Augmented Data-Driven Machine Learning for Digital Twin of Stud Shear Connections
Abstract
1. Introduction
2. Literature Review
3. Dataset
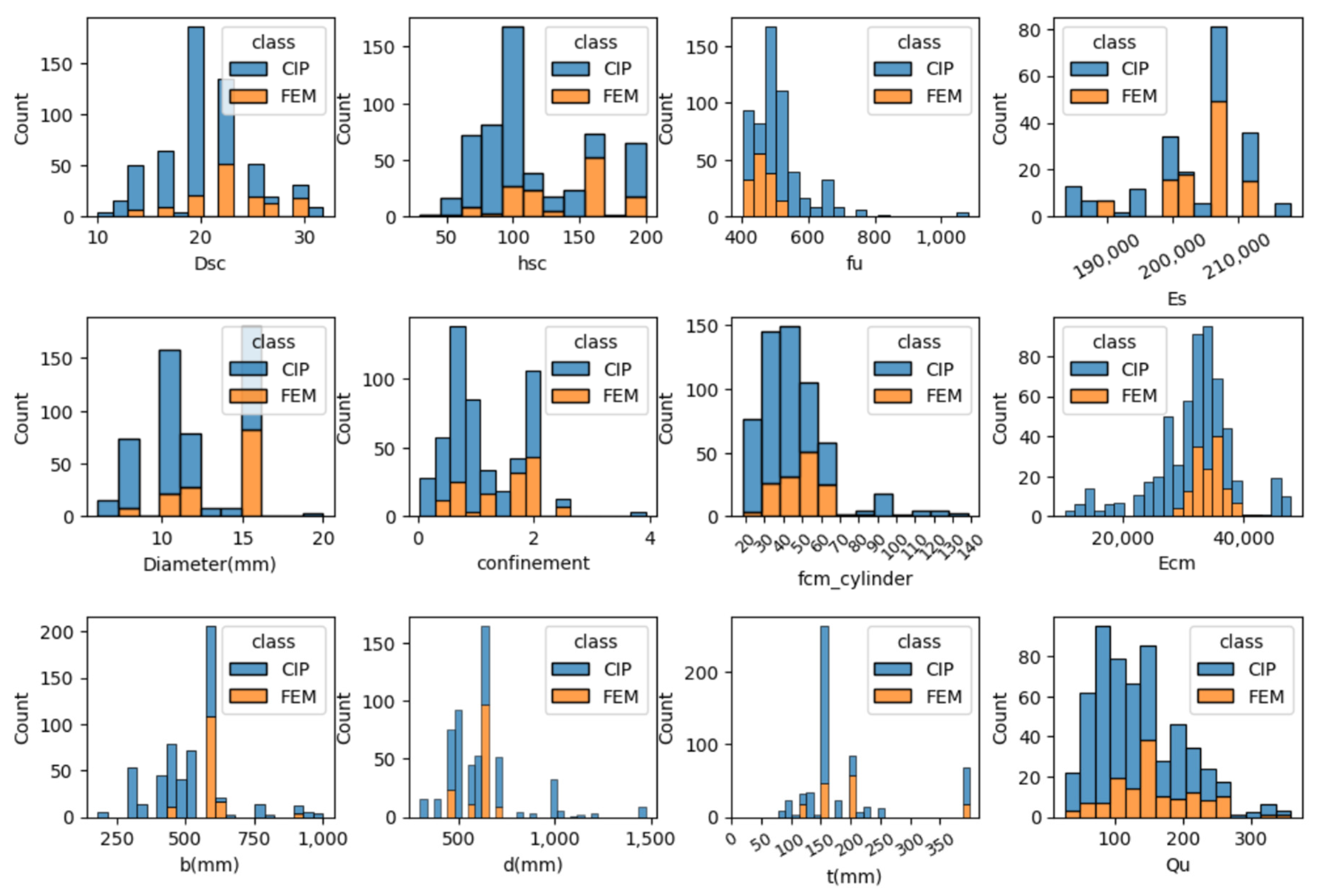
3.1. Preprocessing
| = | Mean value of concrete compressive strength; | |
| = | Characteristic value of concrete compressive strength. |
| = | Pitch of lateral confinement steel; | |
| = | Core dimension, center-to-center perimeter of lateral confinement; | |
| = | Area of lateral confinement steel. |
3.2. Dataset for Strength Prediction
3.3. Dataset for Slip Prediction
3.4. Data Split for Training and Testing
3.4.1. Data Split for Training and Testing (Ultimate Strength)
3.4.2. Data Split for Training and Testing (Ultimate Slip)
4. Machine Learning Model
4.1. AutoML–PyCaret Library
4.2. Decision Tree Model
4.3. Ensemble (Voting)
4.4. Hyperparameter (Autotuning)
4.5. Model Pipeline
5. Prediction of Strength and Deformation Capacity
5.1. Metrics for Performance Evaluation
| = | Actual value; | |
| = | Predicted value | |
| mean value of actual value; | ||
| = | Number of data. |
5.2. SHapley Additive exPlanations (SHAP) Value
| = | The Shapley value for the “I” data; | |
| = | The entire set; | |
| = | All subsets of the entire set with the i-th data removed; | |
| = | The overall contribution, including the i-th data; | |
| = | The contribution of the remaining subset without the i-th data. |
5.3. Strength Prediction with Experimental Data
5.4. Strength Prediction with Augmented Data (Experimental and Finite Element Method)
5.5. Slip Prediction with the Experimental Data
6. Digital Twin for Stud Shear Connection
6.1. Application of Machine Learning to Replace a Design Code
6.2. Digital Twin for Design of Static Composite Shear Connection
| = | Ultimate strength; | |
| = | Diameter of stud; | |
| = | Mean value of concrete compressive strength. |
7. Conclusions
- (1)
- AutoML models streamline and automate the optimization process by integrating the steps required in traditional ML models. They automatically evaluate the results, allowing for the replacement of conventional design codes. Furthermore, they serve as flexible tools for handling continuous data and model updates. In instances where a more accurate model is proposed, it can be added to or replaced existing models within the blended model system, potentially yielding superior results compared to the conventional approach.
