Abstract
In order to make full use of the advantages of PD (particle damper) and TLD (tuned liquid damper) technologies, a new kind of damping system combining these two already-existing dampers is proposed and was named as PDAL (tuned particle damper with additional liquid). A shaking table test of a steel frame structure with a PDAL system is conducted here for the purpose of vibration control analysis. The results of the test demonstrate well the reliability and effectiveness of the PDAL system under various seismic waves. Seismic responses (mainly acceleration value) are investigated thoroughly for parameter analysis based on the experimental data, and some suggestions are proposed for future designs, including the necessity for parameter optimization and awareness of the dynamic characteristic changes that might occur in actual structures if attached with a PDAL system. This paper constitutes a preliminary study for the PDAL system, and it can serve as a baseline and conceptual reference for future investigations.
1. Introduction
With the rapid development of the modern economy, people’s expectations and requirements for new building structures are significantly increasing. Hence, structures are developing into towering, lightweight, and high-strength constructions, which brings more and more widespread attention to structural vibration control, given the potential impacts of natural disasters [1,2,3,4]. Vibration control can be classified as active control, semi-active control, passive control, or hybrid control, according to whether external energy and excitation are required and the signal to which the structure responds [5,6,7,8]. Passive control is widely used in civil engineering because of its simple construction, low cost, easy maintenance, lack of external energy input, etc. Common passive controls include vibration isolation [9], energy dissipation [10], and damping techniques, including the tuned liquid damping (TLD) system, the tuned mass damping (TMD) system [11], the particle damper (PD) system [12], and so on [13,14,15,16,17,18,19].
As a passive control device for structures, TLD’s central principle is to use the inertia and viscous energy dissipation of the liquid in a fixed container on the structure to reduce structural vibration. TLD was used in early aerospace and marine technology and was subsequently used on offshore platforms. In 1979, Vandiver et al. [20] first conducted the dynamic response analysis of a structure under wave loading, which used the liquid storage tank on a fixed offshore platform as a TLD system, and the results were the first to verify the vibration control effect of TLD. In the early 1980s, Modi et al. [21] were the first to propose the use of TLD for suppressing wind-induced instability in ground structures. By the late 1980s, some researchers began to introduce TLD into ground structures. For example, Kareem et al. [22] conducted random seismic response analysis of TLD systems. Sato et al. [23] proposed the use of TLD to control the vibration of building structures. In 1987, the first application of TLD in an engineering project for wind vibration control of a ground structure was established in Japan. Thus far, TLD has been widely researched and applied [24,25,26] due to its advantages, such as cost savings, easy installation, versatility (as it can be used as water storage device at the same time), etc.
As a relatively “new” vibration controlling method in the vibration control field, PD uses friction and the collisions between particles to consume system vibration energy, which is a durable and reliable method and one suitable for harsh environments; PD systems can also have a wider vibration damping frequency band [27,28]. Considering the dangers of various potential natural disasters that their project faced, Lu Zheng et al. [29,30,31,32] conducted a full and thorough research study on PD and performed a series of studies and investigations of particle parameters, environmental conditions, performance enhancement optimization algorithms, etc. The numerical simulation approach based on the discrete element analysis method is confirmed to be useful for performing both quantitative and qualitative analysis of the rotary elastomer particle damper [33].
After years of research and a large number of practical engineering projects, the application of TLD technology has matured and is now capable of creating a sufficient damping effect [34]. However, TLD is usually designed for a specific structural fundamental frequency, and it can have a sufficient damping effect only when the damper is tuned to the fundamental frequency of the structure. Therefore, the problems of the narrow effective frequency band, large fluctuation of inherent frequency, and relatively poor stability of TLD are currently the most important problems that need to be solved. As for the PD system, although it has already made good progress at the research level, there are relatively few practical applications in engineering due to problems such as the noise generated by particle collision.
Therefore, some scholars have proposed combining PD and TLD for fully utilizing the advantages of both. On the one hand, this solution would solve the problem of TLD’s insufficient frequency band; on the other hand, the aim of reducing and “buffering” the particle collision noise through the use of a liquid can also be realized, which can further enhance the possibility of PD’s engineering applications. In addition, the damping method of TLD is divided into two aspects: the inertial force of liquid and the frictional energy dissipation. The former is related to the shaking effect of water and is difficult to change. Hence, in order to further improve TLD’s vibration control performance, the perspective of frictional energy consumption is the main focus of the study; by considering the collision of particles, the purpose of further improving TLD’s damping effect can be achieved.
