Influence of Vegetation on Outdoor Thermal Comfort in a High-Altitude Tropical Megacity: Climate Change and Variability Scenarios
Abstract
:1. Introduction
2. Materials and Methods
2.1. Study Site
2.2. Information Collection
2.3. Information Analysis
3. Results and Discussion
3.1. Urban Surface Coverage
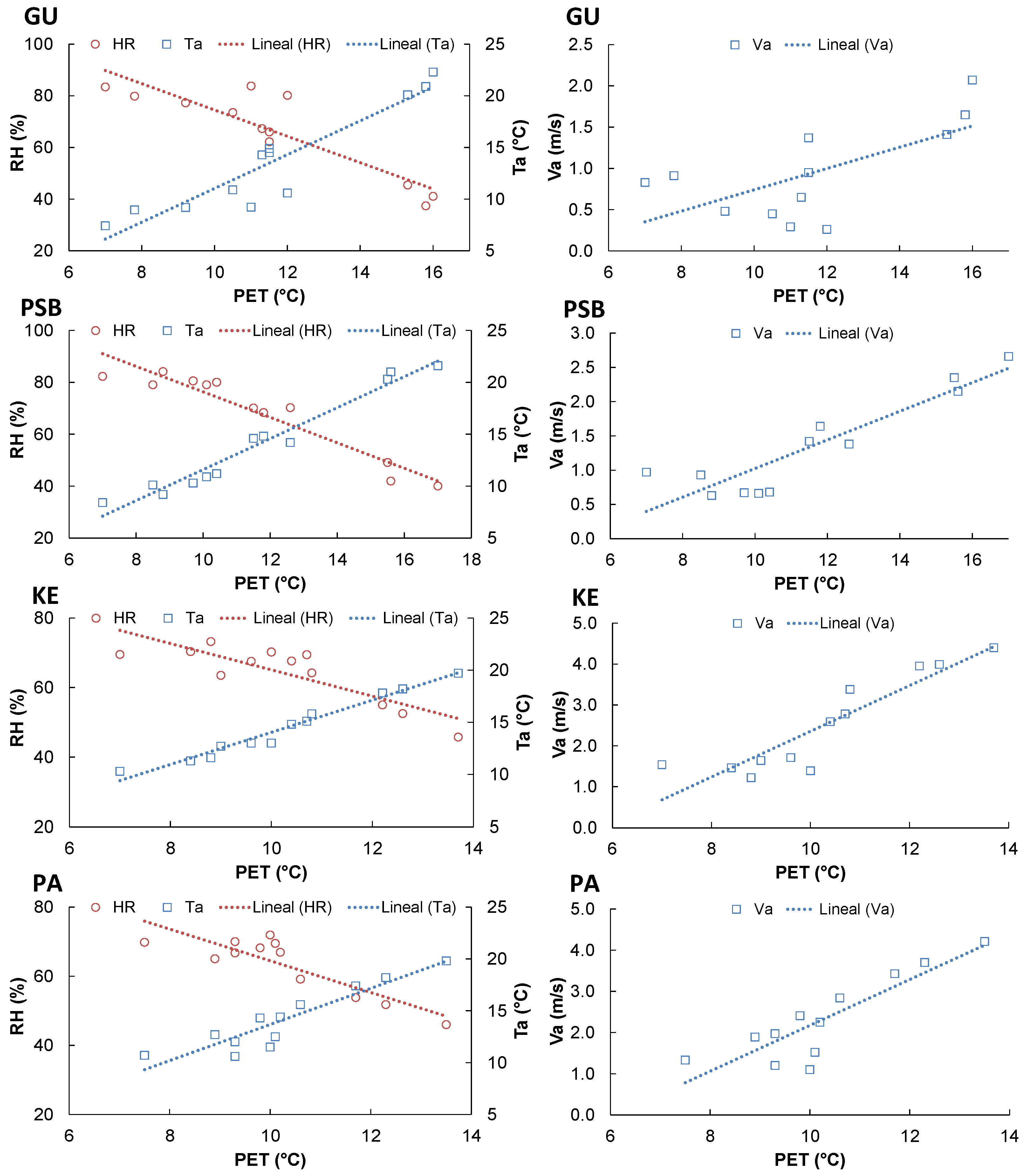
