysis
3.4. Fragility Assessment
4. Discussion
4.1. Girder Type
4.2. Bearing Type
4.3. Ground Motion Type
4.4. Apparent Wave Velocity
5. Conclusions
- (1)
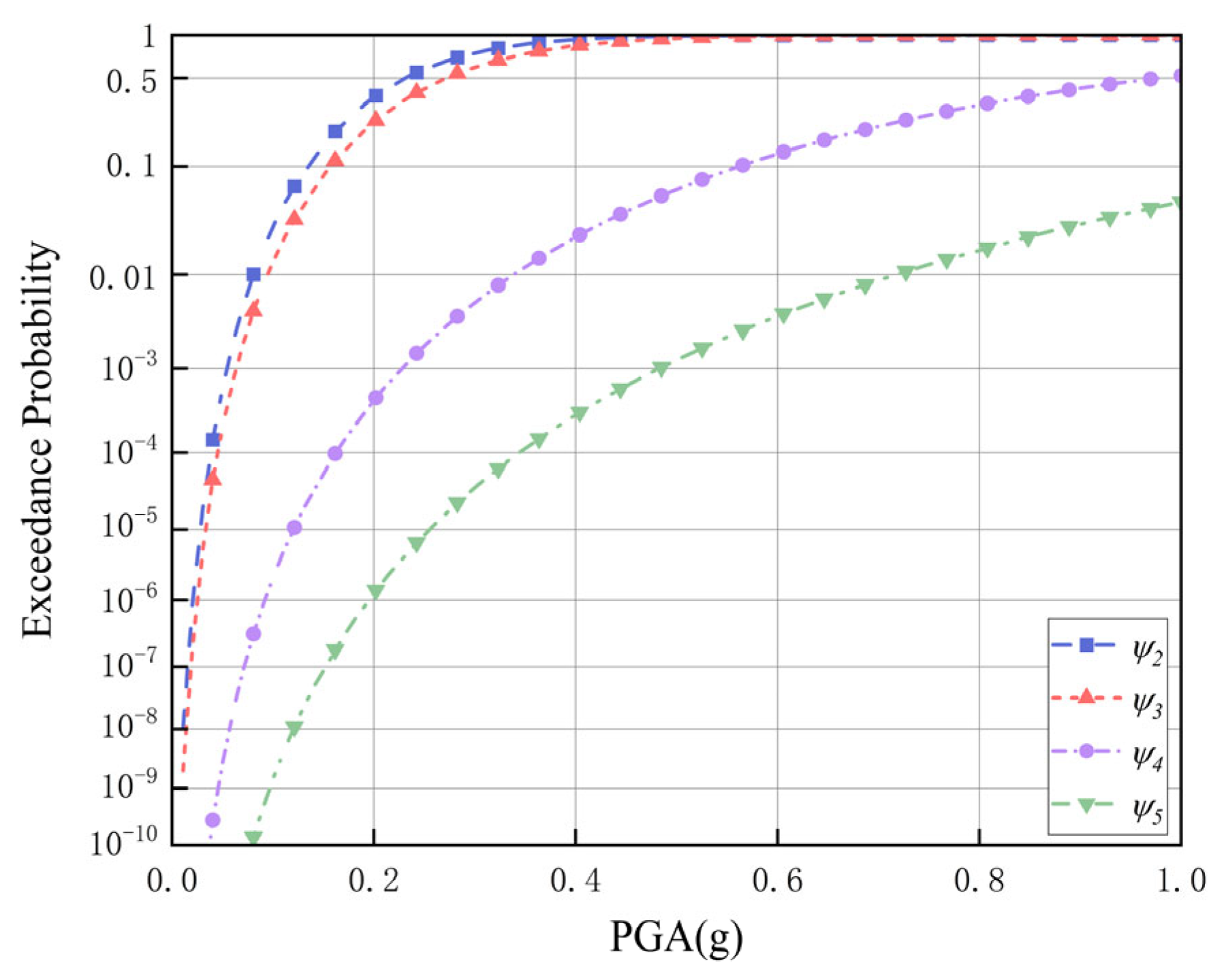
- The fragility of PCCGBCSWs increases with increasing PGA, whereas the odds of experiencing and surpass the likelihood of extensive and complete damage, exhibiting considerably greater growth rates. Therefore, in the seismic design of bridges, a judiciously designed pier section size is paramount for mitigating the risk of inadequate seismic resilience in specific directional scenarios.
