Pyrolysis Modeling and Kinetic Study of Typical Insulation Materials for Building Exterior Envelopes
Abstract
1. Introduction
2. Materials and Methods
2.1. Sample Preparation
2.2. TGA Experiments
2.3. Reaction Kinetics
2.3.1. Flynn–Wall–Ozawa (FWO)
2.3.2. Kissinger–Akahira–Sunose Method (KAS)
2.3.3. Senum–Yang Method
2.3.4. Advanced Vyazovkin Method
2.3.5. Coats–Redfern Method
2.3.6. Masterplot Method
2.4. PY-GC-MS Analysis
3. Results
3.1. Analysis of Thermal Decomposition
3.2. Kinetic Analysis
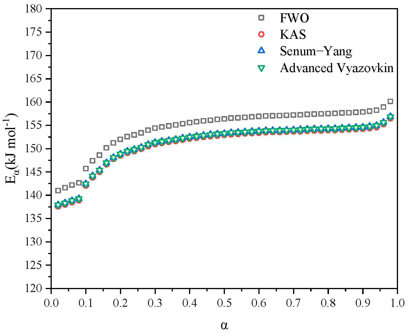
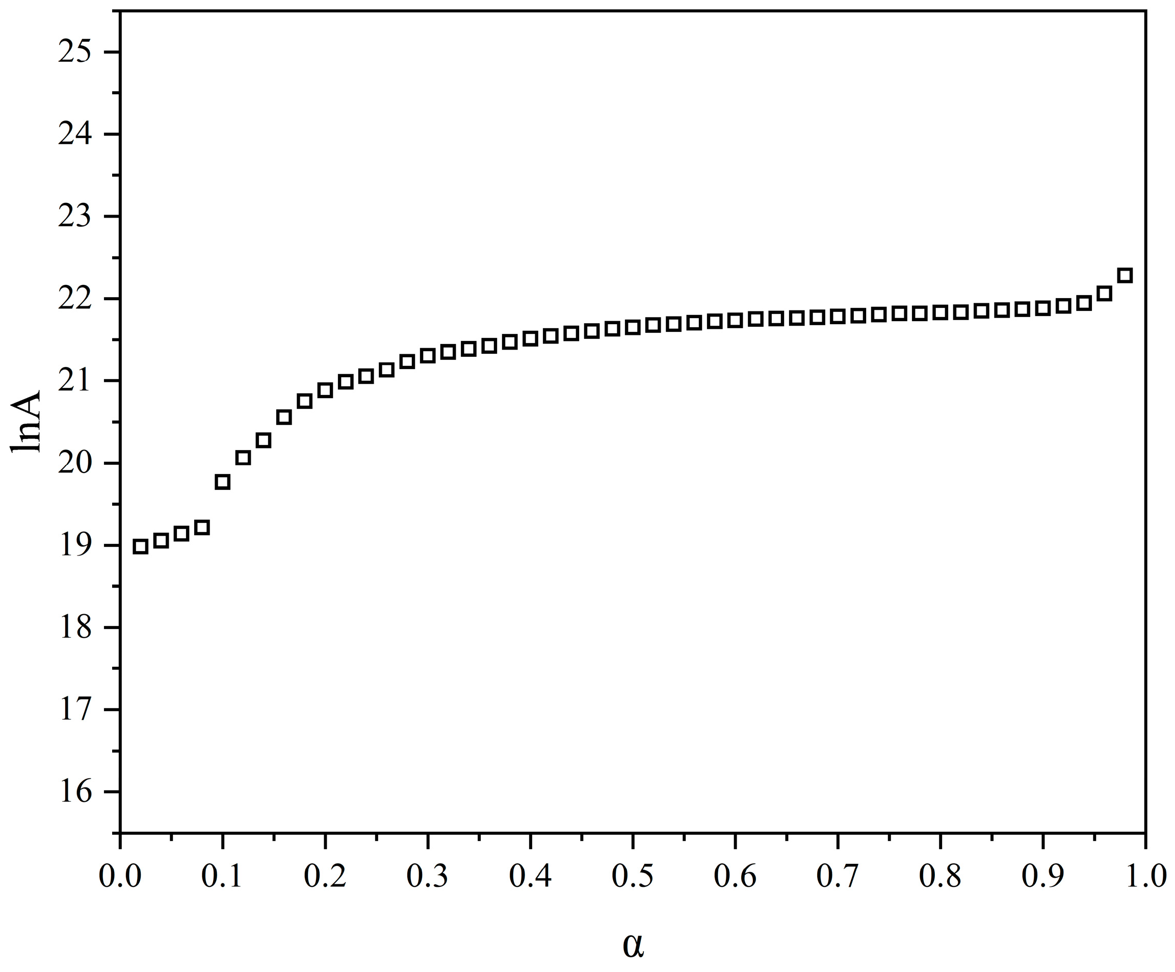
3.2.1. Model-Free Methods
3.2.2. Model-Fitting Methods
3.3. Compensation Effects
3.4. Model Reconstruction
3.5. Comparative Analysis of Kinetic Results
3.6. Product Analysis by PY-GC-MS
4. Conclusions
Author Contributions
Funding
Data Availability Statement
Conflicts of Interest
References
- Cai, S.; Deng, X.; Chen, X.; Yuan, W. Review of synthetic polymer-based thermal insulation materials in construction and building. J. Build. Eng. 2024, 97, 110846. [Google Scholar] [CrossRef]
- Sun, S.; Fan, K.; Yang, J.; Liu, J. Surface modification engineering on polymer materials toward multilevel insulation properties and subsequent dielectric energy storage. Mater. Today 2024, 80, 758–823. [Google Scholar] [CrossRef]
- Rezgar, H.; Taher, A.; Patrick, C.; Chul, B. A review of the state-of-the-art on thermal insulation performance of polymeric foams. Therm. Sci. Eng. Prog. 2023, 41, 101808. [Google Scholar] [CrossRef]
- Julia, S.; Martin, S.; Kathrin, G.; Grit, W. End-of-life treatment of EPS-based building insulation material—An estimation of future waste and review of treatment options. Resour. Conserv. Recycl. 2022, 187, 106603. [Google Scholar] [CrossRef]
- Raps, D.; Hossieny, N.; Park, C.B.; Altstädt, V. Past and present developments in polymer bead foams and bead foaming technology. Polymer 2015, 56, 5–19. [Google Scholar] [CrossRef]
- Tang, L.; Zhai, W.; Zheng, W. Autoclave preparation of expanded polypropylene/poly(lactic acid) blend bead foams with a batch foaming process. J. Cell. Plast. 2011, 47, 429–446. [Google Scholar] [CrossRef]
- Papadopoulos, A.M. State of the art in thermal insulation materials and aims for future developments. Energy Build. 2005, 37, 77–86. [Google Scholar] [CrossRef]
- Wang, L.; Wang, C.; Liu, P.; Jing, Z.; Ge, X.; Jiang, Y. The flame resistance properties of expandable polystyrene foams coated with a cheap and effective barrier layer. Constr. Build. Mater. 2018, 176, 403–414. [Google Scholar] [CrossRef]