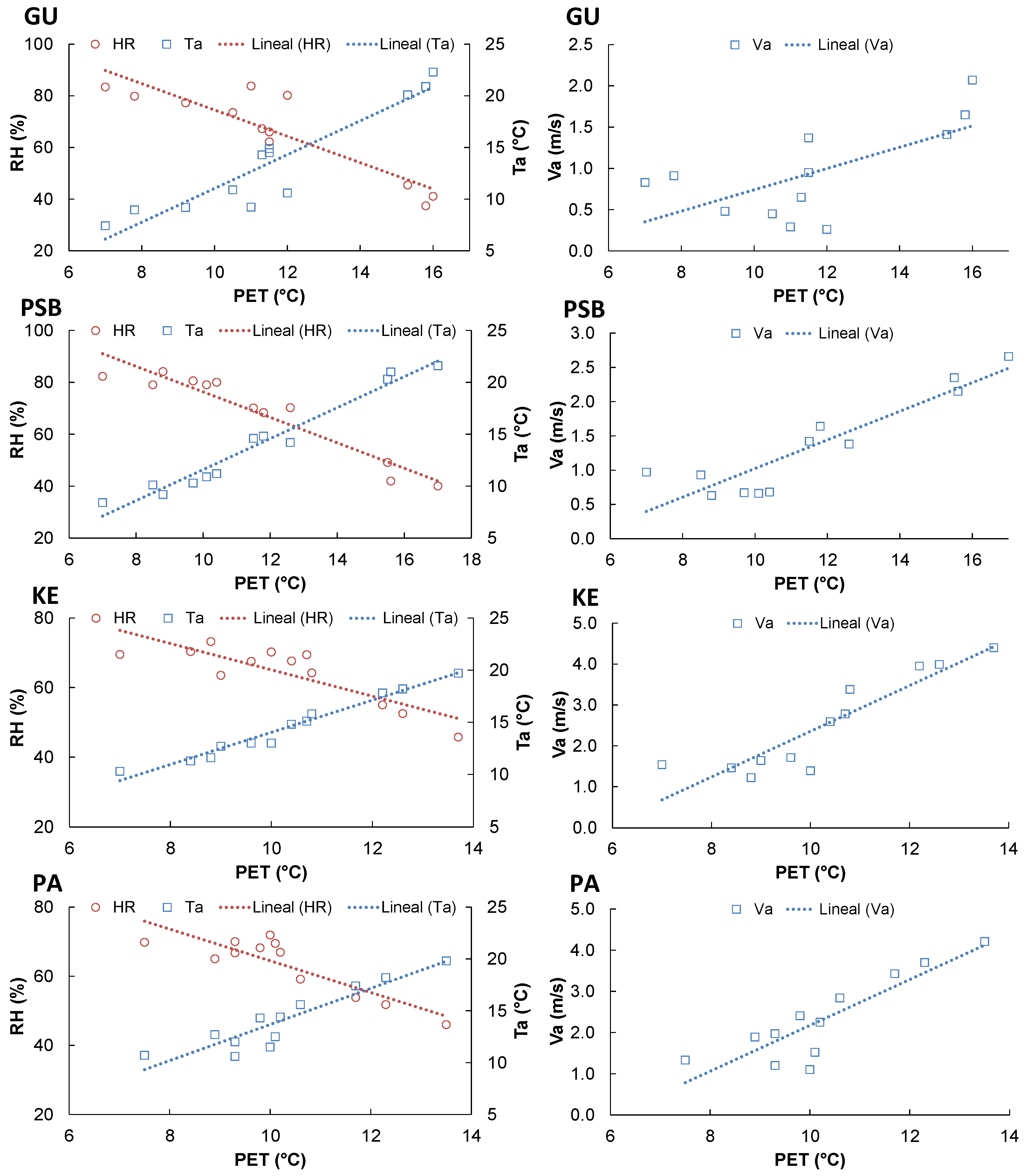
3.2. Current OTC
3.3. RCP Scenarios
3.4. ENSO Scenario
4. Conclusions
- Hourly variation range of the current OTC in urban vegetated areas is greater (+3.15 °C) compared to impervious areas. Thus, the outdoor thermal stress due to cold in vegetated areas is 1.29 °C lower compared to impervious areas.
