CFD Simulations of Snowdrifts on a Gable Roof: Impacts of Wind Velocity and Snowfall Intensity
Abstract
:1. Introduction
2. Numerical Approach
2.1. Governing Equations
2.2. Erosion and Deposition Model
3. Validation of Flow Field
3.1. Prototype of Flow Field
3.2. Computational Details
3.3. Results and Discussion
4. Validation of Snowdrift Model
4.1. Prototype of Numerical Simulation
4.2. Computational Conditions
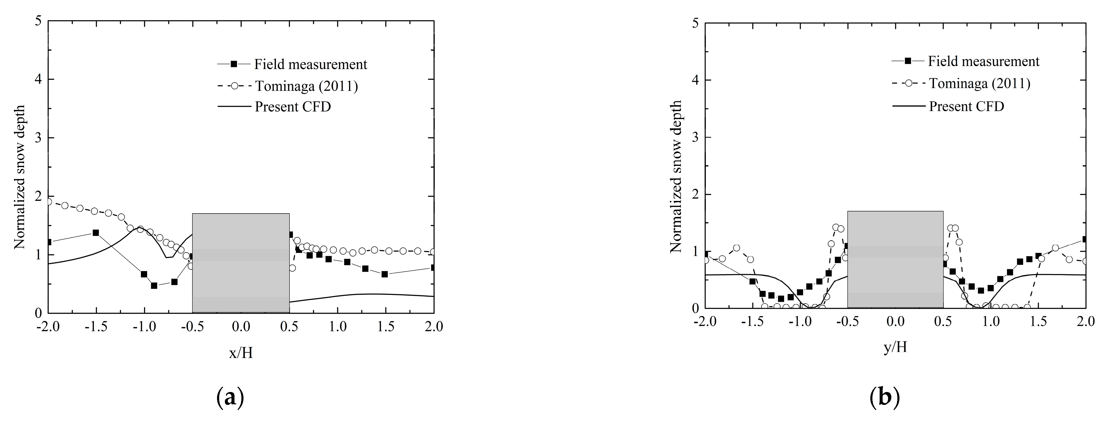
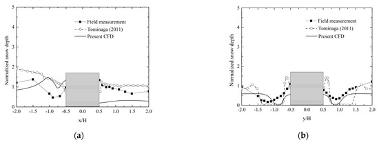
4.3. Results and Discussion
5. Snow Distribution on an Isolated Gable Roof
5.1. Outline of Computations
5.2. Impact of Wind Velocity
5.3. Impact of Snowfall Intensity
6. Conclusions
- A multiphase approach was proposed and adopted in this paper to consider the transport process of falling and drifting snow, respectively. Furthermore, additional terms are inserted into the continuous equations of snow phases to simulate the processes of snow particles being trapped or ejected by snow surface. Through the comparison with the field measurement, it is proved that the proposed approach could well predict the snow distribution.
- As for the distribution characteristics, the falling snow particles in the air are easily affected by the high-speed airflow around the building and are generally evenly distributed outside the high-speed airflow area, and the distribution characteristics are less affected by the meteorological conditions. By contrast, the drifting snow is the main reason for the uneven distribution of snow on and around the building, and its distribution characteristics are much more sensitive to meteorological conditions.
- The snowdrift patterns of gable roofs highly depend on the inflow wind velocity. When UH ≤ 3 m/s, the snow distribution on the gable roof is generally even. When the wind velocity is between 3 m/s and 5 m/s, the snow distribution on the gable roof becomes uneven. When UH > 5 m/s, snow distribution on the windward side nearly disappears, and the snow distribution on the leeward side is moved downstream further. Overall, the most adverse wind velocity range for this type of roof is between 3 m/s and 5 m/s.
- Snowfall intensity has less effect on snow distribution than inflow wind velocity. The friction velocity and normalized deposition of two kinds of snow phases are nearly not influenced by the increase in snowfall intensity. However, the normalized erosion flux decreases, due to the increase in the standard deposition flux; therefore, heavy snowfall intensity leads to more uniform snow distribution on the gable roof.
