A Model Predictive Control for Heat Supply at Building Thermal Inlet Based on Data-Driven Model
Abstract
1. Introduction
2. Methodology
2.1. Prediction Model of IAT
2.1.1. LSTM Model
- (1)
- Forget gate: this gate will acquire and , and output a value between 0 and 1 through the sigmoid layer to choose to forget or remember part of the information:
- (2)
- Input gate: This gate is responsible for determining the information stored in the memory unit and consists of two main parts. The first part is called the tanh layer. and are collected to create , which is stored in the memory unit. The second part is the sigmoid layer, which obtains and to determine the information in the memory cells:
- (3)
- Memory unit: and update the memory information under this LSTM cell after passing through the forget gate and the input gate:
- (4)
- Output gate: this gate combines , , and the output prediction result :where , , , and denote the weight matrix and , , , and denote bias.

2.1.2. Model of Input and Output
2.2. Calculation of Flow Rate
2.2.1. Particle Swarm Optimization
2.2.2. Objective Function and Constraint
2.3. Calculation Process
3. Identification of IAT Prediction Model
3.1. Building Description
3.2. Data Acquisition
3.3. Results of Prediction Model
3.3.1. Performance Criteria
3.3.2. Analysis of Prediction Results
4. Control Performance Analysis
4.1. Influence of Different Disturbances on Flow Rate
4.2. Simulation Results for One Week
4.3. Simulation Result of Changing Set Temperature
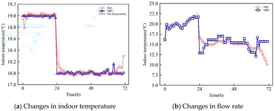
4.4. Comparison between MPC and PID
5. Conclusions
- (a)
- Different sensors were used to monitor the indoor temperature, water supply temperature, flow rate, and corresponding weather parameters of three public buildings, and the indoor temperature prediction models (LSTM and SMI) of these buildings were built. The R2 of the LSTM prediction results was about 0.9 for the three buildings. The accuracy of LSTM was better than that of the SMI, mainly because SMI was too sensitive to input parameters, but LSTM had strong robustness.
- (b)
- Model predictive control based on a particle swarm optimization algorithm was used to regulate the flow at the thermal entrance of the buildings. The influences of different disturbance factors on indoor temperature were simulated by model predictive control. It was found that the outdoor temperature, irradiation, and water supply temperature were positively correlated with the indoor temperature. Wind speed was negatively correlated with the indoor temperature. The actual weekly weather parameters were selected for simulation, and the results showed that the three buildings could effectively control the indoor temperature at the set value. In addition, when the setting temperature needed to be changed, the indoor temperature could reach the new set value in 3 h.
- (c)
- MPC was compared with the traditional PID control. Incremental PID control was adopted to ensure the steady flow rate of the system. The results showed that PID could control the flow rate well and stabilize the indoor temperature when the set temperature was unchanged. However, when the set temperature value changed, PID control responded slowly to weather parameters, leading to maladjustment.
Author Contributions
Funding
Conflicts of Interest
References
- Building Energy Research Center in Tsinghua University. China Building Energy Consumption Annual Report 2020; China Building Industrial Publishing: Beijing, China, 2020; pp. 1–6. [Google Scholar]
- Deng, Q.; Wang, G.; Wang, Y.; Zhou, H.; Ma, L. A quantitative analysis of the impact of residential cluster layout on building heating energy consumption in cold IIB regions of China. Energy Build. 2021, 253, 111515. [Google Scholar] [CrossRef]
- GB50189; Design Standard for Energy Efficiency of Public Buildings. China Academy of Building Research: Beijing, China, 2019.