- (2)
- When the PGA is constant, the fragility of the steel girder composite girder with CSWs and prestressed concrete girder increases in turn. The weight of the upper structure is changed due to the different selections of materials. Reducing the weight of the upper structure will reduce the seismic fragility to a certain extent. Therefore, to account for the unique structural characteristics of PCCGBCSWs, such as low self-weight, fast construction, and high prestressing efficiency, a balance should be found between the dead weight of the superstructure and the structural form to achieve the optimal solution while designing bridges.
- (3)
- The seismic isolation bearing and viscous damper limit the seismic dynamic response of a bridge by reducing part of the energy when an earthquake occurs. When the PGA is certain, the seismic isolation bearing can effectively enhance the bridge seismic capacity, and the damping effect of friction pendulum bearings is better than that of viscous dampers. In addition, basin rubber bearings should be avoided as much as possible.
- (4)
- The bridge fragility decreases with increasing distance from the source, and the ground motion pulse effect exerts a substantial influence on the robustness of the bridge vulnerability. The bridge fragility for the NFPLGMs is lower than that for the NFNPLMs, which is lower than that for the FFGMs. In the assessment of bridge seismic capacity, fully considering the characteristics of NFPLGM effects is highly important for avoiding the overestimation of the earthquake resistance.
- (5)
- The fragility of long-unit PCCGBCSWs is related to the apparent wave velocity. As the apparent wave velocity decreases, the magnitude of its impact is amplified. In applied engineering planning, consideration of the wave passage effect should be site-category-specific to enhance the safety of bridge structures.
Author Contributions
Funding
Data Availability Statement
Conflicts of Interest
References
- Akiyama, M.; Frangopol, D.M.; Ishibashi, H. Toward life-cycle reliability-, risk-and resilience-based design and assessment of bridges and bridge networks under independent and interacting hazards: Emphasis on earthquake, tsunami and corrosion. Struct. Infrastruct. Eng. 2020, 16, 26–50. [Google Scholar] [CrossRef]
- Wang, T.; Liu, Y.; Li, Q.Y.; Du, P.; Zheng, X.G.; Gao, Q.F. State-of-the-Art review of the resilience of urban bridge networks. Sustainability 2023, 15, 989. [Google Scholar] [CrossRef]
- Zucca, M.; Crespi, P.; Stochino, F.; Puppio, M.L.; Coni, M. Maintenance interventions period of existing RC motorway viaducts located in moderate/high seismicity zones. Structures 2023, 47, 976–990. [Google Scholar] [CrossRef]
- Jiang, R.J.; Kwong, A.F.T.; Xiao, Y.F. Prestressed concrete girder bridges with corrugated steel webs. J. Struct. Eng. 2015, 141, 04014108. [Google Scholar] [CrossRef]
- Rosignoli, M. Prestressed concrete box girder bridges with folded steel plate webs. Proc. Inst. Civ. Eng. Struct. Build. 1999, 134, 77–85. [Google Scholar] [CrossRef]
- Kim, K.S.; Lee, D.H. Flexural behavior of prestressed composite beams with corrugated web: Part II. Experiment and verification. Compos. Part B Eng. 2011, 42, 1617–1629. [Google Scholar] [CrossRef]