 - The effect of vegetated coverage on the improvement of urban OTC increases as the phenomenon of global warming intensifies. On average, in the current, RCP4.5, and RCP8.5 scenarios, for each 10.0% increase in urban vegetation coverage, an increase of 0.22, 0.24, and 0.28 °C in OTC is obtained, respectively.
 - ENSO scenario has a greater negative impact on vegetated areas during the hours of lower OTC (7:00 h). Conversely, the ENSO scenario has a greater positive impact on impervious areas during the hours of greater OTC (13:00 h).
 - Hourly variation range of the PET index increases during the ENSO scenario: vegetated areas = +16.7% and impervious areas = +22.7%.
 - On average, in the ENSO scenario, for each 10.0% increase in urban vegetated coverage, an increase of 0.28 °C in OTC is obtained. This trend is like that reported in the RCP8.5 scenario.
 
Author Contributions
Funding
Institutional Review Board Statement
Informed Consent Statement
Data Availability Statement
Acknowledgments
Conflicts of Interest
References
- Brown, S.; Nicholls, R.; Lázár, A.N.; Hornby, D.; Hill, C.; Hazra, S.; Addo, K.A.; Haque, A.; Caesar, J.; Tompkins, E.L. What are the implications of sea-level rise for a 1.5, 2 and 3 °C rise in global mean temperatures in the Ganges-Brahmaputra-Meghna and other vulnerable deltas? Reg. Environ. Chang. 2018, 18, 1829–1842. [Google Scholar] [CrossRef] [Green Version]
 - Matthews, T. Humid heat and climate change. Prog. Phys. Geogr. Earth Environ. 2018, 42, 391–405. [Google Scholar] [CrossRef] [Green Version]
 - McMichael, A.J.; Woodruff, R.E.; Hales, S. Climate change and human health: Present and future risks. Lancet 2006, 367, 859–869. [Google Scholar] [CrossRef]
 - Najafzadeh, F.; Mohammadzadeh, A.; Ghorbanian, A.; Jamali, S. Spatial and Temporal Analysis of Surface Urban Heat Island and Thermal Comfort Using Landsat Satellite Images between 1989 and 2019: A Case Study in Tehran. Remote Sens. 2021, 13, 4469. [Google Scholar] [CrossRef]
 - Pigliautile, I.; Pisello, A.; Bou-Zeid, E. Humans in the city: Representing outdoor thermal comfort in urban canopy models. Renew. Sustain. Energy Rev. 2020, 133, 110103. [Google Scholar] [CrossRef]
 - Silva, J.S.; da Silva, R.M.; Santos, C.A.G. Spatiotemporal impact of land use/land cover changes on urban heat islands: A case study of Paço do Lumiar, Brazil. Build. Environ. 2018, 136, 279–292. [Google Scholar] [CrossRef]
 - Solano–Olivares, K.; Romero, R.; Santoyo, E.; Herrera, I.; Galindo–Luna, Y.; Rodríguez–Martínez, A.; Santoyo-Castelazo, E.; Cerezo, J. Life cycle assessment of a solar absorption air-conditioning system. J. Clean. Prod. 2019, 240, 118206. [Google Scholar] [CrossRef]
 - Crutzen, P.J.; Mosier, A.R.; Smith, K.A.; Winiwarter, W. N2O Release from Agro-biofuel Production Negates Global Warming Reduction by Replacing Fossil Fuels. In A Pioneer on Atmospheric Chemistry and Climate Change in the Anthropocene; Crutzen, P.J., Brauch, H.G., Eds.; Springer International Publishing: Cham, Switzerland, 2016; pp. 227–238. [Google Scholar] [CrossRef] [Green Version]