Investigations and studies combining PD and TLD have already been carried out [35,36]. However, compared with TLD and TMD, which have matured as technologies and have been applied in a large number of actual engineering projects, the total number of studies on this new kind of combined damper type is relatively small, and their results have been narrow in scope; i.e., there is still room to improve the performance of this damping system. In addition, the structural forms involved in the existing studies are mainly focused on concrete and reinforced concrete structures, which is far from sufficient given the array of materials utilized in actual projects.
Therefore, based on the previous research study, a combination damper system of TLD and PD is proposed in this paper; the system is named PDAL (tuned particle damper with additional liquid), and its vibration control capacity is comprehensively analyzed by utilizing the shaking table test. In this paper, the PDAL system is compared with the existing (but relatively fewer) studies of this combined damper type of PD and TLD to further verify the combination damper system’s effectiveness and to provide support for practical engineering applications. Moreover, the structural form used in this paper is a steel frame; this can further expand the application scenarios of PDAL and can function as an effective supplement to existing research given the actual engineering applications in the field.
2. Structure of PDAL System and Experimental Setup
2.1. Structure of PDAL System
In this paper, a tuned liquid damper (TLD) combined with a particle damper (PD) was used to investigate whether a structural acceleration response can be controlled or not, given the presence or absence of particles. Figure 1 shows the basic structure of the PDAL system and Figure 2 is a photo of the PDAL system attached to the testing steel frame. A box measuring 60 mm × 80 mm and some rigid balls measuring 20 mm in diameter (functioning as particles) are used for the shaking table test.
Figure 1.
Structure of PDAL system.
Figure 2.
PDAL system (actual photo).
A single-story shear-type steel frame structure model was used in this paper (shown in Figure 3). It is made of 2 mm thick steel plates on both sides and 13 mm thick floor slab made of Plexiglas. The steel frame is 32 cm in length, 11 cm in width, and 50 cm in height. The dynamic characteristics (weight, self-vibration frequency, and lateral stiffness) of the frame used in this paper are listed in Table 1. In order to model a common high-rise building in actual engineering practice, a 4 kg mass block was attached to its top in the test; hence, the measured self-oscillation frequency was reduced to 1.37 Hz.
Figure 3.
Steel frame model. (a) Experimental model; (b) schematic diagram of the experiment.
Table 1.
Dynamic characteristics of frame (without mass block).
2.2. Experimental Setup
The ground vibration and sweeping load in the test are generated by means of a Shaker II mini-shaker. The device has a maximum load capacity of 15 kg and can provide a maximum acceleration of 2.5 g.
In order to study the effect of mass ratio on PDAL, the acceleration response is observed for each operating condition by adding 1%, 2%, and 3% of the total mass in tap water, respectively. Equation (1) shows how the mass ratio is defined. In order to investigate the effect of different waves, the sine sweep wave, the Kobe wave, and the El-Centro wave are adopted as seismic wave inputs. As for the effects of the number of particles, there are four different types: 0, 3, 6, and 9.
3. Shaking Table Test Result and Discussion
3.1. Validation of PDAL’s Effectiveness
In order to better describe the damping effect of the PDAL system, the vibration damping rate () is adopted and the calculation method is shown in Equation (2). Table 2, Table 3 and Table 4 show the acceleration response results of the shaking table test under different mass ratios. Figure 4 shows the vibration damping rate of acceleration value (root mean square) under different mass ratios.
Table 2.
Acceleration Response (mass ratio: 1%).
Table 3.
Acceleration Response (mass ratio: 2%).
Table 4.
Acceleration Response (mass ratio: 3%).
Figure 4.
Vibration damping rate of acceleration value (root mean square) under different mass ratios: (a) 1%; (b) 2%; (c) 3%.
Note the following: is the structural acceleration response when the structure is without controls; is the structural response when the structure is tested with controls.
From the tables listed above (Table 2, Table 3 and Table 4), it can be seen that, after adding the 20 mm rigid balls which function as particles inside the PDAL system, the vibration damping effect has been greatly improved. The box used in this paper is not very large, relatively speaking. Hence, the frequency of collision between particles is obvious, the direct collisions converting vibration energy into heat energy, while the violent movement of particles and liquid also evinces frictional collision, which further helps dissipate energy. Together with the inertial force and viscous damping of liquid in the PDAL, several damping effects are superimposed upon each other, and as a result, the vibration controlling effect improves significantly. Taking the Kobe wave as an example, no matter whether the mass ratio is 1%, 2%, or 3%, the root mean square damping rate can basically decrease by about 50% after adding particles and the root mean square damping rate can reach more than 60% after adding nine particles.