- Jiang, L.; Xiao, H.; An, W.; Zhou, Y.; Sun, J. Correlation study between flammability and the width of organic thermal insulation materials for building exterior walls. Energy Build. 2014, 82, 243–249. [Google Scholar] [CrossRef]
- Stauffer, E.; Dolan, J.A.; Newman, R. Chemistry and physics of fire and liquid fuels. In Fire Debris Analysis; Elsevier: Amsterdam, The Netherlands, 2008; pp. 85–129. [Google Scholar] [CrossRef]
- Jun, H.C.; Oh, S.C.; Lee, H.P.; Kim, H.T. A kinetic analysis of the thermal-oxidative decomposition of expandable polystyrene. Korean J. Chem. Eng. 2006, 23, 761–766. [Google Scholar] [CrossRef]
- Kannan, P.; Biernacki, J.J.; Visco, D.P., Jr.; Lambert, W. Kinetics of thermal decomposition of expandable polystyrene in different gaseous environments. J. Anal. Appl. Pyrolysis 2009, 84, 139–144. [Google Scholar] [CrossRef]
- Jiao, L.; Xu, G.; Wang, Q.; Xu, Q.; Sun, J. Kinetics and volatile products of thermal degradation of building insulation materials. Thermochim. Acta 2012, 547, 120–125. [Google Scholar] [CrossRef]
- Ni, X.; Wu, Z.; Zhang, W.; Lu, K.; Ding, Y.; Mao, S. Energy Utilization of Building Insulation Waste Expanded Polystyrene: Pyrolysis Kinetic Estimation by a New Comprehensive Method. Polymers 2020, 12, 1744. [Google Scholar] [CrossRef] [PubMed]
- Vyazovkina, S.; Alan, K.; Criadoc, J.; Luis, A.; Popescud, P.; Sbirrazzuolie, N. ICTAC Kinetics Committee recommendations for performing kineticcomputations on thermal analysis data. Thermochim. Acta 2011, 520, 1–19. [Google Scholar] [CrossRef]
- Vyazovkin, S.; Chrissafis, K.; Laura, M.; Lorenzo, D.; Koga, N.; Pijolate, M.; Roduit, B.; Sufol, J. ICTAC Kinetics Committee recommendations for collecting experimental thermal analysis data for kinetic computations. Thermochim. Acta 2014, 590, 1–23. [Google Scholar] [CrossRef]
- Cao, H.Q.; Jiang, L.; Duan, Q.L.; Zhang, D.; Chen, H.D.; Sun, J.H. An Experimental and Theoretical Study of Optimized Selection and Model Reconstruction 451 for Ammonium Nitrate Pyrolysis. J. Hazard. Mater. 2018, 364, 539–547. [Google Scholar] [CrossRef]
- Wei, M.; Yu, Q.; Duan, W.; Yang, F.; Wu, T.; Zuo, Z.; Qin, Q.; Dai, J. CO2 desorption kinetics for waste ion-exchange resin-based activated carbon by model-fitting and model-free. Thermochim. Acta 2017, 655, 52–62. [Google Scholar] [CrossRef]