- Sun, C.; Chen, J.; Cao, S.; Gao, X.; Xia, G.; Qi, C.; Wu, X. A dynamic control strategy of district heating substations based on online prediction and indoor temperature feedback. Energy 2021, 235, 121228. [Google Scholar] [CrossRef]
- Liu, L.; Fu, L.; Jiang, Y. A new “wireless on-off control” technique for adjusting and metering household heat in district heating system. Appl. Therm. Eng. 2012, 36, 202–209. [Google Scholar] [CrossRef]
- Prívara, S.; Široký, J.; Ferkl, L.; Cigler, J. Model predictive control of a building heating system: The first experience. Energy Build. 2011, 43, 564–572. [Google Scholar] [CrossRef]
- Gholamzadehmir, M.; Del Pero, C.; Buffa, S.; Fedrizzi, R.; Aste, N. Adaptive-predictive control strategy for HVAC systems in smart buildings—A review. Sustain. Cities Soc. 2020, 63, 102480. [Google Scholar] [CrossRef]
- Aghemo, C.; Virgone, J.; Fracastoro, G.; Pellegrino, A.; Blaso, L.; Savoyat, J.; Johannes, K. Management and monitoring of public buildings through ICT based systems: Control rules for energy saving with lighting and HVAC services. Front. Arch. Res. 2013, 2, 147–161. [Google Scholar] [CrossRef]
- Belic, F.; Hocenski, Z.; Sliskovic, D. HVAC control methods-A review. In Proceedings of the 19th International Conference on System Theory, Control and Computing (ICSTCC), Cheile Gradistei, Romania, 14–16 October 2015; IEEE: New York, NY, USA, 2015; pp. 679–686. [Google Scholar] [CrossRef]
- Maasoumy, M.; Sangiovanni-Vincentelli, A. Total and Peak Energy Consumption Minimization of Building HVAC Systems Using Model Predictive Control. IEEE Des. Test Comput. 2012, 29, 26–35. [Google Scholar] [CrossRef]
- Oldewurtel, F.; Parisio, A.; Jones, C.N.; Morari, M.; Gyalistras, D.; Gwerder, M.; Stauch, V.; Lehmann, B.; Wirth, K. Energy Efficient Building Climate Control Using Stochastic Model Predictive Control and Weather Predictions; IEEE: New York, NY, USA, 2010; pp. 5100–5105. [Google Scholar] [CrossRef]
- Yao, Y.; Shekhar, D.K. State of the art review on model predictive control (MPC) in Heating Ventilation and Air-conditioning (HVAC) field. Build. Environ. 2021, 200, 107952. [Google Scholar] [CrossRef]
- Nagpal, H.; Staino, A.; Basu, B. Robust model predictive control of HVAC systems with uncertainty in building parameters using linear matrix inequalities. Adv. Build. Energy Res. 2019, 14, 338–354. [Google Scholar] [CrossRef]
- Maasoumy, M.; Razmara, M.; Shahbakhti, M.; Vincentelli, A.S. Handling model uncertainty in model predictive control for energy efficient buildings. Energy Build. 2014, 77, 377–392. [Google Scholar] [CrossRef]
- Parisio, A.; Varagnolo, D.; Molinari, M.; Pattarello, G.; Fabietti, L.; Johansson, K.H. Implementation of a Scenario-based MPC for HVAC Systems: An Experimental Case Study. IFAC Proc. Vol. 2014, 47, 599–605. [Google Scholar] [CrossRef]
- ASHRAE. ASHRAE Handbook of Fundamentals. In American Society of Heating; Refrigerating, and Air Conditioning Engineering: Atlanta, GA, USA, 2013. [Google Scholar]
- Lyons, B.; O’Dwyer, E.; Shah, N. Model reduction for Model Predictive Control of district and communal heating systems within cooperative energy systems. Energy 2020, 197, 117178. [Google Scholar] [CrossRef]
