Seismic Performance of the PVA Fiber Reinforced Concrete Prefabricated Hollow Circular Piers with Socket and Slot Connection
Abstract
:1. Introduction
2. Experimental Program
2.1. Test Specimens
2.2. Construction Process
2.3. Specimen Loading Scheme
3. Test Results and Analysis
3.1. Failure Patterns
3.2. Hysteresis Curve
3.3. Skeleton Curve
3.4. Stiffness Degradation
3.5. Energy Dissipation
3.6. Residual Displacement Ratios
4. Numerical Analysis
4.1. Model Description
4.2. Constitutive of Materials
4.3. Validation of the Model
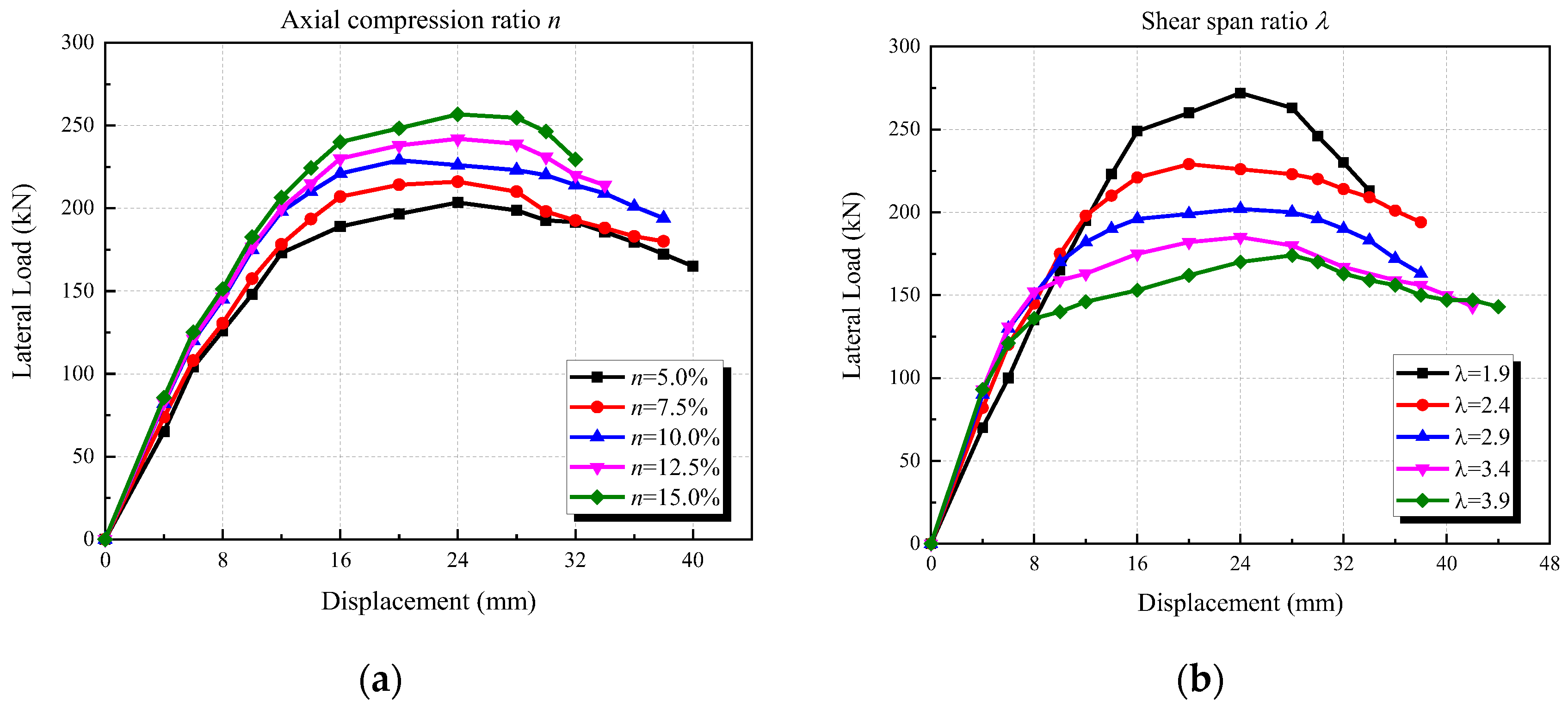
4.4. Parametric Study
5. Conclusions
Author Contributions
Funding
Institutional Review Board Statement
Informed Consent Statement
Data Availability Statement
Acknowledgments
Conflicts of Interest
References
- Michael, P.; Culmo, P.E. Accelerated Bridge Construction—Experience in Design, Fabrication and Erection of Prefabricated Bridge Elements and Systems; CME Associates, Inc.: East Hartford, CT, USA, 2011. [Google Scholar]
- Michael, P.; Culmo, P.E. Connection Details for Prefabricated Bridge Elements and Systems; CME Associates, Inc.: East Hartford, CT, USA, 2009. [Google Scholar]
- Li, L.; Ma, Z.; Griffey, M.E.; Oesterle, R.G. Improved Longitudinal Joint Details in Decked Bulb Tees for Accelerated Bridge Construction: Concept Development. J. Bridge Eng. 2010, 15, 327–336. [Google Scholar] [CrossRef]
- Shim, C.S.; Chung, C.-H.; Kim, H.H. Experimental evaluation of seismic performance of precast segmental bridge piers with a circular solid section. Eng. Struct. 2008, 30, 3782–3792. [Google Scholar] [CrossRef]
- Xie, Q.; Zhao, X.; Yao, X.; Hao, W.; Hu, F. Seismic behaviors of precast assembled bridge columns connected with prestressed threaded steel bar: Experimental test and hysteretic model. Adv. Struct. Eng. 2020, 23, 1975–1988. [Google Scholar] [CrossRef]
- Zhang, Y.Y.; Harries, K.A.; Yuan, W.C. Experimental and numerical investigation of the seismic performance of hollow rectangular bridge piers constructed with and without steel fiber reinforced concrete. Eng. Struct. 2013, 48, 255–265. [Google Scholar] [CrossRef]
- Hewes, J.T. Seismic Design and Performance of Precast Concrete Segmental Bridge Columns. Ph.D. Thesis, University of California, San Diego, CA, USA, 2002. [Google Scholar]
