Experimental and Numerical Investigation on the Ultimate Bearing Capacity of Axially Compressed Steel Tube Columns with Local Corrosion
Abstract
1. Introduction
2. Test Overview
2.1. Geometric Characterization of Local Corrosion Morphology
2.2. Specimen Preparation
2.3. Accelerated Corrosion Test
2.4. Axis Compression Test
3. Test Results and Analysis
3.1. Test Phenomena
3.2. Load–Displacement Relationship Curve of Local Corrosion Steel Tube Columns
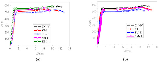
3.2.1. A Single Local Corrosion Zone
- (1)
- Different local corrosion locations
- (2)
- Different local corrosion shapes
- (3)
- Different local corrosion zones
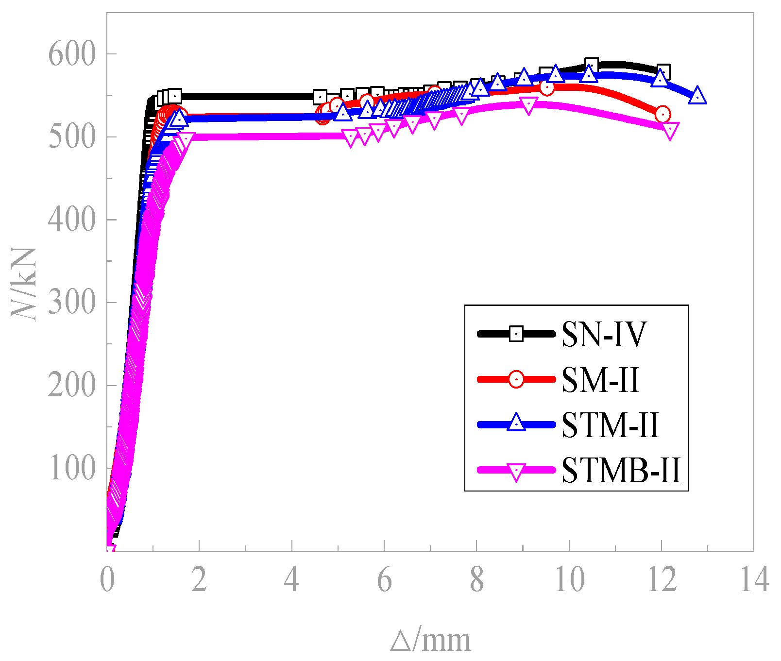
3.2.2. Multiple Local Corrosion Zones
4. Finite Element Calculation of Local Corrosion Hollow Steel Tubes
4.1. Finite Element Model
4.2. Verification of Finite Element Mode
4.3. Comparison of Failure Patterns
5. Parametric Analysis
5.1. Containing a Single Corrosion Zone
5.1.1. Influence of
5.1.2. Influence of
5.1.3. Influence of
5.2. Containing Multiple Corrosion Zones
5.2.1. Number of Local Corrosion Zones
5.2.2. Spacing of Different Local Corrosion Zones
6. Formula to Calculate the Axial Compression Load-Bearing Capacity for Steel Tube Columns Taking into Account Local Corrosion Effects
6.1. Locally Corroded Steel Tube Column Load-Bearing Capacity Calculation Formula
6.2. Theoretical Predictions of Load-Bearing Capacity Compared with Values from Numerical Tests
7. Conclusions
- (1)
- The key factor for the reduction in the bearing capacity of steel columns caused by corrosion is the decrease in the effective cross-sectional zone of the corroded zone of the steel columns.
- (2)
- Single or multiple equally sized zones of locally corroded zones distributed at different heights along the axial direction of the steel tube can decrease the ultimate load-bearing capacity of the steel tube column. However, the number, location, and distribution of local corrosion zones of the same size have a similar degree of influence on the bearing capacity of the steel tube column, with no significant difference. The number of local corrosion pits with equal corrosion size and their distribution has an effect on steel tube column bearing capacity, but to a small extent.