- Lehmann, B.; Gyalistras, D.; Gwerder, M.; Wirth, K.; Carl, S. Intermediate complexity model for Model Predictive Control of Integrated Room Automation. Energy Build. 2013, 58, 250–262. [Google Scholar] [CrossRef]
- Fux, S.F.; Ashouri, A.; Benz, M.J.; Guzzella, L. EKF based self-adaptive thermal model for a passive house. Energy Build. 2014, 68, 811–817. [Google Scholar] [CrossRef]
- Garg, A.; Mhaskar, P. Subspace Identification-Based Modeling and Control of Batch Particulate Processes. Ind. Eng. Chem. Res. 2017, 56, 7491–7502. [Google Scholar] [CrossRef]
- Corbett, B.; Mhaskar, P. Data-Driven Modeling and Quality Control of Variable Duration Batch Processes with Discrete Inputs. Ind. Eng. Chem. Res. 2017, 56, 6962–6980. [Google Scholar] [CrossRef]
- Pippia, T.; Lago, J.; De Coninck, R.; De Schutter, B. Scenario-based nonlinear model predictive control for building heating systems. Energy Build. 2021, 247, 111108. [Google Scholar] [CrossRef]
- Patel, N.; Corbett, B.; Mhaskar, P. Model predictive control using subspace model identification. Comput. Chem. Eng. 2021, 149, 107276. [Google Scholar] [CrossRef]
- Drgoňa, J.; Picard, D.; Kvasnica, M.; Helsen, L. Approximate model predictive building control via machine learning. Appl. Energy 2018, 218, 199–216. [Google Scholar] [CrossRef]
- Killian, M.; Kozek, M. Short-term occupancy prediction and occupancy based constraints for MPC of smart homes. IFAC PapersOnLine 2019, 52, 377–382. [Google Scholar] [CrossRef]
- Garnier, A.; Eynard, J.; Caussanel, M.; Grieu, S. Predictive control of multizone heating, ventilation and air-conditioning systems in non-residential buildings. Appl. Soft Comput. 2015, 37, 847–862. [Google Scholar] [CrossRef]
- Attoue, N.; Shahrour, I.; Younes, R. Smart Building: Use of the Artificial Neural Network Approach for Indoor Temperature Forecasting. Energies 2018, 11, 395. [Google Scholar] [CrossRef]
- Lee, J.M.; Hong, S.H.; Seo, B.M.; Lee, K.H. Application of artificial neural networks for optimized AHU discharge air temperature set-point and minimized cooling energy in VAV system. Appl. Therm. Eng. 2019, 153, 726–738. [Google Scholar] [CrossRef]
- Finck, C.; Li, R.; Zeiler, W. Economic model predictive control for demand flexibility of a residential building. Energy 2019, 176, 365–379. [Google Scholar] [CrossRef]
- Delcroix, B.; Le Ny, J.; Bernier, M.; Azam, M.; Qu, B.; Venne, J.-S. Autoregressive neural networks with exogenous variables for indoor temperature prediction in buildings. Build. Simul. 2021, 14, 165–178. [Google Scholar] [CrossRef]
- Hochreiter, S.; Schmidhuber, J. Long short-term memory. Neural Comput. 1997, 9, 1735–1780. [Google Scholar] [CrossRef]
- Mtibaa, F.; Nguyen, K.-K.; Dermardiros, V.; Cheriet, M. Context-aware Model Predictive Control framework for multi-zone buildings. J. Build. Eng. 2021, 42, 102340. [Google Scholar] [CrossRef]
- Xu, C.; Chen, H.; Wang, J.; Guo, Y.; Yuan, Y. Improving prediction performance for indoor temperature in public buildings based on a novel deep learning method. Build. Environ. 2019, 148, 128–135. [Google Scholar] [CrossRef]
- Mtibaa, F.; Nguyen, K.-K.; Azam, M.; Papachristou, A.; Venne, J.-S.; Cheriet, M. LSTM-based indoor air temperature prediction framework for HVAC systems in smart buildings. Neural Comput. Appl. 2020, 32, 17569–17585. [Google Scholar] [CrossRef]