- Johnson, R.P.; Cafolla, J.; Bernard, C. Corrugated webs in plate girders for bridges. Proc. Inst. Civ. Eng. Struct. Build. 1997, 122, 157–164. [Google Scholar] [CrossRef]
- Shen, K.; Wan, S.; Mo, X.L.; Li, X.Y.; Aiming, S. A softened membrane model for composite box-girders with corrugated steel webs under pure torsion. Eng. Struct. 2018, 173, 357–371. [Google Scholar] [CrossRef]
- Jiang, R.J.; Gai, W.M.; He, X.F.; Chen, Y.Y. Comparative study on seismic performance of prestressed concrete box-girder bridges with corrugated steel webs. Appl. Mech. Mater. 2012, 178, 2418–2423. [Google Scholar] [CrossRef]
- Wang, Y.Q.; Fan, B.B.; Li, L. Analysis on seismic performance of corrugated steel web continuous rigid frame bridge. Appl. Mech. Mater. 2014, 501, 1471–1476. [Google Scholar] [CrossRef]
- Zhao, W.Z.; Li, Z.C.; Zhang, C.; Wan, S. Influence of spile-soil interaction on seismic response of PC continuous beam bridge with corrugated steel webs. In AIP Conference Proceedings; AIP Publishing: Wuhan, China, 2019; Volume 2073. [Google Scholar]
- Wang, S.H.; Liu, Y.Q.; He, J.; Xin, H.H.; Yao, H.B. Experimental study on cyclic behavior of composite beam with corrugated steel web considering different shear-span ratio. Eng. Struct. 2019, 180, 669–684. [Google Scholar] [CrossRef]
- Zheng, S.; Shen, Q.; Guan, C.; Cheng, H.; Zhuang, H.; Zhou, M. Semi-active control of seismic response on prestressed concrete continuous girder bridges with corrugated steel webs. Appl. Sci. 2022, 12, 12881. [Google Scholar] [CrossRef]
- Wang, R.; Hu, Z.; Hao, Z.; Chen, L.; Shi, G.; Hou, R.; Zuo, R. Seismic fragility analysis of long-span prestressed concrete composite box girder bridge with corrugated steel webs under Construction. Buildings 2023, 13, 1598. [Google Scholar] [CrossRef]
- Zheng, W.Z.; Wang, H.; Li, J.; Shen, J. Parametric study of superelastic-sliding LRB system for seismic response control of continuous bridges. J. Bridge Eng. 2020, 25, 04020062. [Google Scholar] [CrossRef]
- Zheng, W.Z.; Tan, P.; Li, J.; Wang, H.; Liu, Y.H.; Xian, Z.B. Superelastic pendulum isolator with multi-stage variable curvature for seismic resilience enhancement of cold-regional bridges. Eng. Struct. 2023, 284, 115960. [Google Scholar] [CrossRef]
- Wang, H.; Wu, Y.; Sha, B.; Zheng, W.Z.; Gao, Y.Q. Compositive optimal control for the seismic response of a long-span triple-tower suspension bridge. Int. J. Struct. Stab. Dyn. 2018, 18, 1840009. [Google Scholar] [CrossRef]
- Kim, S.H.; Feng, M.Q. Fragility analysis of bridges under ground motion with spatial variation. Int. J. Non-Linear Mech. 2003, 38, 705–721. [Google Scholar] [CrossRef]
- Huang, M.G. Seismic Fragility, Hazard and Risk Analysis of Reinforced Concrete Continuous Girder Bridges. Master’s Thesis, Harbin Institute of Technology, Harbin, China, 2011. [Google Scholar]
- Hwang, H.; Liu, J.B. Seismic fragility analysis of reinforced concrete bridges. China Civ. Eng. J. 2004, 37, 47–51. [Google Scholar]
- Xie, L.L.; Ma, Y.H.; Zhai, C.H. Performance-Based Seismic Design and Design Ground Motion; Science Press: Beijing, China, 2009. [Google Scholar]