- Flynn, J.H.; Wall, L.A. General treatment of the thermogravimetry of polymers. J. Res. Natl. Bur. Standards Sect. A Phys. Chem. 1966, 70, 487. [Google Scholar] [CrossRef]
- Ozawa, T. A New Method of Analyzing Thermogravimetric Data. Bull. Chem. Soc. Jpn. 1965, 38, 1881–1886. [Google Scholar] [CrossRef]
- Kissinger, H.E. Reaction kinetics in differential thermal analysis. Anal. Chem. 1957, 29, 1702–1706. [Google Scholar] [CrossRef]
- Yang, G. Rational approximations of the integral of the Arrhenius function. J. Therm. Anal. 1977, 11, 445–447. [Google Scholar] [CrossRef]
- Chen, R.; Li, Q.; Zhang, Y.; Xu, X.; Zhang, D. Pyrolysis kinetics and mechanism of typical industrial non-tyre rubber wastes by peak-differentiating analysis and multi kinetics methods. Fuel 2019, 235, 1224–1237. [Google Scholar] [CrossRef]
- Coats, A.W.; Redfern, J.P. Kinetic parameters from thermogravimetric data. Nature 1964, 201, 68–69. [Google Scholar] [CrossRef]
- Gotor, F.J.; Criado, J.M.; Malek, J.; Koga, N. Kinetic Analysis of Solid-State Reactions: The Universality of Master Plots for Analyzing Isothermal and Nonisothermal Experiments. J. Phys. Chem. A 2000, 104, 10777–10782. [Google Scholar] [CrossRef]
- Zhang, W.; Jia, J.; Zhang, J.; Ding, Y.; Zhang, J.; Lu, K.; Mao, S. Pyrolysis and combustion characteristics of typical waste thermal insulation materials. Sci. Total Environ. 2022, 834, 155484. [Google Scholar] [CrossRef]
- Ha, Y.; Jeon, J. Thermogravimetric analysis and pyrolysis characterization of expanded–polystyrene and polyurethane–foam insulation materials. Case Stud. Therm. Eng. 2024, 54, 104002. [Google Scholar] [CrossRef]
- Roussi, A.; Vouvoudi, E.; Achilias, D. Pyrolytic degradation kinetics of HIPS, ABS, PC and their blends with PP and PVC. Thermochim. Acta 2020, 690, 178705. [Google Scholar] [CrossRef]
- Liu, G.; Liao, Y.; Ma, X. Thermal behavior of vehicle plastic blends contained acrylonitrile-butadiene-styrene (ABS) in pyrolysis using TG-FTIR. Waste Manag. 2017, 61, 315–326. [Google Scholar] [CrossRef]
- Wu, X.; Bourbigot, S.; Li, K.; Zou, Y. Co-pyrolysis characteristics and flammability of polylactic acid andacrylonitrile-butadiene-styrene plastic blend using TG, temperature-dependent FTIR, Py-GC/MS and cone calorimeter analyses. Fire Saf. J. 2022, 128, 103543. [Google Scholar] [CrossRef]
- Chen, R.; Pan, R.; Li, Q. Thermal degradation characteristics, kinetics and thermodynamics of micron-sized PMMA in oxygenous atmosphere using thermogravimetry and deconvolution method based on Gauss function. J. Loss Prev. Process Ind. 2021, 71, 104488. [Google Scholar] [CrossRef]