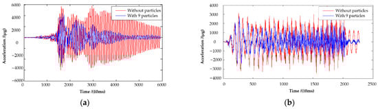
Figure 5 shows the comparison between TLD and PDAL under different waves when the mass ratio is 1%. It can be seen that the vibration control capacity of PDAL is much better than that of TLD.
Figure 5.
Acceleration responses of 1% mass ratio between TLD (without particles) and PDAL (with 9 particles): (a) Kobe wave; (b) sine sweep wave.
In general, compared with TLD, the improvement of PDAL’s damping effect is quite obvious and the damping effect of PDAL is sufficiently established in the experimental data.
3.2. Parameter Analysis
3.2.1. Particle Numbers (Filling Rate of Particles)
According to Table 2, Table 3 and Table 4, it can be seen that, with an increase in the number of particles, the damping effect of PDAL is generally strengthened. When there are nine particles inside the liquid, the possibility of collisions between particles increases; hence, the effect can be relatively better. When the number of particles is too few, the inhibition of particle movement by liquid resistance is relatively large. Although the friction between the liquid and the particles can also produce energy dissipation, it reduces the frequency of energy exchange between the particles’ collisions at the same time, meaning that the damping effect is not enhanced in this case.
However, when the density of particles is too large, particles are completely packed together, and the collision of particles is impossible. To conclude, the number of particles needs to be determined according to the actual situation.
3.2.2. Waves
Figure 6, Figure 7 and Figure 8 show acceleration responses of 3% mass ratio under different waves, which further illustrates the conclusions drawn in Section 3.2.1. It should be observed that the acceleration responses under all waves (whether with particles or without particles) are basically the same at the beginning. This demonstrates that the PDAL system is similar to TLD, both of which require a small period of time at the beginning before damper systems can play their damping roles and start to function. The reason is as set forth below: when the particles start to move, they also have to experience the process of accelerations; only when the speed of those particles reach a certain level can momentum start to exchange, making the damping effect more obvious.

Figure 6.
Acceleration responses of 3% mass ratio under sine sweep wave: (a) the particle number is 3; (b) the particle number is 6; (c) the particle number is 9.
Figure 7.
Acceleration responses of 3% mass ratio under Kobe wave: (a) the particle number is 3; (b) the particle number is 6; (c) the particle number is 9.

Figure 8.
Acceleration responses of 3% mass ratio under El-Centro wave: (a) the particle number is 3; (b) the particle number is 6; (c) the particle number is 9.
Comparing the three different waves used in this paper, it is observed that the damping effect can reach a much higher level when the structure is under the Kobe wave or the sine sweep wave. However, as for the EI-Centro wave, the PDAL system does not provide an enhanced damping effect and may even have the opposite effect (Figure 8). The opposite effect under the El-Centro wave is caused by the short time period. As mentioned in the previous section, PD, TLD, and PDAL need some time to begin to function for vibration control. As the time period of the El-Centro wave is much shorter than that of the other two waves, the liquid stops before it fully reaches its wobble frequency, and the particles cannot produce a level of impact sufficient for realizing the energy conversion wave, thus causing the PDAL system to directly enter into the “stopping” stage before it can function. Specifically, El-Centro wave’s energy input is much more concentrated than the other waves, the wave crest is also much steeper, and the peak acceleration appears relatively earlier. Hence, it is much harder to effectively excite particles for collision motion, further diminishing the damping effect of PDAL system to some extent. Hence, the ineffectiveness under El-Centro waves is much more obvious.
3.2.3. Mass Ratio
When the amount of liquid is small, the entire vibration controlling system mainly relies on particle collision to play its damping role. When the mass ratio is 2% or 3%, the damping effect can show a significant increase after the addition of the particles. Although the difference in mass ratio is not large, the degree of improvement is not as obvious as when the mass ratio is 1%.