- Ellingwood, B.R.; Kinali, K. Quantifying and communicating uncertainty in seismic risk assessment. Struct. Saf. 2009, 31, 179–187. [Google Scholar] [CrossRef]
- Hwang, H.; Liu, J.B.; Chiu, H. Seismic fragility analysis of highway bridges. In Mid-America Earthquake Center CD Release 01–06; University of Illinois Urbana-Champaign: Champaign-Urbana, IL, USA, 2001. [Google Scholar]
- Mosleh, A.; Jara, J.; Razzaghi, M.S.; Varum, H. Probabilistic seismic performance analysis of RC bridges. J. Earthq. Eng. 2020, 24, 1704–1728. [Google Scholar] [CrossRef]
- Xiang, Y.; Sun, J.C.; Hou, L.C.; Liang, R.W.; Yao, X.; Liu, F.M. Seismic Fragility Assessment for a Prefabricated Composite Box-girder Bridge with Corrugated Steel Webs. Highw. Eng. 2018, 43, 32–38. [Google Scholar]
- Li, H.N.; Cheng, H.; Wang, D.S. A review of advance in seismic fragility research on bridge structures. Eng. Mech. 2018, 35, 1–16. [Google Scholar]
- Choi, E.; DesRoches, R.; Nielson, B. Seismic fragility of typical bridges in moderate seismic zones. Eng. Struct. 2004, 26, 187–199. [Google Scholar] [CrossRef]
- Soyluk, K.; Sicacik, E.A. Soil–structure interaction analysis of cable-stayed bridges for spatially varying ground motion components. Soil Dyn. Earthq. Eng. 2012, 35, 80–90. [Google Scholar] [CrossRef]
- Clough, R.W.; Penzien, J. Dynamics of Structures, 2nd ed.; McGraw-Hill, Inc.: New York, NY, USA, 1993. [Google Scholar]
- Kiureghian, A.D. A coherency model for spatially varying ground motions. Earthq. Eng. Struct. Dyn. 1996, 25, 99–111. [Google Scholar] [CrossRef]
- Bi, K.; Hao, H. Numerical simulation of pounding damage to bridge structures under spatially varying ground motions. Eng. Struct. 2013, 46, 62–76. [Google Scholar] [CrossRef]
- Ma, K.; Zhong, J.; Feng, R.; Yuan, W. Investigation of ground-motion spatial variability effects on component and system vulnerability of a floating cable-stayed bridge. Adv. Struct. Eng. 2019, 22, 1923–1937. [Google Scholar] [CrossRef]
- Wang, Z.; Wang, J.Q.; Liu, T.X.; Zhang, F. Modeling seismic performance of high-strength steel-ultra-high-performance concrete piers with modified Kent-Park model using fiber elements. J. Eng. 2016, 8, 1687814016633411. [Google Scholar] [CrossRef]
- Birrell, M.; Astroza, R.; Carreno, R.; Restrepoet, J.; Araya-Letelier, D. Bayesian parameter and joint probability distribution estimation for a hysteretic constitutive model of reinforcing steel. Struct. Saf. 2021, 90, 102062. [Google Scholar] [CrossRef]
- Bu, O.W.; Guo, Y.R. Research on OpenSees based substructure pseudo-dynamic test method for bridge considering multi-point excitation effect. J. Railw. Sci. Eng. 2018, 15, 919–925. [Google Scholar]
- GB 50909-2014; Detailed Rules for Seismic Design of Urban Rail Transit. China Plan Publishing House: Beijing, China, 2014.
- Guo, Q.Q.; Zhang, W.F.; Wu, G.Y.; Liu, J.K.; Li, Z. Seismic analysis of grand national theatre of china. Eng. Mech. 2003, 20, 43–48. [Google Scholar]
- GB/T 50283-1999; Unified Standard for Reiability Design of Highway Engineering Structure. China Plan Publishing House: Beijing, China, 1999.