- (2)
- The data-driven approach in ML requires a substantial amount of data, which often poses challenges. However, proposing empirical codes and design equations, particularly those encompassing parameters such as diameter and high strength based on existing experiments, requires numerous experiments, presenting practical challenges. In order to address this problem, an augmented dataset is created using FEM models to mitigate biases in the existing experimental dataset. This approach improves the dataset and fills gaps in the experimental data, addressing issues related to data model overfitting. Consequently, the performance of the model, evaluated through accuracy metrics and SHAP values, which indicate feature importance, demonstrated superior results from a mechanical perspective.
- (3)
- A comparison of the accuracy of the models for strength and slip predictions revealed that the evaluation metrics, accuracy, and importance of features in the SHAP values significantly differed based on the amount of data. Initially, a notable uncertainty in the collected data for the ultimate slip was observed, resulting in less accurate results. Therefore, substantial amounts of clear experimental data are crucial for precise predictions, particularly owing to the initial uncertainty in the collected data for extreme slips.
- (4)
- A model trained on an augmented or experiment-based dataset applies only within the range of the applied data. The predictive errors inherently increase for outlier data points outside this range. In order to address this problem, information regarding such data must be incorporated into the existing datasets. An evaluation of the proposed model revealed its feasibility for application to outlier data. In addition, the inclusion of data within this range can improve the evaluation indices and SHAP values, allowing for the application of less conservative strength reduction coefficients.
- (5)
- This study proposed a method for predicting the ultimate value through a what-if simulation using a set of input features within the dataset range. A strength reduction factor of 0.9 was suggested when the MAPE of the predicted value fell below 10%. In summary, the proposed comprehensive process involves taking the feature input from the dataset, using AutoML for the predictive model, and transforming the predicted values of the ultimate strength and slip by applying the strength reduction factor. This process forms a digital twin model that replaces the design code, expressed through a bilinear load–slip curve.
- (6)
- The number of features for strength prediction had no constraints, and incorporated the 12 features used in this study, as well as additional shape information related to the spacing and welding of connectors. This approach enables the creation of strength prediction models tailored to specific the stated purpose. Furthermore, the strength prediction model can be extended to include composite connections with precast decks, where the connections are composited using pockets.
Author Contributions
Funding
Data Availability Statement
Conflicts of Interest
References
- Viest, I.M. Investigation of stud shear connectors for composite concrete and steel T-beams. J. Am. Concr. Inst. 1956, 27, 875–891. [Google Scholar] [CrossRef]
- ANSI/AISC 360-05; Specification for Structural Steel Buildings. American Institute for Steel Construction: Chicago, IL, USA, 2005.
- Ollgaard, J.G.; Slutter, R.G.; Fisher, J.W. Shear strength of stud connectors in lightweight and normal weight concrete. AISC Eng. J. 1971, 8, 55–64. [Google Scholar]
- EN 1994-1-1; Eurocode 4: Design of Composite Steel and Concrete Structures—Part 1.1: General Rules and Rules for Buildings. European Committee for Standardization (CEN): Brussels, Belgium, 2004.
- Pallarés, L.; Hajjar, J.F. Headed steel stud anchors in composite structures, Part I: Shear. J. Constr. Steel Res. 2010, 66, 198–212. [Google Scholar] [CrossRef]
- AASHTO. AASHTO LRFD Bridge Design Codes; American Association of State Highway and Transportation Officials: Washington, DC, USA, 2001. [Google Scholar]
- GB50017–2017; Code for Design of Steel Structures. Ministry of Housing and Urban-Rural Development of China: Beijing, China, 2017. (In Chinese)
- Driscoll, G.C.; Slutter, R.G. Research on composite design at Lehigh University. In Proceedings of the National Engineering Conference; American Institute of Steel Construction: Chicago, IL, USA, 1961; pp. 18–24. [Google Scholar]
- Oehlers, D.J.; Johnson, R.P. The Strength of Stud Shear Connections in Composite Beams. Struct. Eng. 1987, 65B, 44–48. [Google Scholar] [CrossRef]
- Döinghaus, P. Zum Zusammenwirken Hochfester Baustoffe in Verbundtragern. Ph.D. Thesis, Aachen, Technische. Hochschule, Lübeck, Germany, 2002. [Google Scholar]
- Hicks, S.J. Design shear resistance of headed studs embedded in solid slabs and encasements. J. Constr. Steel Res. 2017, 139, 339–352. [Google Scholar] [CrossRef]
- Raissi, M.; Perdikaris, P.; Karniadakis, G.E. Physics-informed neural networks: A deep learning framework for solving forward and inverse problems involving nonlinear partial differential equations. J. Comput. Phys. 2019, 378, 686–707. [Google Scholar] [CrossRef]
- Ali, M. Pycaret: An Open Source, Low-Code Machine Learning Library in Python, PyCaret Version 2.3.1. 2020. Available online: https://www.pycaret.org (accessed on 15 June 2021).