- (3)
- The main factors affecting the bearing capacity of locally corroded steel tube columns are the radial corrosion ratio and the circumferential corrosion ratio. Under the same corrosion ratio, as the radial corrosion ratio and circumferential corrosion ratio of the local corrosion zone increase, the bearing capacity of the steel tube column decreases linearly. The main factor affecting the local deformation of the longitudinal boundary of the locally corroded zone is the axial corrosion ratio, which has little effect on the overall mechanical properties and axial compressive load-bearing capacity of the specimen. The degree of influence of each factor on the axial compression bearing capacity of members is that the radial corrosion ratio is greater than the circumferential corrosion ratio, and far greater than the axial corrosion ratio.
- (4)
- Taking the circumferential section loss ratio of the steel tube column in the corroded zone as the dependent variable, a practical formula to calculate the bearing capacity of steel tube columns with local corrosion is proposed. The formula provides an accurate method for determining the axial compression load-bearing capacity of locally corroded steel tube columns, and provides a solid theoretical foundation and practice method for evaluating the load-bearing capacity of these structures in real engineering applications.
Author Contributions
Funding
Data Availability Statement
Conflicts of Interest
References
- Wei, Y.; Wu, Z.; Wang, X.; Jiang, S. Mechanical behavior of locally corroded circular steel tube under compression. Structures 2021, 33, 776–791. [Google Scholar] [CrossRef]
- Gao, F.; Guo, X.; Liang, H.; Chen, W.; Zhu, H.; Zhao, X. Behaviour of SHS brace-H-shaped chord T-joints under cyclic in-plane bending. Thin-Walled Struct. 2019, 134, 1–17. [Google Scholar] [CrossRef]
- Nie, G.; Zhang, C.X.; Zhi, X.D.; Dai, J.W. Damage quantification, damage limit state criteria and vulnerability analysis for single-layer reticulated shell. Thin-Walled Struct. 2017, 120, 378–385. [Google Scholar] [CrossRef]
- Zhang, Z.X.; Xu, S.H.; Wang, Y.D.; Nie, B.; Wei, T. Local and post-buckling behavior of corroded axially-compressed steel columns. Thin-Walled Struct. 2020, 157, 107108. [Google Scholar] [CrossRef]
- Han, L.H.; Hou, C.C.; Wang, Q.L. Behavior of circular CFST stub columns under sustained load and chloride corrosion. J. Constr. Steel Res. 2014, 103, 23–36. [Google Scholar] [CrossRef]
- Manco, M.R.; Vaz, M.A.; Cyrino, J.C.R.; Ramos, N.M.; Liang, D.A. Experimental and numerical study of uniaxially compressed stiffened plates with different plating thickness. Thin-Walled Struct. 2019, 145, 106422. [Google Scholar] [CrossRef]
- Jia, C.; Shao, Y.S.; Guo, L.H.; Liu, Y.Y. Incipient corrosion behavior and mechanical properties of low-alloy steel in simulated industrial atmosphere. Constr. Build. Mater. 2018, 187, 1242–1252. [Google Scholar] [CrossRef]
- Shi, X.H.; Zhang, J.; Guedes Soares, C. Numerical assessment of experiments on the ultimate strength of stiffened panels with pitting corrosion under compression. Thin-Walled Struct. 2018, 133, 52–70. [Google Scholar] [CrossRef]