- Kaur, R.; Gera, P.; Jha, M.K.; Bhaskar, T. Pyrolysis kinetics and thermodynamic parameters of castor (Ricinus communis) residue using thermogravimetric analysis. Bioresour. Technol. 2018, 250, 422–428. [Google Scholar] [CrossRef] [PubMed]
- Ren, X.; Huang, Z.; Wang, X.J.; Guo, G.M. Isoconversional analysis of kinetic pyrolysis of virgin polystyrene and its two real-world packaging wastes. J. Therm. Anal. Calorim. 2022, 147, 1421–1437. [Google Scholar] [CrossRef]
- Li, J.; Stoliarov, S.I. Measurement of kinetics and thermodynamics of the thermal degradation for non-charring polymers. Combust. Flame 2013, 160, 1287–1297. [Google Scholar] [CrossRef]
- Jiang, L.; Zhang, D.; Li, M.; He, J.J.; Gao, Z.H.; Zhou, Y.; Sun, J.H. Pyrolytic behavior of waste extruded polystyrene and rigid polyurethane by multi kinetics methods and Py-GC/MS. Fuel 2018, 222, 11–20. [Google Scholar] [CrossRef]
- Gao, X.; Jiang, L.; Xu, Q. Experimental and theoretical study on thermal kinetics and reactive mechanism of nitrocellulose pyrolysis by traditional multi kinetics and modeling reconstruction. J. Hazard. Mater. 2020, 386, 121645. [Google Scholar] [CrossRef]
- Wang, C.; Zhang, Z.; Liu, X.; Zhang, Y.; Ma, Z. Elucidating the role of recycled concrete aggregate in ductile engineered geoolymer composites: Effects of recycled concrete aggregate content and size. J. Build. Eng. 2024, 95, 110150. [Google Scholar] [CrossRef]
- Wu, H.; Gao, J.; Liu, C.; Luo, X.; Chen, G. Combine use of 100% thermoactivated recycled cement and recycled aggregate for fully recycled mortar: Properties evaluation and modification. J. Clean. Prod. 2024, 450, 141841. [Google Scholar] [CrossRef]
- Liu, X.; Liang, C.; Zhang, Z.; Zhang, Y.; Xu, J.; Ma, Z. Mechanical performance of low-carbon ultra-high performance engineered cementitious composites (UHP-ECC) with high-volume recycled concrete powder. J. Build. Eng. 2024, 88, 109153. [Google Scholar] [CrossRef]











| Symbol Reaction Method | f(α) | g(α) |
|---|---|---|
| Power law | ||
| Power law | ||
| Power law | ||
| Power law | ||
| Zero-order (Polany–Winger equation) | ||
| Phase-boundary controlled reaction | ||
| Phase-boundary controlled reaction | ||
| First-order | ||
| Three-halves order | ||
| Second-order | ||
| Third-order | ||
| Avrami–Eroféev (n = 1.5) | ||
| Avrami–Eroféev (n = 2) | ||
| Avrami–Eroféev (n = 3) | ||