- Li, A.; Cederwall, K. Push-out Tests on Studs in High Strength and Normal Strength Concrete. J. Constr. Steel Res. 1996, 36, 15–29. [Google Scholar] [CrossRef]
- Kim, J.S.; Kwark, J.; Joh, C.; Yoo, S.W.; Lee, K.C. Headed Stud Shear Connector for Thin Ultrahigh-Performance Concrete Bridge Deck. J Constr Steel Res 2015, 108, 23–30. [Google Scholar] [CrossRef]
- Wang, J.; Qi, J.; Tong, T.; Xu, Q.; Xiu, H. Static behavior of large stud shear connectors in steel-UHPC composite structures. Eng. Struct. 2019, 178, 534–542. [Google Scholar] [CrossRef]
- Oehlers, D.J.; Park, S.M. Shear connectors in composite beams with longitudinally cracked slabs. J. Struct. Eng. 1992, 118, 2004–2022. [Google Scholar] [CrossRef]
- Prakash, A.; Anandavalli, N.; Madheswaran, C.K.; Lakshmanan, N. Modified push-out tests for determining shear strength and stiffness of HSS stud connector-experimental study. Int. J. Compos. Mater. 2012, 2, 22–31. [Google Scholar] [CrossRef]
- Kumar, P.; Chaudhary, S. Effect of reinforcement detailing on performance of composite connections with headed studs. Eng. Struct. 2019, 179, 476–492. [Google Scholar] [CrossRef]
- Okada, J.; Yoda, T.; Lebet, J.P. A study of the grouped arrangements of stud connectors on shear strength behavior. Struct. Eng. /Earthq. Eng. 2006, 23, 75s–89s. [Google Scholar] [CrossRef]
- Xu, C.; Sugiura, K.; Masuya, H.; Hashimoto, K.; Fukada, S. Experimental study on the biaxial loading effect on group stud shear connectors of steel-concrete composite bridges. J. Bridge Eng. 2015, 20, 04014110. [Google Scholar] [CrossRef]
- Xue, W.; Ding, M.; Wang, H.; Luo, Z. Static behavior and theoretical model of stud shear connectors. J. Bridge Eng. 2008, 13, 623–634. [Google Scholar] [CrossRef]
- Xue, D.; Liu, Y.; Yu, Z.; He, J. Static behavior of multi-stud shear connectors for steel-concrete composite bridge. J. Constr. Steel Res. 2012, 74, 1–7. [Google Scholar] [CrossRef]
- Huang, H.; Yao, Y.; Zhang, W. A push-out test on partially encased composite column with different positions of shear studs. Eng. Struct. 2023, 289, 116343. [Google Scholar] [CrossRef]
- Badie, S.S.; Tadros, M.K.; Kakish, H.F.; Splittgerber, D.L.; Baishya, M.C. Large shear studs for composite action in steel bridge girders. J. Bridge Eng. 2012, 7, 195–203. [Google Scholar] [CrossRef]
- Shim, C.S.; Lee, P.G.; Yoon, T.Y. Static behavior of large stud shear connectors. Eng. Struct. 2004, 26, 1853–1860. [Google Scholar] [CrossRef]
- Wang, Q.; Liu, Y.; Luo, J.; Lebet, J.P. Experimental study on stud shear connectors with large diameter and high strength. In Proceedings of the 2011 International Conference on Electric Technology and Civil Engineering (ICETCE), Lushan, China, 22–24 April 2011; pp. 340–343. [Google Scholar] [CrossRef]
- Yang, F.; Liu, Y.; Li, Y. Push-out tests on large diameter and high strength welded stud connectors. Adv. Civ. Eng. 2018, 2018, 4780759. [Google Scholar] [CrossRef]
- Shim, C.S.; Lee, P.G.; Chang, S.P. Design of shear connection in composite steel and concrete bridges with precast decks. J. Constr. Steel Res. 2001, 57, 203–219. [Google Scholar] [CrossRef]
- Wang, J.; Xu, Q.; Yao, Y.; Qi, J.; Xiu, H. Static behavior of grouped large headed stud-UHPC shear connectors in composite structures. Compos. Struct. 2018, 206, 202–214. [Google Scholar] [CrossRef]
- Semendary, A.A.; Stefaniuk, H.L.; Yamout, D.; Svecova, D. Static performance of stud shear connectors and UHPC in deck-to-girder composite connection. Eng. Struct. 2022, 255, 113917. [Google Scholar] [CrossRef]
- Lam, D.; El-Lobody, E. Behavior of headed stud shear connectors in composite beam. J. Struct. Eng. 2005, 131, 96–107. [Google Scholar] [CrossRef]
- Nguyen, H.T.; Kim, S.E. Finite element modeling of push-out tests for large stud shear connectors. J. Constr. Steel Res. 2009, 65, 1909–1920. [Google Scholar] [CrossRef]
- Qi, J.; Hu, Y.; Wang, J.; Li, W. Behavior and strength of headed stud shear connectors in ultra-high performance concrete of composite bridges. Front. Struct. Civ. Eng. 2019, 13, 1138–1149. [Google Scholar] [CrossRef]
- Nick, H.; Aziminejad, A.; Hosseini, M.H.; Laknejadi, K. Damage identification in steel girder bridges using modal strain energy-based damage index method and artificial neural network. Eng. Fail. Anal. 2021, 119, 105010. [Google Scholar] [CrossRef]