 - Tan, M.L.; Juneng, L.; Tangang, F.T.; Chung, J.X.; Firdaus, R.B.R. Changes in temperature extremes and their relationship with ENSO in Malaysia from 1985 to 2018. Int. J. Clim. 2021, 41, E2564–E2580. [Google Scholar] [CrossRef]
 - Taleghani, M. Outdoor thermal comfort by different heat mitigation strategies–A review. Renew. Sustain. Energy Rev. 2018, 81, 2011–2018. [Google Scholar] [CrossRef]
 - IPCC. Climate Change 2013—The Physical Science Basis: Working Group I; Contribution to the Fifth Assessment Report of the Intergovernmental Panel on Climate Change; Intergovernmental Panel on Climate Change, Ed.; Cambridge University Press: Cambridge, UK, 2014. [Google Scholar] [CrossRef] [Green Version]
 - Bienvenido-Huertas, D.; Rubio-Bellido, C.; Marín-García, D.; Canivell, J. Influence of the Representative Concentration Pathways (RCP) scenarios on the bioclimatic design strategies of the built environment. Sustain. Cities Soc. 2021, 72, 103042. [Google Scholar] [CrossRef]
 - Nilawar, A.P.; Waikar, M.L. Impacts of climate change on streamflow and sediment concentration under RCP 4.5 and 8.5: A case study in Purna river basin, India. Sci. Total Environ. 2019, 650, 2685–2696. [Google Scholar] [CrossRef]
 - Kim, H.G.; Lee, D.K.; Park, C.; Kil, S.; Son, Y.; Park, J.H. Evaluating landslide hazards using RCP 4.5 and 8.5 scenarios. Environ. Earth Sci. 2015, 73, 1385–1400. [Google Scholar] [CrossRef]
 - Zhou, P.; Liu, Z.; Cheng, L. An alternative approach for quantitatively estimating climate variability over China under the effects of ENSO events. Atmos. Res. 2020, 238, 104897. [Google Scholar] [CrossRef]
 - Diniz, F.R.; Iwabe, C.M.N.; Piacenti-Silva, M. Valuation of the human thermal discomfort index for the five Brazilian regions in the period of El Niño-Southern Oscillation (ENSO). Int. J. Biometeorol. 2019, 63, 1507–1516. [Google Scholar] [CrossRef] [PubMed]
 - Ren, H.-L.; Zheng, F.; Luo, J.-J.; Wang, R.; Liu, M.; Zhang, W.; Zhou, T.; Zhou, G. A Review of Research on Tropical Air-Sea Interaction, ENSO Dynamics, and ENSO Prediction in China. J. Meteorol. Res. 2019, 34, 43–62. [Google Scholar] [CrossRef]
 - McGregor, G.R.; Ebi, K. El Niño Southern Oscillation (ENSO) and Health: An Overview for Climate and Health Researchers. Atmosphere 2018, 9, 282. [Google Scholar] [CrossRef] [Green Version]
 - Johansson, E.; Thorsson, S.; Emmanuel, R.; Krüger, E. Instruments and methods in outdoor thermal comfort studies–The need for standardization. In Proceedings of the Urban Climate, ICUC8: The 8th International Conference on Urban Climate and the 10th Symposium on the Urban Environment, Dublin, Ireland, 1 January 2014; Volume 10, pp. 346–366. [Google Scholar] [CrossRef] [Green Version]
 - Shooshtarian, S.; Lam, C.K.C.; Kenawy, I. Outdoor thermal comfort assessment: A review on thermal comfort research in Australia. Build. Environ. 2020, 177, 106917. [Google Scholar] [CrossRef]
 - Tahbaz, M. Psychrometric chart as a basis for outdoor thermal analysis. Iran Univ. Sci. Technol. 2011, 21, 95–109. [Google Scholar]