- Palermo, A.; Pampanin, S.; Marriott, D. Design, Modeling, and Experimental Response of Seismic Resistant Bridge Piers with Posttensioned Dissipating Connections. J. Struct. Eng. 2007, 133, 1648–1661. [Google Scholar] [CrossRef]
- Han, Y.; Liu, Z.; Wang, L. Test for Influence of Socket Connection Structure on Dynamic Response of Prefabricated Pier under Vehicle Collision. KSCE J. Civ. Eng. 2022, 26, 1188–1202. [Google Scholar] [CrossRef]
- Han, Y.; Dong, J.; Wang, L. Experimental Study on the Seismic Performance of Socket Bridge Piers. Adv. Civ. Eng. 2020, 2020, 8895196. [Google Scholar] [CrossRef]
- Mashal, M.; White, S.; Palermo, A. Quasi-static cyclic tests of Emulative Prefabricated Segmental Bridge Piers (E-PSBP). In Proceedings of the 2013 New Zealand Society for Earthquake Engineering (NZSEE) Conference, Wellington, New Zealand, 26–28 April 2013. [Google Scholar]
- Matsumoto, E. Emulative Prefabricated Bent Cap Connections for Seismic Regions: Component Tests Report-Preliminary Grouted Duct Specimen (Unit 5); Report No. ECS-CSUS-2009-02; California State University: Sacramento, CA, USA, 2010. [Google Scholar]
- Motaref, S.; Saiidi, M.S.; Sanders, D. Shake Table Studies of Energy-Dissipating Segmental Bridge Columns. J. Bridge Eng. 2014, 19, 186–199. [Google Scholar] [CrossRef]
- Youm, K.S.; Cho, J.Y.; Lee, Y.H.; Kim, J.J. Seismic performance of modular columns made of concrete filled FRP tubes. Eng. Struct. 2013, 57, 37–50. [Google Scholar] [CrossRef]
- Trono, W.; Jen, G.; Panagiotou, M.; Schoettler, M.; Ostertag, C.P. Seismic Response of a Damage-Resistant Recentering Posttensioned-HYFRC Bridge Column. J. Bridge Eng. 2015, 20, 04014096. [Google Scholar] [CrossRef]
- Mohebbi, A.; Saiidi, M.S.; Itani, A.M. Shake Table Studies and Analysis of a PT-UHPC Bridge Column with Pocket Connection. J. Struct. Eng. 2018, 144, 04018021. [Google Scholar] [CrossRef]
- Su, J.; Hu, Q.; Liu, J. Nonlinear finite element analysis of PVA fiber reinforced high strength concrete columns under low cyclic loading. IOP Conf. Ser. Earth Environ. Sci. 2017, 61, 012096. [Google Scholar] [CrossRef]
- Tarfan, S.; Banazadeh, M.; Esteghamati, M.Z. Probabilistic seismic assessment of non-ductile RC buildings retrofitted using pre-tensioned aramid fiber reinforced polymer belts. Compos. Struct. 2019, 208, 865–878. [Google Scholar]