- Sharma, S.; Sen, S. Bridge damage detection in presence of varying temperature using two-step neural network approach. J. Bridge Eng. 2021, 26, 04021027. [Google Scholar] [CrossRef]
- Okazaki, Y.; Okazaki, S.; Asamoto, S.; Chun, P.J. Applicability of machine learning to a crack model in concrete bridges. Comput.-Aided Civ. Infrastruct. Eng. 2020, 35, 775–792. [Google Scholar] [CrossRef]
- Lim, S.; Chi, S. Xgboost application on bridge management systems for proactive damage estimation. Adv. Eng. Inform. 2019, 41, 100922. [Google Scholar] [CrossRef]
- Ye, X.W.; Jin, T.; Chen, P.Y. Structural crack detection using deep learning–based fully convolutional networks. Adv. Struct. Eng. 2019, 22, 3412–3419. [Google Scholar] [CrossRef]
- Feng, D.C.; Liu, Z.T.; Wang, X.D.; Jiang, Z.M.; Liang, S.X. Failure mode classification and bearing capacity prediction for reinforced concrete columns based on ensemble machine learning algorithm. Adv. Eng. Inform. 2020, 45, 101126. [Google Scholar] [CrossRef]
- Sadeghi, F.; Yu, Y.; Zhu, X.; Li, J. Damage identification of steel-concrete composite beams based on modal strain energy changes through general regression neural network. Eng. Struct. 2021, 244, 112824. [Google Scholar] [CrossRef]
- Dung, C.V.; Sekiya, H.; Hirano, S.; Okatani, T.; Miki, C. A vision-based method for crack detection in gusset plate welded joints of steel bridges using deep convolutional neural networks. Autom. Constr. 2019, 102, 217–229. [Google Scholar] [CrossRef]
- Ren, Y.; Huang, J.; Hong, Z.; Lu, W.; Yin, J.; Zou, L.; Shen, X. Image-based concrete crack detection in tunnels using deep fully convolutional networks. Constr. Build. Mater. 2020, 234, 117367. [Google Scholar] [CrossRef]
- Paral, A.; Roy, D.K.S.; Samanta, A.K. A deep learning-based approach for condition assessment of semi-rigid joint of steel frame. J. Build. Eng. 2021, 34, 101946. [Google Scholar] [CrossRef]
- Gao, X.; Lin, C. Prediction model of the failure mode of beam-column joints using machine learning methods. Eng. Fail. Anal. 2021, 120, 105072. [Google Scholar] [CrossRef]
- Degtyarev, V.V.; Naser, M.Z. Boosting machines for predicting shear strength of CFS channels with staggered web perforations. Structures 2021, 34, 3391–3403. [Google Scholar] [CrossRef]
- Rahman, J.; Ahmed, K.S.; Khan, N.I.; Islam, K.; Mangalathu, S. Data-driven shear strength prediction of steel fiber reinforced concrete beams using machine learning approach. Eng. Struct. 2021, 233, 111743. [Google Scholar] [CrossRef]
- Mangalathu, S.; Shin, H.; Choi, E.; Jeon, J.S. Explainable machine learning models for punching shear strength estimation of flat slabs without transverse reinforcement. J. Build. Eng. 2021, 39, 102300. [Google Scholar] [CrossRef]
- Xu, J.G.; Chen, S.Z.; Xu, W.J.; Shen, Z.S. Concrete-to-concrete interface shear strength prediction based on explainable extreme gradient boosting approach. Constr. Build. Mater. 2021, 308, 125088. [Google Scholar] [CrossRef]
- Sarothi, S.Z.; Ahmed, K.S.; Khan, N.I.; Ahmed, A.; Nehdi, M.L. Predicting bearing capacity of double shear bolted connections using machine learning. Eng. Struct. 2022, 251, 113497. [Google Scholar] [CrossRef]
- Chuang, P.H.; Goh, A.T.; Wu, X. Modeling the capacity of pin-ended slender reinforced concrete columns using neural networks. J. Struct. Eng. 1998, 124, 830–838. [Google Scholar] [CrossRef]
- Xu, Y.; Zheng, B.; Zhang, M. Capacity prediction of cold-formed stainless steel tubular columns using machine learning methods. J. Constr. Steel Res. 2021, 182, 106682. [Google Scholar] [CrossRef]
- El Ouni, M.H.; Raza, A. Data-driven analysis of concrete-filled steel-tube CFRP-confined NSC columns. Mech. Adv. Mater. Struct. 2022, 29, 5667–5688. [Google Scholar] [CrossRef]
- Bai, C.; Nguyen, H.; Asteris, P.G.; Nguyen-Thoi, T.; Zhou, J. A refreshing view of soft computing models for predicting the deflection of reinforced concrete beams. Appl. Soft Comput. 2020, 97, 106831. [Google Scholar] [CrossRef]
- Huang, H.; Xue, C.; Zhang, W.; Guo, M. Torsion design of CFRP-CFST columns using a data-driven optimization approach. Eng. Struct. 2022, 251, 113479. [Google Scholar] [CrossRef]
- Abambres, M.; He, J. Shear Capacity of Headed Studs in Steel-Concrete Structures: Analytical Prediction via Soft Computing. 2019. Available online: https://hal.archives-ouvertes.fr/hal-02074833 (accessed on 16 December 2023).