 - Tung, C.-H.; Chen, C.-P.; Tsai, K.-T.; Kántor, N.; Hwang, R.-L.; Matzarakis, A.; Lin, T.-P. Outdoor thermal comfort characteristics in the hot and humid region from a gender perspective. Int. J. Biometeorol. 2014, 58, 1927–1939. [Google Scholar] [CrossRef] [PubMed]
 - Haldi, F.; Robinson, D. Modelling occupants’ personal characteristics for thermal comfort prediction. Int. J. Biometeorol. 2011, 55, 681–694. [Google Scholar] [CrossRef] [PubMed]
 - Patiño, E.D.L.; Vakalis, D.; Touchie, M.; Tzekova, E.; Siegel, J. Thermal comfort in multi-unit social housing buildings. Build. Environ. 2018, 144, 230–237. [Google Scholar] [CrossRef]
 - Golasi, I.; Salata, F.; Vollaro, E.D.L.; Coppi, M.; Vollaro, A.D.L. Thermal Perception in the Mediterranean Area: Comparing the Mediterranean Outdoor Comfort Index (MOCI) to Other Outdoor Thermal Comfort Indices. Energies 2016, 9, 550. [Google Scholar] [CrossRef] [Green Version]
 - Zain, Z.M.; Taib, M.N.; Baki, S.M.S. Hot and humid climate: Prospect for thermal comfort in residential building. In Proceedings of the Ninth Arab International Conference on Solar Energy (AICSE-9), Manama, Bahrain, 30 April 2007; Volume 209, pp. 261–268. [Google Scholar] [CrossRef]
 - Aljawabra, F.; Nikolopoulou, M. Influence of hot arid climate on the use of outdoor urban spaces and thermal com-fort: Do cultural and social backgrounds matter? Intell. Build. Int. 2010, 2, 198–217. [Google Scholar] [CrossRef]
 - Lai, D.; Liu, W.; Gan, T.; Liu, K.; Chen, Q. A review of mitigating strategies to improve the thermal environment and thermal comfort in urban outdoor spaces. Sci. Total Environ. 2019, 661, 337–353. [Google Scholar] [CrossRef]
 - IDEAM. La Variabilidad Climática y el Cambio Climático en Colombia; Instituto de Hidrología, Me-Teorología y Estudios Ambientales: Bogotá, Colombia, 2018. [Google Scholar]
 - IDEAM. Modelo Institucional del IDEAM Sobre el Efecto Climático de los Fenómenos El Niño y La Niña en Colombia (No. 063–2007); Instituto de Hidrología, Meteorología y Estudios Ambientales: Bogotá, Colombia, 2007. [Google Scholar]
 - Ramírez-Aguilar, E.A.; Souza, L.C.L. Urban form and population density: Influences on Urban Heat Island intensities in Bogotá, Colombia. Urban Clim. 2019, 29, 100497. [Google Scholar] [CrossRef]
 - Anselm, N.; Rojas, O.; Brokamp, G.; Schütt, B. Spatiotemporal Variability of Precipitation and Its Statistical Relations to ENSO in the High Andean Rio Bogotá Watershed, Colombia. Earth Interact. 2020, 24, 1–17. [Google Scholar] [CrossRef]
 - Ideca: Infraestructura de Datos Espaciales para el Distrito Capital. Available online: https://www.ideca.gov.co/ (accessed on 15 January 2018).
 - Meili, N.; Acero, J.A.; Peleg, N.; Manoli, G.; Burlando, P.; Fatichi, S. Vegetation cover and plant-trait effects on outdoor thermal comfort in a tropical city. Build. Environ. 2021, 195, 107733. [Google Scholar] [CrossRef]
 - Zafra, C.; Ángel, Y.; Torres, E. ARIMA analysis of the effect of land surface coverage on PM 10 concentrations in a high-altitude megacity. Atmospheric Pollut. Res. 2017, 8, 660–668. [Google Scholar] [CrossRef]
 - RMCAB: Red de Monitoreo de Calidad del Aire de Bogotá. Available online: http://201.245.192.252:81/Report/stationreport (accessed on 15 January 2018).