- Huang Paolo, G.; Stefan, H. Probabilistic Seismic Demand Models and Fragility Estimates for Reinforced Concrete Highway Bridges with One Single-Column Bent. J. Eng. Mech. 2010, 136, 1340–1353. [Google Scholar] [CrossRef]
- Cassese, P.; De Risi, M.T.; Verderame, G.M. Seismic Assessment of Existing Hollow Circular Reinforced Concrete Bridge Piers. J. Earthq. Eng. 2020, 24, 1566–1601. [Google Scholar] [CrossRef]
- Nozawa, T.; Choi, J.-H.; Hattori, M.; Otsuka, H. Cyclic loading test for columns made with ultra-strength fiber-reinforced concrete and trace analyses using finite element analyses. Struct. Concr. 2017, 18, 433–443. [Google Scholar] [CrossRef]
- Park, R. Evaluation of ductility of structures and structural assemblages from laboratory testing. Bull. N. Z. Natl. Soc. Earthq. Eng. 1989, 22, 155–166. [Google Scholar] [CrossRef]
- Cai, Z.; Wang, D.; Smith, S.T.; Wang, Z. Experimental investigation on the seismic performance of GFRP-wrapped thin-walled steel tube confined RC columns. Eng. Struct. 2016, 110, 269–280. [Google Scholar] [CrossRef]
- Li, C.; Hao, H.; Bi, K. Numerical study on the seismic performance of prefabricated segmental concrete columns under cyclic loading. Eng. Struct. 2017, 148, 373–386. [Google Scholar] [CrossRef]
- Zhang, Y. Study on Constitutive Relation and Tensile Properties of Steel-polypropylene Hybrid Fiber Concrete under Uniaxial Compression. Ph.D. Thesis, Wuhan University, Wuhan, China, 2010. [Google Scholar]
- Hu, Y. Study on Mechanical Properties of Multiscale Polypropylene Fiber Concrete Beams. Master’s Thesis, Chongqing University, Chongqing, China, 2019. [Google Scholar]



















| Concrete Type | Cement (kg/m3) | Water (kg/m3) | Admixtures (kg/m3) | Stone (kg/m3) | Sand (kg/m3) | PVA Fiber (%) |
|---|---|---|---|---|---|---|
| C50 | 385 | 150 | 120 | 1077 | 660 | 0 |
| C60 | 410 | 151.2 | 130 | 1121.5 | 630.8 | 0 |
| C60 PVA | 410 | 151.2 | 130 | 1121.5 | 630.8 | 0.5 |
| Properties | Elastic Modulus (GPa) | Density (g/mm3) | Fiber Length (mm) | Fiber Diameter (mm) | Tensile Strength (MPa) |
|---|---|---|---|---|---|
| PVA fiber | 61 | 1.26 | 10 | 0.015 | 510 |
| Steel Type | Yield Strength fy | Ultimate Strength fst | Elastic Modules Es |
|---|---|---|---|
| HRB400 | 360 | 630 | 2.0 × 105 |
| HPB300 | 270 | 510 | |
| Low carbon steel wire | 400 | 650 |