The damping effect of PDAL has various aspects: the inertial force generated by the swaying of liquid to control the structure; the swaying of liquid within the container to generate friction to consume vibration energy; the relative motion between the sphere and the liquid to generate friction to consume vibration energy; and the collision between particles and between particle and container, resulting in vibration energy dissipation. However, the presence of liquid in the PDAL limits the movement and collision frequency of particles. Hence, during the test, it can be observed that when 3% mass ratio is used, the small balls are completely below the liquid surface and they suffer relatively large resistance caused by the liquid, reducing the collision frequency. Therefore, when compared to the results under a mass ratio of 1%, the damping effect is not greatly improved. At the same time, due to the presence of the small balls, the liquid’s surface height has increased, thus leading to a change in the self-oscillation frequency of the liquid itself. In engineering applications, the parameters of the added liquid should be redesigned accordingly.
Moreover, when a certain mass of liquid is added, the dynamic characteristics of the structure itself will be changed. Therefore, when a small rigid ball (which has much larger density than that of the liquid inside the damping system) is added, the additional mass in the upper part of the structure will also have a relatively large increase, and then there will be an inevitable change to the dynamic characteristics of the structure itself. Hence, in actual applications, it is necessary to consider the influences of many factors upon this new PDAL system in order to optimize the various influencing factors and to achieve the best damping effect.
4. Conclusions
In this paper, a new damping system (named the PDAL system) was proposed, one that combines traditional TLD and PD systems and makes full use of the advantages of both. In order to demonstrate the PDAL system’s effectiveness and superiority, a shaking table test with steel frame was conducted for preliminary analysis, and based on the experimental test results, parameter analyses were subsequently performed. The following conclusions can be drawn:
- (1)
- Compared with traditional PD and TLD systems, the PDAL system’s superiority and reliability when it was installed in a steel frame structure were well demonstrated.
- (2)
- The damping effect of PDAL is relatively insignificant in the initial time period, but the control effect upon the structural response became obvious after a few seconds. Therefore, the effect of possible input seismic waves on the damping effect needs to be taken into account in the actual design process.
- (3)
- The PDAL system is effective in controlling the structure’s vibration (not only in the steel frame structure used in this paper but also in concrete structures used in already available references [35,36]). In actual engineering applications, various parameters need to be optimized, such as particle number (filling rate of particles), liquid mass ratio, vessel size, and other aspects, in order to achieve the optimal structure control effect. Moreover, PDAL may have a certain effect on the dynamic characteristics of the structure itself. Hence when designing this kind of damping system in actual projects, the dynamic characteristics of each structure given the addition of PDAL should be analyzed in detail in order to obtain the optimal values for the influencing parameters.
There are also some limitations that merit further investigation and research. As far as the particle parameters are concerned, only the number of particles (i.e., filling rate) is considered in this paper, and the density, friction, geometry, and other coefficients of particles are not studied in depth. As far as the liquid is concerned, parameters such as viscosity and density have also not been included. Therefore, PDAL still requires further in-depth research, and these issues are the main directions for future efforts.
Author Contributions
Conceptualization, H.R. and Z.L.; methodology, H.R. and Q.F.; writing—original draft preparation, H.R. and Z.L.; writing—review and editing, H.R. and Z.L. All authors have read and agreed to the published version of the manuscript.
Funding
This research was funded by Scientific Research Fund of Institute of Engineering Mechanics, China Earthquake Administration (Grant No. 2021D22). Financial supports from the National Natural Science Foundation of China (51922080, 52178296) and Top Discipline Plan of Shanghai Universities-Class I (20223YB15) were also highly appreciated.
Institutional Review Board Statement
The study did not require ethical approval.
Informed Consent Statement
Not applicable.
Data Availability Statement
The data presented in this study are available upon request from the corresponding author.
Conflicts of Interest
The authors declare no conflict of interest.