- Setvati, M.R.; Hicks, S.J. Machine learning models for predicting resistance of headed studs embedded in concrete. Eng. Struct. 2022, 254, 113803. [Google Scholar] [CrossRef]
- Degtyarev, V.V.; Hicks, S.J. Reliability-based design shear resistance of headed studs in solid slabs predicted by machine learning models. Archit. Struct. Constr. 2022, 3, 447–473. [Google Scholar] [CrossRef]
- Avci-Karatas, C. Application of machine learning in prediction of shear capacity of headed steel studs in steel–concrete composite structures. Int. J. Steel Struct. 2022, 22, 539–556. [Google Scholar] [CrossRef]
- Zhu, J.; Farouk, A.I.B. Development of hybrid models for shear resistance prediction of grouped stud connectors in concrete using improved metaheuristic optimization techniques. Structures 2023, 50, 286–302. [Google Scholar] [CrossRef]
- Zhang, F.; Wang, C.; Zou, X.; Wei, Y.; Chen, D.; Wang, Q.; Wang, L. Prediction of the Shear Resistance of Headed Studs Embedded in Precast Steel–Concrete Structures Based on an Interpretable Machine Learning Method. Buildings 2023, 13, 496. [Google Scholar] [CrossRef]
- Yosri, A.M.; Farouk, A.I.B.; Haruna, S.I.; Farouk Deifalla, A.; Shaaban, W.M. Sensitivity and robustness analysis of adaptive neuro-fuzzy inference system (ANFIS) for shear strength prediction of stud connectors in concrete. Case Stud. Constr. Mater. 2023, 18, e02096. [Google Scholar] [CrossRef]
- Elwell, D.J.; Fu, G. Compression Testing of Concrete: Cylinders vs. Cubes (No. FHWA/NY/SR-95/119). 1995. Available online: https://trid.trb.org/view/496307 (accessed on 16 December 2023).
- BS 8110-2; Structural Use of Concrete. British Standards Institution: London, UK, 1985.
- EN 1992-1-1; Eurocode 2: Design of Concrete Structures—Part 1-1: General Rules and Rules for Buildings. British Standard Institution: London, UK, 2004.
- Mander, J.B.; Priestley, M.J.; Park, R. Theoretical stress-strain model for confined concrete. J. Struct. Eng. 1988, 114, 1804–1826. [Google Scholar] [CrossRef]
- ASTM A108; Standard Specification for Steel Bar, Carbon and Alloy, Cold-Finished. ASTM Intenational: West Conshohocken, PA, USA, 2018.
- Oehlers, D.J. Deterioration in strength of stud connectors in composite bridge beams. J. Struct. Eng. 1990, 116, 3417–3431. [Google Scholar] [CrossRef]
- Lee, P.G.; Shim, C.S.; Chang, S.P. Static and fatigue behavior of large stud shear connectors for steel–concrete composite bridges. J. Constr. Steel Res. 2005, 61, 1270–1285. [Google Scholar] [CrossRef]
- Shim, C.S.; Kim, D.W. Structural performance of composite joints using bent studs. Int. J. Steel Struct. 2010, 10, 1–13. [Google Scholar] [CrossRef]
- Xu, C.; Sugiura, K.; Wu, C.; Su, Q. Parametrical static analysis on group studs with typical push-out tests. J. Constr. Steel Res. 2012, 72, 84–96. [Google Scholar] [CrossRef]
- Bonilla Rocha, J.D.; Arrizabalaga, E.M.; Larrúa Quevedo, R.; Recarey Morfa, C.A. Behavior and strength of welded stud shear connectors in composite beam. Rev. Fac. Ing. Univ. Antioq. 2012, 63, 93–104. [Google Scholar]
- Gascon, B.; Massicotte, F.; Lagier, A. Behaviour of headed shear stud connectors in composite beams with uhpfrc connection. In Proceedings of the AFGCACI-fib-RILEM International Symposium on Ultra-High Performance Fibre-Reinforced Concrete (Montpellier), Montpellier, France, 2–4 October 2017. [Google Scholar]
- Dallam, L.N. Push-Out Tests of Stud and Channel Shear Connectors in Normal-Weight and Lightweight Concrete Slabs; University of Missouri: Columbia, MO, USA, 1968. [Google Scholar]
- Chapman, J.C.; Balakrishnan, S. Experiments on composite beams. Struct. Eng. 1964, 42, 369–383. [Google Scholar]
- Shim, C.S.; Jeon, S.M.; Kim, D.W. Evaluation of Static Strength of Group Stud Shear Connection in Precast Concrete Deck Bridges. J. Korean Soc. Steel Constr. 2008, 20, 333–345. (In Korean) [Google Scholar]
- Zhang, J.; Hu, X.; Fu, W.; Du, H.; Sun, Q.; Zhang, Q. Experimental and theoretical study on longitudinal shear behavior of steel-concrete composite beams. J. Constr. Steel Res. 2020, 171, 106144. [Google Scholar] [CrossRef]
- Luo, Y.; Hoki, K.; Hayashi, K.; Nakashima, M. Behavior and strength of headed stud–SFRCC shear connection. I: Experimental study. J. Struct. Eng. 2016, 142, 04015112. [Google Scholar] [CrossRef]
- Chen, J.; Wang, S.; Zhang, X.; Xu, H.; Xu, F.; Liu, Y.; Yang, C.; Xia, Q.; Wang, H.; Ding, F.; et al. Investigations on the shearing performance of composite beams with group studs. Adv. Struct. Eng. 2023, 26, 1783–1802. [Google Scholar] [CrossRef]
- Saleh, S.M.; Majeed, F.H. Shear strength of headed stud connectors in self-compacting concrete with recycled coarse aggregate. Buildings 2022, 12, 505. [Google Scholar] [CrossRef]