| Avrami–Eroféev (n = 4) | ||
| One-dimensional diffusion | ||
| Two-dimensional diffusion | ||
| Three-dimensional diffusion | ||
| Three-dimensional diffusion |
| Model | 5 °C min−1 | 10 °C min−1 | 20 °C min−1 | 40 °C min−1 | 80 °C min−1 |
|---|---|---|---|---|---|
| P1 | 42.96 | 45.86 | 46.62 | 48.55 | 49.83 |
| P2 | 60.89 | 64.83 | 65.94 | 68.61 | 70.42 |
| P3 | 96.75 | 102.77 | 104.57 | 108.73 | 111.60 |
| P4 | 311.89 | 330.42 | 336.35 | 349.45 | 358.70 |
| R1 | 204.32 | 216.60 | 220.46 | 229.09 | 235.15 |
| R2 | 234.67 | 248.54 | 253.52 | 263.43 | 270.65 |
| R3 | 246.53 | 261.01 | 266.44 | 276.87 | 284.54 |
| F1 | 273.18 | 289.03 | 295.50 | 307.09 | 315.80 |
| F3/2 | 320.64 | 338.90 | 347.29 | 361.00 | 371.54 |
| F2 | 376.26 | 397.33 | 408.00 | 424.24 | 436.93 |
| F3 | 505.10 | 532.65 | 548.67 | 570.82 | 588.51 |
| A3/2 | 178.51 | 189.00 | 193.23 | 200.85 | 206.55 |
| A2 | 131.18 | 138.99 | 142.09 | 147.73 | 151.92 |
| A3 | 83.84 | 88.97 | 90.95 | 94.61 | 97.30 |
| A4 | 60.17 | 63.97 | 65.39 | 68.05 | 69.99 |
| D1 | 419.46 | 444.24 | 452.24 | 469.82 | 482.25 |
| D2 | 455.76 | 482.46 | 491.76 | 510.84 | 524.65 |
| D3 | 503.88 | 533.08 | 544.21 | 565.36 | 581.04 |
| D4 | 471.45 | 498.97 | 508.85 | 528.61 | 543.03 |
| Heating Rate | ||||
|---|---|---|---|---|
| 5 °C min−1 | −6.53385 | 0.18291 | 0.001453 | 657.586 |
| 10 °C min−1 | −5.81719 | 0.17909 | 0.002976 | 671.6123 |
| 20 °C min−1 | −5.16082 | 0.17514 | 0.005737 | 686.7594 |
| 40 °C min−1 | −4.48485 | 0.17037 | 0.011279 | 705.9872 |
| 80 °C min−1 | −3.82186 | 0.16592 | 0.021887 | 724.9219 |
| Total | −4.9783 | 0.17373 | 0.006886 | 692.3332 |
| Source of Samples (EPS) | (kJ/mol) | Atmosphere | Reference | |
|---|---|---|---|---|
| Produced by a plastic chemical factory (40 mesh) | 151.225 | 21.294 | Nitrogen | This study |
| Obtained from a polymer chemical factory | 136.26 | 21.896 | Nitrogen | Jun et al. [11] |
| Collected locally | 159.87 | - | Nitrogen | Kannan et al. [12] |
| Cut into particles | 245 | - | Nitrogen | Jiao et al. [13] |
| Ground into powder | 163.23 | 23.70 | Nitrogen | Ni et al. [14] |
| Collected locally | 123.8 | 20.72 | Nitrogen | Ren et al. [17] |
| Produced by a polymer material factory | 158.82 | - | Nitrogen | Zhang et al. [18] |
| NO. | Apex R.T. | Compound Name | Formula | Height% | Area% |
|---|---|---|---|---|---|
| 1 | 1.30 | Carbon dioxide | CO2 | 1.91 | 1.54 |
| 2 | 1.44 | Butane,2-methyl- | C5H12 | 7.42 | 7.68 |