- He, Q.X.; Shen, Z.Y. Review of structural seismic analysis of travelling wave effects. Earthq. Eng. Eng. Vib. 2009, 29, 50–57. [Google Scholar]
- Pan, S.X.; Tang, M.; Song, X.M. Seismic behavior of asymmetric extradosed bridge with action of traveling wave effect. J. Cent. South Univ. (Sci. Technol.) 2020, 51, 1862–1872. [Google Scholar]



















| Number | Name | Country | Type | Span Arrangement (m) | Construction Year |
|---|---|---|---|---|---|
| 1 | Cognac Bridge | France | Continuous girder | 31.0 + 42.9 + 41.0 | 1986 |
| 2 | Bengu Bridge | Japan | Continuous rigid frame | 44.0 + 97.2 + 56.0 | 1998 |
| 3 | Altwipfergrund Bridge | Germany | Continuous girder | 84.6 + 115.0 + 80.5 | 2001 |
| 4 | Rijianmeng Bridge | Japan | Extradosed cable-stayed bridge | 91.8 + 180.0 + 91.8 | 2003 |
| 5 | Bohe Bridge | China | Continuous girder | 4 × 30.0 | 2005 |
| 6 | Ilsun Bridge | South Korea | Continuous girder | 50.0 + 10 × 60.0 + 50.0 + 2 × 50.5 | 2005 |
| 7 | Tisza Bridge | Hungary | Cable-stayed girder | 96.0 + 180.0 + 96.0 | 2012 |
| 8 | Chang Zhuang Reservoir Bridge | China | Continuous girder | 9 × 50.0 + 9 × 50.0 + 40.0 | 2015 |
| 9 | BR-06 Bridge in Northern Teheran Expressway | Iran | Continuous girder | 83.0 + 153.0 + 83.0 | 2016 |
| 10 | Zhaojun Yellow River Bridge | China | Continuous girder | 85.0 + 9 × 150.0 + 85.0 | 2022 |
| Damage State | Index Zone | Damage Index |
|---|---|---|
| ≤ | is the displacement ductility ratio of the member section when the first steel bar yields. | |
| < ≤ | is the displacement ductility ratio of the member section when the equivalent yield occurs. | |
| < ≤ | is the displacement ductility ratio of the concrete at the edge of the section when the compressive strain reaches 0.002. | |
| < ≤ | is the displacement ductility ratio when the concrete at the edge of the section reaches the ultimate compressive strain. | |
| > | is the maximum displacement ductility ratio. |
| Part | Characteristics |
|---|---|
| Superstructure | 16-span PCCGBCSW |
| Substructure | Reinforced concrete rectangular solid plate pier |
| Bearer | Friction pendulum bearing |
| Item | Value |
|---|---|
| Radius of curvature (m) | 10 |
| Design horizontal displacement (mm) | 2.5 |
| Sliding friction coefficient | 0.03 |
| Item | Value | |
|---|---|---|
| Side Support | Middle Support | |
| Elastic stiffness (kN/m) | 27,094.62 | 123,845.58 |
| Yield strength (kN) | 67.74 | 309.61 |
| Stiffness after yield (kN/m) Ratio of postyield stiffness to elastic stiffness | 225.79 | 1032.05 |
| 0.0083 | 0.0083 | |
| Bridge Component | Material | Strength Grade | Elastic Modulus (MPa) |
|---|---|---|---|
| Girder | Concrete | C55 | 3.55 × 104 |
| Pier | C40 | 3.25 × 104 | |
| Rebar | Steel | HPB300 | 2.10 × 105 |
| HRB400 | 2.00 × 105 | ||
| CSW | Q345D | 2.15 × 105 |
| Mode Number | Period (s) | Frequency (Hz) | ||
|---|---|---|---|---|
| Midas Civil | OpenSees | Midas Civil | OpenSees | |
| 1 | 1.419 | 1.48 | 0.705 | 0.676 |