- Wei, Y.; Wu, Z.Q.; Jiang, S.F. Deterioration law of mechanical properties of corroded steels. Steel Constr. 2018, 33, 117–122. [Google Scholar]
- Tohidi, S.; Sharifi, Y. Load-carrying capacity of locally corroded steel plate girder ends using artificial neural network. Thin-Walled Struct. 2016, 100, 48–61. [Google Scholar] [CrossRef]
- Nassiraei, H. Probabilistic Analysis of Strength in Retrofitted X-Joints under Tensile Loading and Fire Conditions. Buildings 2024, 14, 2105. [Google Scholar] [CrossRef]
- Chen, M.C.; Luo, S.C.; Huang, H.; Fang, W.; Xu, K.C.; Qian, W.L. Experimental studies on axial compressive bearing capacity of circular CFST stub columns with localized corrosion. J. Cent. South Univ. Sci. Technol. 2024, 55, 317–329. (In Chinese) [Google Scholar]
- Yuan, F.; Huang, H.; Chen, M.C. Effect of stiffeners on the eccentric compression behaviour of square concrete-filled steel tubular columns. Thin-Walled Struct. 2019, 135, 196–209. [Google Scholar] [CrossRef]
- Chen, M.C.; Fang, W.; Huang, H. Static behavior of corroded concrete-filled steel tubular members by simulating acid rain solution. Engine Mechia 2020, 37, 34–43. (In Chinese) [Google Scholar]
- Yuan, F.; Chen, M.C.; Huang, H.; Xie, L.; Wang, C. Circular concrete filled steel tubular (CFST) columns under cyclic load and acid rain attack: Test simulation. Thin-Walled Struct. 2018, 122, 90–101. [Google Scholar] [CrossRef]
- Hua, Y.X.; Han, L.H.; Wang, Q.L.; Hou, C. Behaviour of square CFST beam-columns under combined sustained load and corrosion: Experiments. Thin-Walled Struct. 2019, 136, 353–366. [Google Scholar] [CrossRef]
- Hua, Y.X.; Han, L.H.; Hou, C. Behaviour of square CFST beam-columns under combined sustained load and corrosion: FEA modelling and analysis. J. Constr. Steel Res. 2019, 157, 245–259. [Google Scholar] [CrossRef]
- Han, L.H.; Hua, Y.X.; Hou, C.; Wang, Q.L. Circular Concrete-Filled Steel Tubes Subjected to Coupled Tension and Chloride Corrosion. J. Struct. Eng. 2017, 143, 13. [Google Scholar] [CrossRef]
- Han, X.H.; Wei, C.Y.; Hu, Q.; Liu, C.Y.; Leng, X.Y. Stability analysis and design methods of steel pipe piles under non-uniform corrosion. Structures 2024, 65, 106714. [Google Scholar] [CrossRef]
- Wu, Z.Q.; Wei, Y.; Wang, X.T.; Huang, C.; Jiang, S.F. Mechanical Behavior of Circular Steel Tubular Beam-Columns Corroded Uniformly in Atmospheric Environment. Appl. Sci. 2020, 10, 1998. [Google Scholar] [CrossRef]
- Zhang, W.P.; Chen, S.Y.; Zhu, Y.; Liu, S.P.; Chen, W.; Chen, Y. Experimental study on the axial compression behavior of circular steel tube short columns under coastal environmental corrosion. Thin-Walled Struct. 2024, 200, 111929. [Google Scholar] [CrossRef]
- Jiang, Y.J.; Song, B.; Hu, J.Y.; Liang, H.J.; Rao, S. Time-dependent reliability of corroded circular steel tube structures: Characterization of statistical models for material properties. Structures 2021, 33, 792–803. [Google Scholar] [CrossRef]