References
- Rong, K.; Lu, Z. An improved ESM-FEM method for seismic control of particle tuned mass damper in MDOF system. Appl. Acoust. 2021, 172, 107663. [Google Scholar] [CrossRef]
- Hu, Y.W.; Liu, L.F.; Rahimi, S. Seismic Vibration Control of 3D Steel Frames with Irregular Plans Using Eccentrically Placed MR Dampers. Sustainability 2017, 9, 1255. [Google Scholar] [CrossRef] [Green Version]
- El Ouni, M.H.; Laissy, M.Y.; Ismaeil, M.; Ben Kahla, N. Effect of Shear Walls on the Active Vibration Control of Buildings. Buildings 2018, 8, 164. [Google Scholar] [CrossRef] [Green Version]
- Liu, X.; Yang, Y.; Sun, Y.; Zhong, Y.; Zhou, L.; Li, S.; Wu, C. Tuned-Mass-Damper-Inerter Performance Evaluation and Optimal Design for Transmission Line under Harmonic Excitation. Buildings 2022, 12, 435. [Google Scholar] [CrossRef]
- Housner, G.W.; Bergman, L.A.; Caughey, T.K.; Chassiakos, A.G.; Claus, R.O.; Masri, S.F.; Skelton, R.E.; Soong, T.T.; Spencer, B.F.; Yao, J.T.P. Structural Control: Past, Present, and Future. J. Eng. Mech. 1997, 123, 897–971. [Google Scholar] [CrossRef]
- Hurlebaus, S.; Gaul, L. Smart structure dynamics. Mech. Syst. Signal Process. 2006, 20, 255–281. [Google Scholar] [CrossRef]
- Reiterer, M.; Schellander, J. A Novel Single Tube Semi-Active Tuned Liquid Gas Damper for Suppressing Horizontal Vibrations of Tower-like Structures. Appl. Sci. 2022, 12, 3301. [Google Scholar] [CrossRef]
- Sadeghian, M.A.; Yang, J.; Wang, F.; Wang, X. Structural Vibration Control Using Novel Adaptive Tuned Mass Inertance Damper (ATMID) with Adjustable Inertance. Appl. Sci. 2022, 12, 4028. [Google Scholar] [CrossRef]
- Shen, Y.J.; Yang, S.P.; Xing, H.J.; Ma, H.X. Design of Single Degree-of-freedom Optimally Passive Vibration Isolation System. J. Vib. Eng. Technol. 2015, 3, 25–36. [Google Scholar]
- Nochebuena-Mora, E.; Mendes, N.; Lourenco, P.B.; Covas, J.A. Vibration control systems: A review of their application to historical unreinforced masonry buildings. J. Build. Eng. 2021, 44, 103333. [Google Scholar] [CrossRef]
- Zhao, B.; Gao, H.; Wang, Z.; Lu, Z. Shaking table test on vibration control effects of a monopile offshore wind turbine with a tuned mass damper. Wind Energy 2018, 21, 1309–1328. [Google Scholar] [CrossRef]
- Lu, Z.; Li, K.; Ouyang, Y.; Shan, J. Performance-based optimal design of tuned impact damper for seismically excited nonlinear building. Eng. Struct. 2018, 160, 314–327. [Google Scholar] [CrossRef]
- Konar, T.; Ghosh, A.D. Flow Damping Devices in Tuned Liquid Damper for Structural Vibration Control: A Review. Arch. Comput. Methods Eng. 2020, 28, 2195–2207. [Google Scholar] [CrossRef]
- Ghaedi, K.; Ibrahim, Z.; Adeli, H.; Javanmardi, A.J. Invited Review: Recent developments in vibration control of building and bridge structures. J. Vibroeng. 2017, 19, 3564–3580. [Google Scholar]
- Bigdeli, Y.; Kim, D. Damping effects of the passive control devices on structural vibration control: TMD, TLC and TLCD for varying total masses. KSCE J. Civ. Eng. 2015, 20, 301–308. [Google Scholar] [CrossRef]
- Lu, Z.; Li, K.; Zhou, Y. Comparative Studies on Structures with a Tuned Mass Damper and a Particle Damper. J. Aerosp. Eng. 2018, 31. [Google Scholar] [CrossRef]
- Shi, W.X.; Wang, L.K.; Lu, Z.; Gao, H. Study on Adaptive-Passive and Semi-Active Eddy Current Tuned Mass Damper with Variable Damping. Sustainability 2018, 10, 99. [Google Scholar] [CrossRef] [Green Version]
- Ocak, A.; Nigdeli, S.M.; Bekdaş, G.; Kim, S.; Geem, Z.W. Adaptive Harmony Search for Tuned Liquid Damper Optimization under Seismic Excitation. Appl. Sci. 2022, 12, 2645. [Google Scholar] [CrossRef]
- Luo, Z.; Yan, W.; Xu, W.; Zheng, Q.; Wang, B. Experimental research on the multilayer compartmental particle damper and its application methods on long-period bridge structures. Front. Struct. Civ. Eng. 2019, 13, 751–766. [Google Scholar] [CrossRef]