| 2 | 1.153 | 1.114 | 0.868 | 0.898 |
| 3 | 1.139 | 1.168 | 0.879 | 0.856 |
| 4 | 1.014 | 1.03 | 0.986 | 0.971 |
| 5 | 0.989 | 0.946 | 1.011 | 1.057 |
| 6 | 0.989 | 0.971 | 1.011 | 1.030 |
| 7 | 0.974 | 0.936 | 1.027 | 1.068 |
| 8 | 0.964 | 0.981 | 1.038 | 1.019 |
| 9 | 0.856 | 0.801 | 1.169 | 1.248 |
| 10 | 0.856 | 0.864 | 1.169 | 1.157 |
| Random Variable | Dispersion Pattern | Statistical Parameter | ||
|---|---|---|---|---|
| Mean | Standard Deviation | Coefficient of Variation | ||
| fc (N/mm2) | Normal distribution | 56.50 | 5.32 | 0.0942 |
| fy (N/mm2) | Normal distribution | 434.91 | 26.09 | 0.0606 |
| Damage State | Damage Index | |||
|---|---|---|---|---|
| Main Pier | Transition Pier | |||
| Longitudinal | Transversal | Longitudinal | Transversal | |
| ≤ 1 | ≤ 1 | ≤ 1 | ≤ 1 | |
| 1 < ≤ 1.14 | 1 < ≤ 1.47 | 1 < ≤ 1.17 | 1 < ≤ 1.54 | |
| 1.14 < ≤ 3.36 | 1.47 < ≤ 8.64 | 1.17 < ≤ 3.53 | 1.54 < ≤ 8.36 | |
| 3.36 < ≤ 6.36 | 8.64 < ≤ 11.64 | 3.53 < ≤ 6.53 | 8.36 < ≤ 11.64 | |
| > 6.36 | > 11.64 | > 6.53 | > 11.64 | |
Disclaimer/Publisher’s Note: The statements, opinions and data contained in all publications are solely those of the individual author(s) and contributor(s) and not of MDPI and/or the editor(s). MDPI and/or the editor(s) disclaim responsibility for any injury to people or property resulting from any ideas, methods, instructions or products referred to in the content. |
© 2024 by the authors. Licensee MDPI, Basel, Switzerland. This article is an open access article distributed under the terms and conditions of the Creative Commons Attribution (CC BY) license (https://creativecommons.org/licenses/by/4.0/).
Share and Cite
Han, M.; Dong, Y.; Wang, T.; Du, M.; Gao, Q. Fragility Assessment of a Long-Unit Prestressed Concrete Composite Continuous Girder Bridge with Corrugated Steel Webs Subjected to Near-Fault Pulse-like Ground Motions Considering Spatial Variability Effects. Buildings 2024, 14, 330. https://doi.org/10.3390/buildings14020330
Han M, Dong Y, Wang T, Du M, Gao Q. Fragility Assessment of a Long-Unit Prestressed Concrete Composite Continuous Girder Bridge with Corrugated Steel Webs Subjected to Near-Fault Pulse-like Ground Motions Considering Spatial Variability Effects. Buildings. 2024; 14(2):330. https://doi.org/10.3390/buildings14020330
Chicago/Turabian StyleHan, Mingcheng, Yidian Dong, Tong Wang, Mingqu Du, and Qingfei Gao. 2024. "Fragility Assessment of a Long-Unit Prestressed Concrete Composite Continuous Girder Bridge with Corrugated Steel Webs Subjected to Near-Fault Pulse-like Ground Motions Considering Spatial Variability Effects" Buildings 14, no. 2: 330. https://doi.org/10.3390/buildings14020330
APA StyleHan, M., Dong, Y., Wang, T., Du, M., & Gao, Q. (2024). Fragility Assessment of a Long-Unit Prestressed Concrete Composite Continuous Girder Bridge with Corrugated Steel Webs Subjected to Near-Fault Pulse-like Ground Motions Considering Spatial Variability Effects. Buildings, 14(2), 330. https://doi.org/10.3390/buildings14020330