| 3 | 2.92 | Toluene | C7H8 | 4.74 | 4.71 |
| 4 | 4.49 | Styrene | C8H8 | 7.04 | 9.4 |
| 5 | 4.81 | Styrene | C8H8 | 6.62 | 8.5 |
| 6 | 5.88 | α-Methylstyrene | C9H10 | 1.56 | 1.47 |
| 7 | 13.58 | Bibenzyl | C14H14 | 6.15 | 4.48 |
| 8 | 13.91 | Benzene,1,1′-(1-methyl-1,2-ethanediyl)bis- | C15H16 | 3.13 | 2.01 |
| 9 | 15.90 | Naphthalene,1,2,3,4-tetrahydro-2-phenyl- | C16H16 | 7.55 | 15.47 |
| 10 | 16.02 | Naphthalene,1,2,3,4-tetrahydro-2-phenyl- | C16H16 | 6.61 | 2.06 |
| 11 | 16.12 | 1,2-Diphenylcyclopropane | C15H14 | 1.43 | 0.77 |
| 12 | 17.04 | Benzene,1,1′-(1-butene-1,4-diyl)bis-,(Z)- | C16H16 | 5.06 | 3.91 |
| 13 | 17.72 | 2,5-Diphenyl-1,5-hexadiene | C18H18 | 7.28 | 4.95 |
| 14 | 18.92 | 1,5-Diphenyl-1,5-hexadiene | C18H18 | 1.42 | 0.98 |
| 15 | 21.55 | Benzene,1,1′,1″,1‴-(1,2,3,4-butanetetrayl)tetrakis- | C28H26 | 1.44 | 0.71 |
| 16 | 22.70 | Heptane,1,1-diphenyl- | C19H24 | 7.2 | 17.04 |
| 17 | 22.83 | Heptane,1,1-diphenyl- | C19H24 | 5.95 | 1.34 |
Disclaimer/Publisher’s Note: The statements, opinions and data contained in all publications are solely those of the individual author(s) and contributor(s) and not of MDPI and/or the editor(s). MDPI and/or the editor(s) disclaim responsibility for any injury to people or property resulting from any ideas, methods, instructions or products referred to in the content. |
© 2024 by the authors. Licensee MDPI, Basel, Switzerland. This article is an open access article distributed under the terms and conditions of the Creative Commons Attribution (CC BY) license (https://creativecommons.org/licenses/by/4.0/).
Share and Cite
Zhang, Y.; Wang, B.; Xu, L.; Ma, Z. Pyrolysis Modeling and Kinetic Study of Typical Insulation Materials for Building Exterior Envelopes. Buildings 2024, 14, 3956. https://doi.org/10.3390/buildings14123956
Zhang Y, Wang B, Xu L, Ma Z. Pyrolysis Modeling and Kinetic Study of Typical Insulation Materials for Building Exterior Envelopes. Buildings. 2024; 14(12):3956. https://doi.org/10.3390/buildings14123956
Chicago/Turabian StyleZhang, Youchao, Bo Wang, Li Xu, and Zhiming Ma. 2024. "Pyrolysis Modeling and Kinetic Study of Typical Insulation Materials for Building Exterior Envelopes" Buildings 14, no. 12: 3956. https://doi.org/10.3390/buildings14123956
APA StyleZhang, Y., Wang, B., Xu, L., & Ma, Z. (2024). Pyrolysis Modeling and Kinetic Study of Typical Insulation Materials for Building Exterior Envelopes. Buildings, 14(12), 3956. https://doi.org/10.3390/buildings14123956