- Aoun, N.; Bavière, R.; Vallée, M.; Aurousseau, A.; Sandou, G. Modelling and flexible predictive control of buildings space-heating demand in district heating systems. Energy 2019, 188, 116042. [Google Scholar] [CrossRef]
- Hering, D.; Cansev, M.E.; Tamassia, E.; Xhonneux, A.; Müller, D. Temperature control of a low-temperature district heating network with Model Predictive Control and Mixed-Integer Quadratically Constrained Programming. Energy 2021, 224, 120140. [Google Scholar] [CrossRef]
- Liu, Z.; Zhang, H.; Wang, Y.; Song, Z.; You, S.; Jiang, Y.; Wu, Z. A thermal-hydraulic coupled simulation approach for the temperature and flow rate control strategy evaluation of the multi-room radiator heating system. Energy 2022, 246, 123347. [Google Scholar] [CrossRef]
- Vivian, J.; Quaggiotto, D.; Zarrella, A. Increasing the energy flexibility of existing district heating networks through flow rate variations. Appl. Energy 2020, 275, 115411. [Google Scholar] [CrossRef]
- Wei, W.; Wu, C.; Ni, L.; Wang, W.; Han, Z.; Zou, W.; Yao, Y. Performance optimization of space heating using variable water flow air source heat pumps as heating source: Adopting new control methods for water pumps. Energy Build. 2022, 255, 111654. [Google Scholar] [CrossRef]
- Joe, J.; Karava, P. A model predictive control strategy to optimize the performance of radiant floor heating and cooling systems in office buildings. Appl. Energy 2019, 245, 65–77. [Google Scholar] [CrossRef]
- Robillart, M.; Schalbart, P.; Chaplais, F.; Peuportier, B. Model reduction and model predictive control of energy-efficient buildings for electrical heating load shifting. J. Process Control 2019, 74, 23–34. [Google Scholar] [CrossRef]
- Asadi, E.; da Silva, M.G.; Antunes, C.H.; Dias, L.; Glicksman, L. Multi-objective optimization for building retrofit: A model using genetic algorithm and artificial neural network and an application. Energy Build. 2014, 81, 444–456. [Google Scholar] [CrossRef]
- Qiao, Y.; Zhang, S.; Wu, N.; Wang, X.; Li, Z.; Zhou, M.; Qu, T. Data-driven approach to optimal control of ACC systems and layout design in large rooms with thermal comfort consideration by using PSO. J. Clean. Prod. 2019, 236, 117578. [Google Scholar] [CrossRef]
- Coelho, J.; Oliveira, P.D.M.; Cunha, J.B. Greenhouse air temperature predictive control using the particle swarm optimisation algorithm. Comput. Electron. Agric. 2005, 49, 330–344. [Google Scholar] [CrossRef]
- Narayanan, M.; De Lima, A.; Dantas, A.D.A.; Commerell, W. Development of a Coupled TRNSYS-MATLAB Simulation Framework for Model Predictive Control of Integrated Electrical and Thermal Residential Renewable Energy System. Energies 2020, 13, 5761. [Google Scholar] [CrossRef]
- Li, Z.; Zhang, J. Study on the distributed model predictive control for multi-zone buildings in personalized heating. Energy Build. 2021, 231, 110627. [Google Scholar] [CrossRef]
- Arpaia, P.; Donnarumma, F.; Manfredi, S.; Manna, C. Model Predictive Control Strategy Based on Differential Discrete Particle Swarm Optimization; IEEE: New York, NY, USA, 2010; pp. 70–73. [Google Scholar] [CrossRef]
- Eberhart, R.; Kennedy, J. A new optimizer using particle swarm theory MHS'95. In Proceedings of the Sixth International Symposium on Micro Machine and Human Science, Nagoya, Japan, 4–6 October 1995; pp. 39–43. [Google Scholar] [CrossRef]