 - Tang, W.; Kassim, A.; Abubakar, S. Comparative studies of various missing data treatment methods–Malaysian experience. Atmos. Res. 1996, 42, 247–262. [Google Scholar] [CrossRef]
 - Li, D.; Lu, X.X.; Yang, X.; Chen, L.; Lin, L. Sediment load responses to climate variation and cascade reservoirs in the Yangtze River: A case study of the Jinsha River. Geomorphology 2018, 322, 41–52. [Google Scholar] [CrossRef]
 - Krüger, E.L.; Minella, F.O.; Matzarakis, A. Comparison of different methods of estimating the mean radiant temperature in outdoor thermal comfort studies. Int. J. Biometeorol. 2014, 58, 1727–1737. [Google Scholar] [CrossRef]
 - Sen, J.; Nag, P.K. Effectiveness of human-thermal indices: Spatio–temporal trend of human warmth in tropical India. Urban Clim. 2019, 27, 351–371. [Google Scholar] [CrossRef]
 - Farhadi, H.; Faizi, M.; Sanaieian, H. Mitigating the urban heat island in a residential area in Tehran: Investigating the role of vegetation, materials, and orientation of buildings. Sustain. Cities Soc. 2019, 46, 101448. [Google Scholar] [CrossRef]
 - Matzarakis, A.; Rutz, F.; Mayer, H. Modelling radiation fluxes in simple and complex environments: Basics of the RayMan model. Int. J. Biometeorol. 2010, 54, 131–139. [Google Scholar] [CrossRef] [Green Version]
 - Chow, W.T.; Akbar, S.N.B.A.; Heng, S.L.; Roth, M. Assessment of measured and perceived microclimates within a tropical urban forest. Urban For. Urban Green. 2016, 16, 62–75. [Google Scholar] [CrossRef] [Green Version]
 - Matzarakis, A.; Amelung, B. Physiological Equivalent Temperature as Indicator for Impacts of Climate Change on Thermal Comfort of Humans. In Seasonal Forecasts, Climatic Change and Human Health; Health and Climate, Advances in Global Change Research; Thomson, M.C., Garcia-Herrera, R., Beniston, M., Eds.; Springer: Dordrecht, The Netherlands, 2008; pp. 161–172. [Google Scholar] [CrossRef]
 - IfADo: Leibniz Research Centre for Working Environment and Human Factors. Available online: http://www.utci.org/utcineu/utcineu.php (accessed on 15 February 2019).
 - Zare, S.; Hasheminejad, N.; ElahiShirvan, H.; Hemmatjo, R.; Sarebanzadeh, K.; Ahmadi, S.; Zare, S.; Hasheminejad, N.; ElahiShirvan, H.; Hemmatjo, R.; et al. Comparing Universal Thermal Climate Index (UTCI) with selected thermal indices/environmental parameters during 12 months of the year. Weather Clim. Extrem. 2018, 19, 49–57. [Google Scholar] [CrossRef]
 - Sun, S.; Xu, X.; Lao, Z.; Liu, W.; Li, Z.; Garcia, E.H.; He, L.; Zhu, J. Evaluating the impact of urban green space and landscape design parameters on thermal comfort in hot summer by numerical simulation. Build. Environ. 2017, 123, 277–288. [Google Scholar] [CrossRef]
 - Aminipouri, M.; Rayner, D.; Lindberg, F.; Thorsson, S.; Knudby, A.J.; Zickfeld, K.; Middel, A.; Krayenhoff, E.S. Urban tree planting to maintain outdoor thermal comfort under climate change: The case of Vancouver’s local climate zones. Build. Environ. 2019, 158, 226–236. [Google Scholar] [CrossRef]
 - NOAA. NOAA’s Climate Prediction Center. Available online: https://origin.cpc.ncep.noaa.gov/products/analysis_monitoring/ensostuff/ONI_v5.php (accessed on 22 March 2022).