- Zhao, Z.W.; Zhou, S.; Yang, Y.; Zhao, B.Z.; Gao, T.; Yu, D. Predictions of loading capacity and stiffness of corroded circular steel tubes based on artificial neural networks. Mech. Adv. Mater. Struct. 2023, 30, 4040–4051. [Google Scholar] [CrossRef]
- Liu, W.Y.; Shi, T.H.; Li, S.; Lu, Q.; Zhang, Z.; Feng, S.B.; Ming, C.Z.; Wu, K. Failure analysis of a fracture tubing used in the formate annulus protection fluid. Eng. Fail. Anal. 2019, 95, 248–262. [Google Scholar] [CrossRef]
- Hasegawa, K.; Li, Y.S.; Kim, Y.J.; Lacroix, V.; Strnadel, B. Plastic Collapse Stresses Based on Flaw Combination Rules for Pipes Containing Two Circumferential Similar Flaws. J. Press. Vessel. Technol. 2019, 141, 031201. [Google Scholar] [CrossRef]
- Rajabipour, A.; Melchers, R.E. A numerical study of damage caused by combined pitting corrosion and axial stress in steel pipes. Corros. Sci. 2013, 76, 292–301. [Google Scholar] [CrossRef]
- Dewanbabee, H.; Das, S. Structural Behavior of Corroded Steel Pipes Subject to Axial Compression and Internal Pressure: Experimental Study. J. Struct. Eng. 2013, 139, 57–65. [Google Scholar] [CrossRef]
- Oh, C.K.; Kim, Y.J.; Park, C.Y. Effects of local wall thinning on net-section limit loads for pipes under combined pressure and bending. Nucl. Eng. Des. 2009, 239, 261–273. [Google Scholar] [CrossRef]
- Lin, R.Z.; Fu, B.Z.; Yu, X.M.; Ma, H.; Wu, Z.Y.; Yang, C.Q. Bearing Capacity Analysis of Transmission Tower Structure Considering Corrosion Damage. J. Phys. Conf. Ser. 2022, 2148, 12052. [Google Scholar] [CrossRef]
- Pham, T.M.; Ong, E.F.; Tran, T.T.; Zhuge, Y.; Nguyen, K.L.; Nguyen-Minh, L. Compressive behaviour of locally corroded steel tubular members under eccentric loads. Thin-Walled Struct. 2024, 198, 111742. [Google Scholar] [CrossRef]
- Qu, H.; Zhang, W.; Kou, C.N.; Feng, R.; Pan, J.D. Experimental investigation of corroded CHS tubes in the artificial marine environment subjected to impact loading. Thin-Walled Struct. 2021, 169, 108485. [Google Scholar] [CrossRef]
- Yu, Z.W.; Lu, C.; Ma, H.H.; Kong, F. Probabilistic seismic vulnerability assessment of aluminium alloy reticulated shells with consideration of uncertainty. Eng. Struct. 2019, 195, 288–298. [Google Scholar] [CrossRef]
- Wang, R.H.; Shenoi, R.A. Experimental and numerical study on ultimate strength of steel tubular members with pitting corrosion damage. Mar. Struct. 2019, 64, 124–137. [Google Scholar] [CrossRef]
- Chinh, V.D.; Long, D.T. Corrosion effect on stress concentration factor in tubular T-joints under axial loading. J. Sci. Technol. Civ. Eng. STCE-HUCE 2023, 17, 154–165. [Google Scholar] [CrossRef] [PubMed]
- Chen, X.Y.; Li, S.; Lu, Y.Y.; Tai, C.W.; Ma, W.T. Research on eccentric-compressive behavior of steel stub columns with localized corrosion. J. Constr. Steel Res. 2024, 222, 108993. [Google Scholar] [CrossRef]
- Wang, H.J.; Zhang, Z.W.; Qian, H.L.; Liu, Y.L.; Hu, N.; Fan, F. Galvanic corrosion induced localized defects and resulting strength reduction of circular steel tubes under axial compression: An experimental study. Thin-Walled Struct. 2020, 154, 106881. [Google Scholar] [CrossRef]
- GB50017-2017; Code for Design of Steel Structures. China Architecture & Building Press: Beijing, China, 2017.

