- Li, Z.; Zhu, H.; Zhang, J. Design and online calibration methods of pressure-independent intelligent regulating valve based on hydrodynamic resistance characteristics. Energy Build. 2020, 224, 110227. [Google Scholar] [CrossRef]
- Ma, L.; Zhang, J.; Li, Z.; Zhu, K. Simulation Research of Intelligent Regulation Method at Building Heat Entrance Based on Model Predictive Control. Build. Sci. 2021, 37, 85–93. [Google Scholar] [CrossRef]

















| Name | Area | Floors | Orientation | Heating System | Device |
|---|---|---|---|---|---|
| Building A | 9084 m2 | 5 | North and south | Vertical single-pipe system for upper supply and lower return | Radiator |
| Building B | 8352 m2 | 6 | East and west | ||
| Building C | 8233 m2 | 5 | North and south |
| Sensor | Range | Accuracy | Unit |
|---|---|---|---|
| Temperature | [−40, 80] | ±0.2 | °C |
| Wind speed | [0, 70] | ±0.3 | m/s |
| Irradiation | [0, 2000] | <5% | W/m2 |
| Building | Data Category | Min | Max | Mean | Data Number |
|---|---|---|---|---|---|
| Building A | Indoor temperature (°C) | 17.19 | 21.36 | 19.23 | Training data: 998 Test data: 80 |
| Supply water temperature (°C) | 30.95 | 49.96 | 40.64 | ||
| Return water temperature (°C) | 22.13 | 34.30 | 29.02 | ||
| Flow rate (m³/h) | 3.42 | 4.62 | 4.19 | ||
| Building B | Indoor temperature (°C) | 18.18 | 24.78 | 20.28 | Training data: 1000 Test data: 199 |
| Supply water temperature (°C) | 33.56 | 47.43 | 39.90 | ||
| Return water temperature (°C) | 31.01 | 40.24 | 35.26 | ||
| Flow rate (m³/h) | 9.19 | 12.46 | 11.02 | ||
| Building C | Indoor temperature (°C) | 16.33 | 19.67 | 18.21 | Training data: 877 Test data: 24 |
| Supply water temperature (°C) | 23.92 | 53.29 | 38.40 | ||
| Return water temperature (°C) | 19.17 | 37.51 | 28.31 | ||
| Flow rate (m³/h) | 0.10 | 7.31 | 5.47 |
| Building | ||||
|---|---|---|---|---|
| Building A | 0.90 | 0.41 | 0.09 | 0.08 |
| Building B | 0.89 | 0.24 | 0.06 | 0.02 |
| Building C | 0.88 | 0.73 | 0.21 | 0.14 |
Publisher’s Note: MDPI stays neutral with regard to jurisdictional claims in published maps and institutional affiliations. |
© 2022 by the authors. Licensee MDPI, Basel, Switzerland. This article is an open access article distributed under the terms and conditions of the Creative Commons Attribution (CC BY) license (https://creativecommons.org/licenses/by/4.0/).
Share and Cite
Ma, L.; Huang, Y.; Zhang, J.; Zhao, T. A Model Predictive Control for Heat Supply at Building Thermal Inlet Based on Data-Driven Model. Buildings 2022, 12, 1879. https://doi.org/10.3390/buildings12111879
Ma L, Huang Y, Zhang J, Zhao T. A Model Predictive Control for Heat Supply at Building Thermal Inlet Based on Data-Driven Model. Buildings. 2022; 12(11):1879. https://doi.org/10.3390/buildings12111879
Chicago/Turabian StyleMa, Liangdong, Yangyang Huang, Jiyi Zhang, and Tianyi Zhao. 2022. "A Model Predictive Control for Heat Supply at Building Thermal Inlet Based on Data-Driven Model" Buildings 12, no. 11: 1879. https://doi.org/10.3390/buildings12111879
APA StyleMa, L., Huang, Y., Zhang, J., & Zhao, T. (2022). A Model Predictive Control for Heat Supply at Building Thermal Inlet Based on Data-Driven Model. Buildings, 12(11), 1879. https://doi.org/10.3390/buildings12111879