- Vandiver, J.K.; Mitome, S. Effect of liquid storage tank on the dynamic response of offshore platform. Appl. Ocean Res. 1979, 1, 67–74. [Google Scholar] [CrossRef]
- Modi, V.J.; Sun, J.; Shupe, L.S.; Solyomvari, A.S. Suppression of wind-induced instabilities using nutation dampers. Proc. Indian Acad. Sci. Sect. C: Eng. Sci. 1981, 4, 461–470. [Google Scholar] [CrossRef]
- Kareem, A.; Sun, W.J. Stochastic response of structures with fluid-containing appendages—ScienceDirect. J. Sound Vib. 1987, 119, 389–408. [Google Scholar] [CrossRef]
- Fujii, K.; Tamura, Y.; Sato, T.; Wakahara, T. Wind-induced vibration of tower and practical applications of tuned sloshing damper. J. Wind Eng. Ind. Aerodyn. 1990, 33, 263–272. [Google Scholar] [CrossRef]
- Zhu, F.; Wang, J.T.; Jin, F.; Lu, L.Q.; Gui, Y.; Zhou, M.X. Monitoring, H. Real-time hybrid simulation of the size effect of tuned liquid dampers. Struct. Control Health Monit. 2017, 24, e1962. [Google Scholar] [CrossRef]
- Lee, S.K.; Park, E.C.; Min, K.W.; Lee, S.H.; Lan, C.; Park, J.H. Real-time hybrid shaking table testing method for the performance evaluation of a tuned liquid damper controlling seismic response of building structures. J. Sound Vib. 2007, 302, 596–612. [Google Scholar] [CrossRef]
- Ashasi-Sorkhabi, A.; Malekghasemi, H.; Ghaemmaghami, A.; Mercan, O. Experimental investigations of tuned liquid damper-structure interactions in resonance considering multiple parameters. J. Sound Vib. 2016, 388, 141–153. [Google Scholar]
- Lu, Z.; Masri, S.F.; Lu, X. Parametric studies of the performance of particle dampers under harmonic excitation. Struct. Control Health Monit. 2011, 18, 79–98. [Google Scholar] [CrossRef]
- Lu, Z.; Wang, Z.; Masri, S.F.; Lu, X. Particle impact dampers: Past, present, and future. Struct. Control Health Monit. 2018, 18, e2058. [Google Scholar] [CrossRef]
- Lu, Z.; Lu, X.; Masri, S.F. Studies of the performance of particle dampers under dynamic loads. J. Sound Vib. 2010, 329, 5415–5433. [Google Scholar] [CrossRef]
- Lu, Z.; Chen, X.Y.; Zhang, D.C.; Dai, K.S. Experimental and analytical study on the performance of particle tuned mass dampers under seismic excitation. Earthq. Eng. Struct. Dyn. 2017, 46, 697–714. [Google Scholar] [CrossRef]
- Lu, Z.; Wang, D.; Li, P. Comparison Study of Vibration Control Effects between Suspended Tuned Mass Damper and Particle Damper. Shock Vib. 2014, 2014, 903780. [Google Scholar] [CrossRef] [Green Version]
- Lu, Z.; Wang, D.C.; Zhou, Y. Experimental parametric study on wind-induced vibration control of particle tuned mass damper on a benchmark high-rise building. Struct. Des. Tall Spec. Build. 2017, 26, e1359. [Google Scholar] [CrossRef]
- Rakhio, A.; Ido, Y.; Iwamoto, Y.; Toyouchi, A. Experimental and Numerical Analysis of Torque Properties of Rotary Elastomer Particle Damper considering the Effect of Gap and No Gap between Rotor and Body of the Damper. Shock Vib. 2021, 2021, 7724156. [Google Scholar] [CrossRef]
- Soto, M.G.; Adeli, H. Tuned Mass Dampers. Arch. Comput. Methods Eng. 2013, 20, 419–431. [Google Scholar] [CrossRef]
- Lu, Z.; Liao, Y.; Zhou, Y. Experimental and numerical study on vibration control effects of a compound mass damper. Struct. Des. Tall Spéc. Build. 2018, 27, e1511. [Google Scholar] [CrossRef]
- Lu, Z.; Wang, X.L.; He, R.F.; Yu, C.H.; Cheng, J. Experimental Study on Shaking Table Test of a Combined Mass Damper. In Proceedings of the 3rd International Conference on Power and Energy Systems (PES 2016), Bangkok, Thailand, 30–31 December 2016; pp. 43–46. [Google Scholar]
Publisher’s Note: MDPI stays neutral with regard to jurisdictional claims in published maps and institutional affiliations. |
© 2022 by the authors. Licensee MDPI, Basel, Switzerland. This article is an open access article distributed under the terms and conditions of the Creative Commons Attribution (CC BY) license (https://creativecommons.org/licenses/by/4.0/).