Study on Stability of Transmission Tower-Line System under a Downburst
Abstract
:1. Introduction
2. Finite Element Model of Transmission Tower
3. Downburst Wind Load
3.1. Mean Wind Simulation of Downburst
3.2. Fluctuating Wind of Downburst
3.3. Downburst Wind Loads
4. Stability Criterion
5. Analysis of Dynamic Stability of Transmission Tower-Line System
5.1. Response Analysis of Transmission Tower-Line System under Downburst and ABL Wind Loads
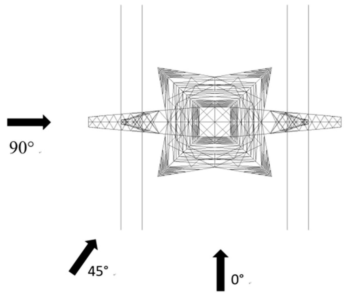
5.2. Response of Transmission Tower-Line System at Different Attack Angles
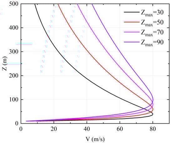
5.3. Influence of Maximum Wind Speed Height of Downburst on Response of Transmission Tower-Line System
5.4. Comparative Analysis of the Stability of Transmission Tower and Transmission Tower-Line System
6. Conclusions
- (1)
- The design base wind speed V10 for transmission towers is taken as 30 m/s. By comparing the displacement of a single tower and a transmission tower-line system under two types of wind fields, the tip displacement of the single tower under the action of a downburst is 2.11 times that under the ABL wind field, and the vertex displacement of the tower-line system under downburst is 1.83 times that under the ABL wind field. On the other hand, the peak acceleration under the action of a downburst is 1.57 times that under the ABL wind, which is highly unfavorable for the transmission tower. The specific numerical results show that the downburst is hugely destructive;
- (2)
- The tip displacement in the Y-direction of the transmission tower at 90° wind attack angle is significantly higher than that at other wind attack angles because the transmission line increases the windward area, making the tip displacement in the Y-direction of the whole transmission line system maximum under the action of the downburst. It is indicated that the 90° wind attack angle is the most unfavorable wind attack angle of the transmission tower-line system. On the other hand, the X-direction displacement of the transmission tower reaches its maximum under 0° wind attack;
- (3)
- When Zmax is within the height range of the transmission tower, as Zmax increases for the transmission tower is more unfavorable, when Zmax is out of the tower range, the more up for the transmission tower is more favorable;
- (4)
- Downburst has great damage to the stability of transmission towers; transmission tower dynamic instability occurs under downburst wind loads with Umax = 80 m/s; the tower line system has dynamic instability under downburst wind loads with Umax = 65 m/s. The conductor will reduce the dynamic stability of the transmission tower under the downburst. The downburst wind loads cannot be ignored in the design of the transmission tower.
Author Contributions
Funding
Institutional Review Board Statement
Informed Consent Statement
Data Availability Statement
Conflicts of Interest
References
- Aboshosha, H.; Elawady, A.; El Ansary, A.; El Damatty, A. Review on dynamic and quasi-static buffeting response of transmission lines under synoptic and non-synoptic winds. Eng. Struct. 2016, 112, 23–46. [Google Scholar] [CrossRef]
- Sun, Q.; Wu, J.; Wang, D.; Xiang, Y.; Liu, H.; Sun, X. Analysis of the quasi-static buffeting responses of transmission lines to moving downburst. Comput. Modeling Eng. Sci. 2020, 124, 287–302. [Google Scholar] [CrossRef]
- Holmes, J.D.; Hangan, H.M.; Schroeder, J.L.; Letchford, C.W.; Orwig, K.D. A forensic study of the Lubbock-Reese downdraft of 2002. Wind Struct. 2008, 11, 137–152. [Google Scholar] [CrossRef]
- Yang, T.; Cechet, R.P.; Nadimpalli, K. Local Wind Assessment in Australia: Computation Methodology for Wind Multipliers; Geoscience Australia: Canberra, Australia, 2014. [Google Scholar]
- Fujita, T.T. Downbursts: Meteorological features and wind field characteristics. J. Wind Eng. Ind. Aerodyn. 1990, 36, 75–86. [Google Scholar] [CrossRef]
- Weilian, Q.; Baifeng, J. Formation and Diffusion of Downburst and Its Disaster Effect on Transmission Tower; Science Press: Beijing, China, 2013. [Google Scholar]
- Milford, R.; Goliger, A.M. Tornado risk model for transmission line design. J. Wind Eng. Ind. Aerodyn. 1997, 72, 469–478. [Google Scholar] [CrossRef]
- Choi, E.C. Field measurement and experimental study of wind speed profile during thunderstorms. J. Wind Eng. Ind. Aerodyn. 2004, 92, 275–290. [Google Scholar] [CrossRef]
- Savory, E.; Parke, G.; Zeinoddini, M. Modeling of tornado and microburst-induced wind loading and failure of a lattice transmission tower. Eng. Struct. 2001, 23, 365–375. [Google Scholar] [CrossRef]
- Shehata, A.; El Damatty, A. Behaviour of guyed transmission line structures under downburst wind loading. Wind Struct. 2007, 10, 249–268. [Google Scholar] [CrossRef]