- Han, Q.; Wang, Y.; Xu, J.; Xing, Y. Static behavior of stud shear connectors in elastic concrete–steel composite beams. J. Constr. Steel Res. 2015, 113, 115–126. [Google Scholar] [CrossRef]
- Peng, K.; Liu, L.; Wu, F.; Wang, R.; Lei, S.; Zhang, X. Experimental and numerical analyses of stud shear connectors in steel–SFRCC composite beams. Materials 2022, 15, 4665. [Google Scholar] [CrossRef]
- Huo, J.; Wang, H.; Zhu, Z.; Liu, Y.; Zhong, Q. Experimental study on impact behavior of stud shear connectors between concrete slab and steel beam. J. Struct. Eng. 2018, 144, 04017203. [Google Scholar] [CrossRef]
- Hu, Y.; Yin, H.; Ding, X.; Li, S.; Wang, J.Q. Shear behavior of large stud shear connectors embedded in ultra-high-performance concrete. Adv. Struct. Eng. 2020, 23, 3401–3414. [Google Scholar] [CrossRef]
- Zhan, Y.; Yin, C.; Liu, F.; Song, R.; Deng, K.; Sun, J. Pushout tests on headed studs and PBL shear connectors considering external pressure. J. Bridge Eng. 2020, 25, 04019125. [Google Scholar] [CrossRef]
- Dönmez, A.A. Size effect on the shear capacity of headed studs. Adv. Struct. Eng. 2021, 24, 815–826. [Google Scholar] [CrossRef]
- Valente, I.B.; Cruz, P.J. Experimental analysis of shear connection between steel and lightweight concrete. J. Constr. Steel Res. 2009, 65, 1954–1963. [Google Scholar] [CrossRef]
- Zhang, S.; Jia, Y.; Ding, Y. Study on the Flexural Behavior of Steel-Concrete Composite Beams Based on the Shear Performance of Headed Stud Connectors. Buildings 2022, 12, 961. [Google Scholar] [CrossRef]
- Kisała, D. A finite element analysis of steel plate–concrete composite beams including the influence of stiffness of the connectors on delefction. Czas. Tech. 2016, 2016, 69–80. [Google Scholar]
- Wu, F.; Tang, W.; Xue, C.; Sun, G.; Feng, Y.; Zhang, H. Experimental investigation on the static performance of stud connectors in steel-HSFRC composite beams. Materials 2021, 14, 2744. [Google Scholar] [CrossRef] [PubMed]
- He, Y.-L.; Guo, S.-J.; Wang, L.-C.; Yang, Y.; Xiang, Y.-Q. Experimental and numerical analysis of grouped stud shear connectors embedded in HFRC. Constr. Build. Mater. 2020, 242, 118197. [Google Scholar] [CrossRef]
- Wang, Y.H.; Yu, J.; Liu, J.P.; Chen, Y.F. Shear behavior of shear stud groups in precast concrete decks. Eng. Struct. 2019, 187, 73–84. [Google Scholar] [CrossRef]
- Qi, J.; Wang, J.; Li, M.; Chen, L. Shear capacity of stud shear connectors with initial damage: Experiment, FEM model and theoretical formulation. Steel Compos. Struct 2017, 25, 79–92. [Google Scholar] [CrossRef]
- Oehlers, D.J. Uni-Directional Fatigue Tests on Stud Shear Connectors. 1992. Available online: https://trid.trb.org/view/1200366 (accessed on 16 December 2023).
- Qian, S.; Li, V.C. Influence of concrete material ductility on shear response of stud connections. ACI Mater. J. 2006, 103, 60. [Google Scholar]
- Abbass, M.M.; Adi, A.S.; Karkare, B.S. Performance evaluation of shear stud connectors in composite beams with steel plate and RCC slab. Int. J. Earth Sci. Eng. 2011, 4, 586–591. [Google Scholar]
- Liu, Y.; Alkhatib, A. Experimental study of static behaviour of stud shear connectors. Can. J. Civ. Eng. 2013, 40, 909–916. [Google Scholar] [CrossRef]
- Lin, Z.; Liu, Y.; He, J. Behavior of stud connectors under combined shear and tension loads. Eng. Struct. 2014, 81, 362–376. [Google Scholar] [CrossRef]
- Nguyen, G.B.; Machacek, J. Effect of local small diameter stud connectors on behavior of partially encased composite beams. Steel Compos. Struct 2016, 20, 251–266. [Google Scholar] [CrossRef]
- Xu, Q.; Sebastian, W.; Lu, K.; Yao, Y.; Wang, J. Shear behaviour and calculation model for stud-UHPC connections: Finite element and theoretical analyses. Eng. Struct. 2022, 254, 113838. [Google Scholar] [CrossRef]
- Xu, C.; Sugiura, K. FEM analysis on failure development of group studs shear connector under effects of concrete strength and stud dimension. Eng. Fail. Anal. 2013, 35, 343–354. [Google Scholar] [CrossRef]
- Zhan, Y.; Lu, S.; Zheng, Y.; Jiang, H.; Xiong, S. Theoretical study on the influence of welding collar on the shear behavior of stud shear connectors. KSCE J. Civ. Eng. 2021, 25, 1353–1368. [Google Scholar] [CrossRef]
- Wang, Q.; Liu, Y.Q.; Lebet, J.P. Nonlinear Finite-Element Analysis of the Shear Behaviour of Stud Connectors. In Proceedings of the Eleventh International Conference on Computational Structure Technology, Dubrovnik, Croatia, 4–7 September 2012. [Google Scholar]
- Mia, M.M.; Bhowmick, A.K. Static Strength of Headed Shear Stud Connectors Using Finite Element Analysis. In Proceedings of the 6th International Conference on Engineering Mechanics and Materials, Vancouver, BC, Canada, 31 May–3 June 2017. [Google Scholar]
- Baldwin, J.W. Composite Bridge Stringers-Final Report (No. 63-2). 1970. Available online: https://trid.trb.org/view/102492 (accessed on 16 December 2023).