| No. | Specimen Number | Outer Diameter D (mm) | Tube Thickness t (mm) | Width W (mm) | Length L (mm) | Corrosion Location | Single Corrosion Zone | Corrosion Number | Ultimate Bearing Capacity Ncu (kN) |
|---|---|---|---|---|---|---|---|---|---|
| 1 | ST-I | 114 | 4.15 | 119.38 | 342 | T | A/15 | 1 | 547 |
| 2 | SU-I | 114 | 3.96 | 119.38 | 342 | U | A/15 | 1 | 540 |
| 3 | SM-I | 114 | 4.16 | 119.38 | 342 | M | A/15 | 1 | 568 |
| 4 | SB-I | 114 | 4.25 | 119.38 | 342 | B | A/15 | 1 | 590 |
| 5 | CT-I | 114 | 4.20 | 101.96 | 342 | T | A/15 | 1 | 569 |
| 6 | CM-I | 114 | 4.21 | 101.96 | 342 | M | A/15 | 1 | 562 |
| 7 | ST-II | 114 | 4.17 | 59.69 | 342 | T | A/30 | 1 | 561 |
| 8 | SU-II | 114 | 3.98 | 59.69 | 342 | U | A/30 | 1 | 533 |
| 9 | SM-II | 114 | 4.16 | 59.69 | 342 | M | A/30 | 1 | 562 |
| 10 | STM-II | 114 | 4.17 | 59.69 | 342 | T + M | A/30 | 2 | 575 |
| 11 | STD-II | 114 | 4.19 | 59.69 | 342 | T + D | A/30 | 2 | 576 |
| 12 | STB-II | 114 | 4.20 | 59.69 | 342 | T + B | A/30 | 2 | 598 |
| 13 | STMB-II | 114 | 4.10 | 59.69 | 342 | T + M + B | A/30 | 3 | 540 |
| 14 | ST-III | 114 | 4.19 | 119.38 | 342 | T | A/7.5 | 1 | 533 |
| 15 | SM-III | 114 | 4.09 | 119.38 | 342 | M | A/7.5 | 1 | 537 |
| 16 | SA-IV | 114 | 4.19 | 358.14 | 342 | A | A | —— | 552 |
| 17 | SN-IV | 114 | 4.19 | 358.14 | 342 | N | —— | —— | 589 |
Disclaimer/Publisher’s Note: The statements, opinions and data contained in all publications are solely those of the individual author(s) and contributor(s) and not of MDPI and/or the editor(s). MDPI and/or the editor(s) disclaim responsibility for any injury to people or property resulting from any ideas, methods, instructions or products referred to in the content. |
© 2024 by the authors. Licensee MDPI, Basel, Switzerland. This article is an open access article distributed under the terms and conditions of the Creative Commons Attribution (CC BY) license (https://creativecommons.org/licenses/by/4.0/).
Share and Cite
Fang, W.; Wang, T.; Chen, M.; Zhang, M.; Huang, H.; Xu, K.; Wen, Q. Experimental and Numerical Investigation on the Ultimate Bearing Capacity of Axially Compressed Steel Tube Columns with Local Corrosion. Buildings 2024, 14, 3955. https://doi.org/10.3390/buildings14123955
Fang W, Wang T, Chen M, Zhang M, Huang H, Xu K, Wen Q. Experimental and Numerical Investigation on the Ultimate Bearing Capacity of Axially Compressed Steel Tube Columns with Local Corrosion. Buildings. 2024; 14(12):3955. https://doi.org/10.3390/buildings14123955
Chicago/Turabian StyleFang, Wei, Tao Wang, Mengcheng Chen, Mingyang Zhang, Hong Huang, Kaicheng Xu, and Qingqing Wen. 2024. "Experimental and Numerical Investigation on the Ultimate Bearing Capacity of Axially Compressed Steel Tube Columns with Local Corrosion" Buildings 14, no. 12: 3955. https://doi.org/10.3390/buildings14123955
APA StyleFang, W., Wang, T., Chen, M., Zhang, M., Huang, H., Xu, K., & Wen, Q. (2024). Experimental and Numerical Investigation on the Ultimate Bearing Capacity of Axially Compressed Steel Tube Columns with Local Corrosion. Buildings, 14(12), 3955. https://doi.org/10.3390/buildings14123955