 - Obiakor, M.O.; Ezeonyejiaku, C.D.; Mogbo, T.C. Effects of Vegetated and Synthetic (Impervious) Surfaces on the Microclimate of Urban Area. J. Appl. Sci. Environ. Manag. 2012, 16, 85–94. [Google Scholar] [CrossRef]
 - Song, J.; Wang, Z.-H. Impacts of mesic and xeric urban vegetation on outdoor thermal comfort and microclimate in Phoenix, AZ. Build. Environ. 2015, 94, 558–568. [Google Scholar] [CrossRef] [Green Version]
 - Zafra, C.; Suárez, J.; Pachón, J. Public Health Considerations for PM10 in a High-Pollution Megacity: Influences of Atmospheric Condition and Land Coverage. Atmosphere 2021, 12, 118. [Google Scholar] [CrossRef]
 





| Coverage Type | Monitoring Station | Year | ||
|---|---|---|---|---|
| 2010 | 2014 | 2017 | ||
| VC (%) | GU | 79.3 | 78.9 | 75.9 | 
| PSB | 74.0 | 73.0 | 72.3 | |
| PA | 13.7 | 22.1 | 16.9 | |
| KE | 20.7 | 24.3 | 24.2 | |
| IC (%) | GU | 16.3 | 16.8 | 19.6 | 
| PSB | 22.1 | 23.1 | 23.8 | |
| PA | 86.3 | 77.9 | 83.1 | |
| KE | 79.3 | 75.7 | 75.8 | |
| WC (%) | GU | 4.40 | 4.40 | 4.40 | 
| PSB | 3.90 | 3.90 | 3.90 | |
| Hour | Year | ENSO | Monitoring Station | ||||
|---|---|---|---|---|---|---|---|
| ONI | Category | GU | PSB | KE | PA | ||
| 1:00 | 2010 | +1.50 | El Niño—Strong | 7.80 | 8.50 | 9.00 | 8.90 | 
| 2014 | −0.40 | La Niña—Weak | 10.5 | 10.1 | 9.60 | 9.30 | |
| 2017 | −0.30 | La Niña—Weak | 12.0 | 10.4 | 10.0 | 10.1 | |
| 7:00 | 2010 | +1.50 | El Niño—Strong | 7.00 | 7.00 | 7.00 | 7.50 | 
| 2014 | −0.40 | La Niña—Weak | 9.20 | 8.80 | 8.40 | 9.30 | |
| 2017 | −0.30 | La Niña—Weak | 11.0 | 9.70 | 8.80 | 10.0 | |
| 13:00 | 2010 | +1.50 | El Niño—Strong | 16.0 | 17.0 | 13.7 | 13.5 | 
| 2014 | −0.40 | La Niña—Weak | 15.8 | 15.6 | 12.6 | 12.3 | |
| 2017 | −0.30 | La Niña—Weak | 15.3 | 15.5 | 12.2 | 11.7 | |
| 19:00 | 2010 | +1.50 | El Niño—Strong | 11.5 | 11.8 | 10.8 | 10.6 | 
| 2014 | −0.40 | La Niña—Weak | 11.5 | 11.5 | 10.7 | 9.80 | |
| 2017 | −0.30 | La Niña—Weak | 11.3 | 12.6 | 10.4 | 10.2 | |
| Min. | 7.00 | 7.00 | 7.00 | 7.50 | |||
| Max. | 16.0 | 17.0 | 13.7 | 13.5 | |||
| Range | 9.00 | 10.0 | 6.70 | 6.00 | |||
| Median | 11.6 | 11.5 | 10.3 | 10.3 | |||
Publisher’s Note: MDPI stays neutral with regard to jurisdictional claims in published maps and institutional affiliations.  | 
© 2022 by the authors. Licensee MDPI, Basel, Switzerland. This article is an open access article distributed under the terms and conditions of the Creative Commons Attribution (CC BY) license (https://creativecommons.org/licenses/by/4.0/).
Share and Cite
Bustamante-Zapata, A.M.; Zafra-Mejía, C.A.; Rondón-Quintana, H.A. Influence of Vegetation on Outdoor Thermal Comfort in a High-Altitude Tropical Megacity: Climate Change and Variability Scenarios. Buildings 2022, 12, 520. https://doi.org/10.3390/buildings12050520
Bustamante-Zapata AM, Zafra-Mejía CA, Rondón-Quintana HA. Influence of Vegetation on Outdoor Thermal Comfort in a High-Altitude Tropical Megacity: Climate Change and Variability Scenarios. Buildings. 2022; 12(5):520. https://doi.org/10.3390/buildings12050520
Chicago/Turabian StyleBustamante-Zapata, Angélica María, Carlos Alfonso Zafra-Mejía, and Hugo Alexander Rondón-Quintana. 2022. "Influence of Vegetation on Outdoor Thermal Comfort in a High-Altitude Tropical Megacity: Climate Change and Variability Scenarios" Buildings 12, no. 5: 520. https://doi.org/10.3390/buildings12050520
APA StyleBustamante-Zapata, A. M., Zafra-Mejía, C. A., & Rondón-Quintana, H. A. (2022). Influence of Vegetation on Outdoor Thermal Comfort in a High-Altitude Tropical Megacity: Climate Change and Variability Scenarios. Buildings, 12(5), 520. https://doi.org/10.3390/buildings12050520
        
                                                