- Xin, W.; Wenjuan, L.; Wei, X. Characteristics of Thunderstorm Impact on Transmission Tower. J. Huazhong Univ. Sci. Technol. 2008, 25, 10–14. [Google Scholar]
- Huawei, N.; Fei, H.; Kejian, O.; Zhengqing, C. Analysis on Downburst Induced Response of Guyed Portal Tower. J. Hunan Univ. 2018, 45, 72–81. [Google Scholar]
- Albermani, F.; Mahendran, M.; Kitipornchai, S. Upgrading of transmission towers using a diaphragm bracing system. Eng. Struct. 2004, 26, 735–744. [Google Scholar] [CrossRef]
- El Damatty, A.; Elawady, A. Critical load cases for lattice transmission line structures subjected to downbursts: Economic implications for design of transmission lines. Eng. Struct. 2018, 159, 213–226. [Google Scholar] [CrossRef]
- Zhang, Q.; Peil, U. Stability analysis of elastic structures under arbitrary excitation. China Civ. Eng. J. 1998, 31, 26–32. [Google Scholar]
- Chen, D. Energy Based Dynamic Stability Analysis of Transmission Tower-Line System under Downburst. Master’s Thesis, Wuhan University of Technology, Wuhan, China, 2019. [Google Scholar]
- Yan, L.; Hongjun, L.; Zhengliang, L.; Xuzhang, G. Nonlinear dynamic analysis for a transmission tower-line system subjected to wire breakage. J. Vib. Shock. 2017, 36, 70–79+85. [Google Scholar]
- Qi, L. Applications of Artificial Neural Networks in the Prediction of Structural Dynamic Stability under Seismic Excitations. Master’s Thesis, Tongji University, Shanghai, China, 2007. [Google Scholar]
- Shinozuka, M.; Jan, C.-M. Digital simulation of random processes and its applications. J. Sound Vib. 1972, 25, 111–128. [Google Scholar] [CrossRef]
- Vicroy, D.D. Assessment of microburst models for downdraft estimation. J. Aircr. 1992, 29, 1781–1787. [Google Scholar] [CrossRef]
- Oseguera, R.M.; Bowles, R.L. A Simple, Analytic 3-Dimensional Downburst Model Based on Boundary Layer Stagnation Flow; NASA Langley Research Center: Hampton, VA, USA, 1988. [Google Scholar]
- Wood, G.S.; Kwok, K.C.; Motteram, N.A.; Fletcher, D.F. Physical and numerical modeling of thunderstorm downbursts. J. Wind Eng. Ind. Aerodyn. 2001, 89, 535–552. [Google Scholar] [CrossRef]
- GB 50009–2012; Load Code for the Design of Building Structures. China Architecture and Building Press: Beijing, China, 2012.
- Fujita, T.T.; Wakimoto, R.M. Five scales of airflow associated with a series of downbursts on 16 July 1980. Mon. Weather Rev. 1981, 109, 1438–1456. [Google Scholar] [CrossRef]
- Chen, L.; Letchford, C.W. A deterministic–stochastic hybrid model of downbursts and its impact on a cantilevered structure. Eng. Struct. 2004, 26, 619–629. [Google Scholar] [CrossRef]
- Chay, M.T. Physical Modeling of Thunderstorm Downbursts for Wind Engineering Applications; Texas Tech University: Lubbock, TX, USA, 2001. [Google Scholar]
- Jiang, Y.; Zhao, N.; Peng, L.; Xin, J.; Liu, S. Fast simulation of fully non-stationary wind fields using a new matrix factorization assisted interpolation method. Mech. Syst. Signal Processing 2022, 172, 108973. [Google Scholar] [CrossRef]
- Wong, C.J.; Miller, M.D. Guidelines for Electrical Transmission Line Structural Loading; American Society of Civil Engineers: Reston, VA, USA, 2009. [Google Scholar]
- Como, M.; Grimaldi, A. Theory of Stability of Continuous Elastic Structures; CRC Press: Boca Raton, FL, USA, 1995; Volume 1. [Google Scholar]
- Budiansky, B. Axisymmetric dynamic buckling of clamped shallow spherical shells. NASA TN 1962, 1510, 597–606. [Google Scholar]
- GB 50545-2010; Code for Design of 110 Kv~750 kV Overhead Transmission Line. China Planning Press: Beijing, China, 2010.



















Publisher’s Note: MDPI stays neutral with regard to jurisdictional claims in published maps and institutional affiliations. |
© 2022 by the authors. Licensee MDPI, Basel, Switzerland. This article is an open access article distributed under the terms and conditions of the Creative Commons Attribution (CC BY) license (https://creativecommons.org/licenses/by/4.0/).
Share and Cite
Zhong, Y.; Li, S.; Yan, Z.; Liu, X.; Luo, J.; Jin, W. Study on Stability of Transmission Tower-Line System under a Downburst. Buildings 2022, 12, 1338. https://doi.org/10.3390/buildings12091338
Zhong Y, Li S, Yan Z, Liu X, Luo J, Jin W. Study on Stability of Transmission Tower-Line System under a Downburst. Buildings. 2022; 12(9):1338. https://doi.org/10.3390/buildings12091338
Chicago/Turabian StyleZhong, Yongli, Shun Li, Zhitao Yan, Xinpeng Liu, Jun Luo, and Weichen Jin. 2022. "Study on Stability of Transmission Tower-Line System under a Downburst" Buildings 12, no. 9: 1338. https://doi.org/10.3390/buildings12091338
APA StyleZhong, Y., Li, S., Yan, Z., Liu, X., Luo, J., & Jin, W. (2022). Study on Stability of Transmission Tower-Line System under a Downburst. Buildings, 12(9), 1338. https://doi.org/10.3390/buildings12091338