| Specimen Number | Outer Diameter D (cm) | Wall Thickness (cm) | Stirrup Reinforcement Ratio ρsv (%) | Effective Height H (cm) | Axial Compression Ratio n | Shear Span Ratio λ |
|---|---|---|---|---|---|---|
| S1 | 50 | 11 | 0.56 | 120 | 0.05 | 2.4 |
| S2 | 50 | 11 | 0.56 | 120 | 0.10 | 2.4 |
| S3 | 50 | 11 | 0.56 | 170 | 0.10 | 3.4 |
| Specimen | Py (kN) | Δy (mm) | Pp (kN) | Δp (mm) | Pu (kN) | Δu (mm) | μΔ | Δu |
|---|---|---|---|---|---|---|---|---|
| S1 | 190 | 17.37 | 207.66 | 24.6 | 172.13 | 39.6 | 2.28 | 3.30% |
| S2 | 226.01 | 15.45 | 243.75 | 24.1 | 207.48 | 34 | 2.21 | 2.83% |
| S3 | 143.64 | 13.67 | 169.17 | 24.5 | 143.79 | 41 | 3.01 | 2.41% |
| Specimen | Yield Load (kN) | Peak Load (kN) | Ultimate Load (kN) | ||||||
|---|---|---|---|---|---|---|---|---|---|
| Exp. | Num. | Error (%) | Exp. | Num. | Error (%) | Exp. | Num. | Error (%) | |
| S2 | 207.44 | 226.01 | 9.0 | 229.13 | 243.75 | 6.4 | 194.65 | 207.48 | 6.6 |
Publisher’s Note: MDPI stays neutral with regard to jurisdictional claims in published maps and institutional affiliations. |
© 2022 by the authors. Licensee MDPI, Basel, Switzerland. This article is an open access article distributed under the terms and conditions of the Creative Commons Attribution (CC BY) license (https://creativecommons.org/licenses/by/4.0/).
Share and Cite
Yang, D.; Wang, Z.; Zhang, Y.; Pan, W.; Wang, J.; Shi, J. Seismic Performance of the PVA Fiber Reinforced Concrete Prefabricated Hollow Circular Piers with Socket and Slot Connection. Buildings 2022, 12, 1339. https://doi.org/10.3390/buildings12091339
Yang D, Wang Z, Zhang Y, Pan W, Wang J, Shi J. Seismic Performance of the PVA Fiber Reinforced Concrete Prefabricated Hollow Circular Piers with Socket and Slot Connection. Buildings. 2022; 12(9):1339. https://doi.org/10.3390/buildings12091339
Chicago/Turabian StyleYang, Dahai, Zhitian Wang, Yi Zhang, Wuzhi Pan, Jianan Wang, and Jun Shi. 2022. "Seismic Performance of the PVA Fiber Reinforced Concrete Prefabricated Hollow Circular Piers with Socket and Slot Connection" Buildings 12, no. 9: 1339. https://doi.org/10.3390/buildings12091339
APA StyleYang, D., Wang, Z., Zhang, Y., Pan, W., Wang, J., & Shi, J. (2022). Seismic Performance of the PVA Fiber Reinforced Concrete Prefabricated Hollow Circular Piers with Socket and Slot Connection. Buildings, 12(9), 1339. https://doi.org/10.3390/buildings12091339