- Shim, C.S.; Lee, P.G.; Kim, D.W.; Chung, C.H. Effects of group arrangement on the ultimate strength of stud shear connection. In Composite Construction in Steel and Concrete VI; ASCE: Reston, VA, USA, 2011; pp. 92–101. [Google Scholar] [CrossRef]
- Zhang, J.; Hu, X.; Wu, J.; Lim, Y.M.; Gong, S.; Liu, R. Shear behavior of headed stud connectors in steel-MPC based high strength concrete composite beams. Eng. Struct. 2021, 249, 113302. [Google Scholar] [CrossRef]
- Liu, Y.; Zhang, Q.; Bao, Y.; Bu, Y. Static and fatigue push-out tests of short headed shear studs embedded in Engineered Cementitious Composites (ECC). Eng. Struct. 2019, 182, 29–38. [Google Scholar] [CrossRef]
- Sun, Q.; Nie, X.; Denavit, M.D.; Fan, J.; Liu, W. Monotonic and cyclic behavior of headed steel stud anchors welded through profiled steel deck. J. Constr. Steel Res. 2019, 157, 121–131. [Google Scholar] [CrossRef]
- Cui, C.; Song, L.; Liu, R.; Liu, H.; Yu, Z.; Jiang, L. Shear behavior of stud connectors in steel bridge deck and ballastless track structural systems of high-speed railways. Constr. Build. Mater. 2022, 341, 127744. [Google Scholar] [CrossRef]
- Prokhorenkova, L.; Gusev, G.; Vorobev, A.; Dorogush, A.V.; Gulin, A. Catboost: Unbiased boosting with categorical features. In Proceedings of the 32nd International Conference on Neural Information Processing Systems, Montréal, QC, Canada, 3–8 December 2018; Curran Associates Inc.: Red Hook, NY, USA, 2018; pp. 6639–6649. [Google Scholar]
- Chen, T.; Guestrin, C. Xgboost: A scalable tree boosting system. In Proceedings of the 22nd ACM Sigkdd International Conference on Knowledge Discovery and Data Mining, New York, NY, USA, 13–17 August 2016; pp. 785–794. [Google Scholar] [CrossRef]
- Breiman, L. Random forests. Mach. Learn. 2001, 45, 5–32. [Google Scholar] [CrossRef]
- Ke, G.L.; Meng, Q.; Finley, T.; Wang, T.F.; Chen, W.; Ma, W.D.; Ye, Q.W.; Liu, T.Y. LightGBM: A highly efficient gradient boosting decision tree. In Proceedings of the 31st Annual Conference on Neural Information Processing Systems, Long Beach, CA, USA, 4–9 December 2017; pp. 3146–3154. [Google Scholar]
- Geurts, P.; Ernst, D.; Wehenkel, L. Extremely randomized trees. Mach. Learn. 2006, 63, 3–42. [Google Scholar] [CrossRef]
- Lundberg, S.M.; Lee, S.I. A unified approach to interpreting model predictions. In Advances in Neural Information Processing Systems; MIT Press: Cambridge, MA, USA, 2017; pp. 4765–4774. [Google Scholar]
- Oehlers, D.J.; Bradford, M.A. Elementary Behaviour of Composite Steel and Concrete Structural Members; Elsevier: Amsterdam, The Netherlands, 1999. [Google Scholar]






















| Eurocode 4 [4] | AASHTO LRFD [6] | GB50017 [7] | |
|---|---|---|---|
| Equation | |||
| Partial factor | (, | = 0.85 | - |
| Range of design parameter(s) |
| Author | Equation | Author | Equation |
|---|---|---|---|
| Viest [1] | (units: pounds, inches) | Ollgaard et al. [3] | (units: kips, inches) |
| Driscoll and Slutter [8] | (units: kips, inches) | Oehlers et al. [9] | (units: MPa, mm) |
| Döinghaus [10] | (units: MPa, mm) | Hicks [11] | (units: kips, inches) |
| Research | Number of Data and Features | ML Models |
|---|---|---|
| Abambres et al. (2019) [56] |
|
|
| Setvati et al. (2022) [57] |
|
|
| Degtyrev et al. (2022) [58] |
|
|
| Avci-karata et al. (2022) [59] |
|
|
| Zhu et al. (2023) [60] |
|
|
| Zhang et al. (2023) [61] |
|
|
| Yosri et al. (2023) [62] |
|
|
| Hyperparameter | Catboost | XGBoost | LightGBM | Random Forest | ExtraTrees |
|---|---|---|---|---|---|
| Learning_rate | 0.034/0.036/0.01 | 0.15/0.3/0.01 | 0.1 | ||
| subsample | 0.8 | 0.2/1/0.9 | 1.0 | ||
| n_estimators | 140/100/110 | 100/230/100 | 100/100/210 | 100/100/210 | |
| L2_leaf_reg | 3 | ||||
| Depth | |||||
| Border_count | 254 | ||||
| Objective | Reg_squarederror | Regression | |||
| Colsample_bynode | 1 | ||||
| Eval_metric | RMSE | RMSE | |||
| iterations | 1000 | ||||
| Gamma | 0 | ||||
| Max_features | 1.0 | 1.0 | |||
| Max_depth | 5/6/3 | None/None/7 | None/None/7 | ||
| Min_child_weight | 2/1/4 | 0.001 | |||
| Min_child_samples | 20/26/20 | ||||
| Min_sample_leaf | 1/1/2 | 1/1/2 | |||
| Min_samples_split | 2/2/2 | 2/2/2 | |||
| Reg_alpha | 0.2/0/0.0005 | 0.0/0.005/0.0 | |||
| Reg_lambda | 0.001/1/0.15 | 0.0/4/0.0 | |||
| Scale_pos_weight | 1.6/1/26.6 | ||||
| Num_leaves | 31 | ||||
| Boosting type | gbdt | ||||
| boostrap | True | False |
| Catboost | XGBoost | Random Forest | LightGBM | ExtraTrees | Voting | ||
|---|---|---|---|---|---|---|---|
| Prediction for ultimate strength (Experimental data) | MAE | 4.6739 | 6.6095 | 5.8284 | 7.9378 | 2.8303 | 5.117 |
| MSE | 49.0446 | 84.1003 | 77.5727 | 145.6685 | 36.8210 | 58.0090 | |
| RMSE | 7.0032 | 9.1706 | 8.8075 | 12.0693 | 6.0680 | 7.6164 | |
| R2 | 0.9875 | 0.9785 | 0.9802 | 0.9628 | 0.9906 | 0.9852 | |
| RMSLE | 0.0655 | 0.0860 | 0.0845 | 0.1004 | 0.0562 | 0.0707 | |
| MAPE | 0.0426 | 0.0612 | 0.0540 | 0.0961 | 0.0251 | 0.0458 | |
| Prediction for ultimate strength (Experimental data) | MAE | 4.5702 | 2.8028 | 5.2054 | 6.0641 | 2.4839 | 4.1127 |
| MSE | 43.2715 | 29.4825 | 66.3492 | 83.3793 | 29.0910 | 41.4577 | |
| RMSE | 6.5781 | 5.4298 | 8.1455 | 9.1392 | 5.3936 | 6.4388 | |
| R2 | 0.9892 | 0.9926 | 0.9834 | 0.9791 | 0.9927 | 0.9890 | |
| RMSLE | 0.0597 | 0.0477 | 0.0739 | 0.0840 | 0.474 | 0.0569 | |
| MAPE | 0.0400 | 0.0240 | 0.0460 | 0.0528 | 0.0213 | 0.0538 | |
| Prediction for ultimate slip (Experimental data) | MAE | 1.1446 | 1.3073 | 1.0479 | 1.0805 | 1.2649 | 1.3768 |
| MSE | 2.6340 | 3.2825 | 2.6683 | 2.5315 | 3.4954 | 3.2119 | |
| RMSE | 1.6229 | 1.8118 | 1.6335 | 1.5911 | 1.8696 | 1.7922 | |
| R2 | 0.5782 | 0.4744 | 0.5727 | 0.5947 | 0.4403 | 0.5838 | |
| RMSLE | 0.1443 | 0.1638 | 0.1432 | 0.1437 | 0.1673 | 0.1675 | |
| MAPE | 0.1307 | 0.1503 | 0.1186 | 0.1262 | 0.1448 | 0.1573 |
Disclaimer/Publisher’s Note: The statements, opinions and data contained in all publications are solely those of the individual author(s) and contributor(s) and not of MDPI and/or the editor(s). MDPI and/or the editor(s) disclaim responsibility for any injury to people or property resulting from any ideas, methods, instructions or products referred to in the content. |
© 2024 by the authors. Licensee MDPI, Basel, Switzerland. This article is an open access article distributed under the terms and conditions of the Creative Commons Attribution (CC BY) license (https://creativecommons.org/licenses/by/4.0/).
Share and Cite
Roh, G.-T.; Vu, N.; Jeon, C.-H.; Shim, C.-S. Augmented Data-Driven Machine Learning for Digital Twin of Stud Shear Connections. Buildings 2024, 14, 328. https://doi.org/10.3390/buildings14020328
Roh G-T, Vu N, Jeon C-H, Shim C-S. Augmented Data-Driven Machine Learning for Digital Twin of Stud Shear Connections. Buildings. 2024; 14(2):328. https://doi.org/10.3390/buildings14020328
Chicago/Turabian StyleRoh, Gi-Tae, Nhung Vu, Chi-Ho Jeon, and Chang-Su Shim. 2024. "Augmented Data-Driven Machine Learning for Digital Twin of Stud Shear Connections" Buildings 14, no. 2: 328. https://doi.org/10.3390/buildings14020328
APA StyleRoh, G.-T., Vu, N., Jeon, C.-H., & Shim, C.-S. (2024). Augmented Data-Driven Machine Learning for Digital Twin of Stud Shear Connections. Buildings, 14(2), 328. https://doi.org/10.3390/buildings14020328