Author Contributions
Funding
Data Availability Statement
Acknowledgments
Conflicts of Interest
References
- Tsuchiya, M.; Tomabechi, T.; Hongo, T. Wind effects on snowdrift on stepped flat roofs. J. Wind Eng. Ind. Aerodyn. 2002, 90, 1881–1892. [Google Scholar] [CrossRef]
- Thiis, T.K.; Gjessing, Y. Large-scale measurements of snowdrifts around flat-roofed and single-pitch-roofed buildings. Cold Reg. Sci. Technol. 1999, 30, 175–181. [Google Scholar] [CrossRef]
- Tominaga, Y. Computational fluid dynamics simulation of snowdrift around buildings: Past achievements and future perspectives. Cold Reg. Sci. Technol. 2018, 150, 2–14. [Google Scholar] [CrossRef]
- Sun, X.Y.; He, R.J.; Wu, Y. Numerical simulation of snowdrift on a membrane roof and the mechanical performance under snow loads. Cold Reg. Sci. Technol. 2018, 150, 15–24. [Google Scholar] [CrossRef]
- Uematsu, T.; Nakata, T.; Takeuchi, K. Three-dimensional numerical simulation of snowdrift. Cold Reg. Sci. Technol. 1991, 20, 65–73. [Google Scholar] [CrossRef]
- Tominaga, Y.; Mochida, A. CFD prediction of flowfield and snowdrift around a building complex in a snowy region. J. Wind Eng. Ind. Aerodyn. 1999, 81, 273–282. [Google Scholar] [CrossRef]
- Wang, Z.S.; Huang, N. Numerical simulation of the falling snow deposition over complex terrain. J. Geophys. Res.-Atmos. 2017, 122, 980–1000. [Google Scholar] [CrossRef]
- Huang, N.; Wang, Z.S. The formation of snow streamers in the turbulent atmosphere boundary Layer. Aeolian Res. 2016, 23, 1–10. [Google Scholar] [CrossRef]
- Lee, B.; Tu, J.; Fletcher, C. On numerical modeling of particle-wall impaction in relation to erosion prediction: Eulerian versus lagrangian method. Wear 2002, 252, 179–188. [Google Scholar] [CrossRef]
- Tominaga, Y.; Okaze, T.; Mochida, A. CFD modeling of snowdrift around a building: An overview of models and evaluation of a new approach. Build. Environ. 2011, 46, 899–910. [Google Scholar] [CrossRef]
- Okaze, T.; Mochida, A.; Tominaga, Y. CFD prediction of snowdrift around a cube using two transport equations for drifting snow density. In Proceedings of the 5th International Symposium on Computational Wind Engineering, Chapel Hill, NC, USA, 23–27 May 2010. [Google Scholar]
- Kang, L.; Zhou, X.; Hooff, T. CFD simulation of snow transport over flat, uniformly rough, open terrain: Impact of physical and computational parameters. J. Wind Eng. Ind. Aerod. 2018, 177, 213–226. [Google Scholar] [CrossRef]
- Zhou, X.; Kang, L.; Gu, M. Numerical simulation and wind tunnel test for redistribution of snow on a flat roof. J. Wind Eng. Ind. Aerod. 2016, 153, 92–105. [Google Scholar] [CrossRef]
- Tominaga, Y.; Okaze, T.; Mochida, A. CFD simulation of drift snow loads for an isolated gable-roof building. In Proceedings of the 8th International Conference on Snow Engineering, Nantes, France, 14–17 June 2016. [Google Scholar]
- Zhou, X.; Zhang, Y.; Gu, M. Coupling a snowmelt model with a snowdrift model for the study of snow distribution on roofs. J. Wind Eng. Ind. Aerod. 2018, 182, 235–251. [Google Scholar] [CrossRef]
- Zhou, X.; Zhang, Y.; Kang, L. CFD simulation of snow redistribution on gable roofs: Impact of roof slope. J. Wind Eng. Ind. Aerod. 2019, 185, 16–32. [Google Scholar] [CrossRef]
- Yu, Z.X.; Zhu, F.; Cao, R. Wind tunnel tests and CFD simulations for snow redistribution on roofs 3D stepped flat roofs. Wind Struct. 2019, 28, 31–47. [Google Scholar]
- Zhang, G.L.; Zhang, Q.W.; Fan, F. Numerical Simulations of Development of Snowdrifts on Long-Span Spherical Roofs. Cold Reg. Sci. Technol. 2021, 182, 103–211. [Google Scholar] [CrossRef]
- Zhang, G.L.; Zhang, Q.W.; Fan, F. Numerical simulations of snowdrift characteristics on multi-span arch roofs. J. Wind Eng. Ind. Aerod. 2021, 212, 104593. [Google Scholar] [CrossRef]
- Yin, Z.; Zhang, Q.; Zhang, G. CFD investigations of interference effects of building groups with flat roofs on snow load. Cold Reg. Sci. Technol. 2021, 191, 103371. [Google Scholar] [CrossRef]
- Yin, Z.; Zhang, Q.; Zhang, G. CFD simulations of interference effects of two low-rise buildings on snow load. Cold Reg. Sci. Technol. 2022, 199, 103577. [Google Scholar] [CrossRef]
- Zhang, Q.; Zhang, G.; Yin, Z. Experimental Study of Interference Effects of a High-Rise Building on the Snow Load on a Low-Rise Building with a Flat Roof. Appl. Sci. 2021, 11, 11163. [Google Scholar] [CrossRef]
- Zhang, G.L. Study on Numerical Simulation Approach of Snowdrifts and Snow Load Characteristics on Long-Span Roofs. Ph.D. Thesis, Harbin Institute of Technology, Harbin, China, 2021. (In Chinese) [Google Scholar] [CrossRef]
- Oikawa, S.; Tomabechi, T. Daily observation of snowdrifts around a model cube. In Snow Engineering; Hjorth-Hansen, H., Loset, N., Eds.; Balkema: Rotterdam, The Netherlands, 2000. [Google Scholar]
- Okaze, T.; Mochida, A.; Tominaga, Y. Modeling of drifting snow development in a boundary layer and its effects on wind field. In Proceedings of the 6th International Conference on Snow Engineering, Nantes, France, 14–17 June 2016. [Google Scholar]
- Tominaga, Y.; Mochida, A.; Yoshie, R. AIJ guidelines for practical applications of CFD to pedestrian wind environment around buildings. J. Wind Eng. Ind. Aerodyn. 2008, 96, 1749–1761. [Google Scholar] [CrossRef]
- AIJ. AIJ Recommendations for Loads on Buildings; AIJ: Tokyo, Japan, 2004. [Google Scholar]


























| Inflow velocities and turbulence of air and snow phases | represents the velocity at height of building eave, which was set at 2.5 m/s. |
| The turbulent energy and dissipation rate were given by referring to the papers [10,26]. | |
| Inflow snow concentration of different snow phases | 0.4 kg/m3 for the saltation layer (z ≤ 0.1 m) for drifting snow [10]. 0.05 kg/m3 for the suspension layer (z > 0.1 m) for falling snow [10]. |
Publisher’s Note: MDPI stays neutral with regard to jurisdictional claims in published maps and institutional affiliations. |
© 2022 by the authors. Licensee MDPI, Basel, Switzerland. This article is an open access article distributed under the terms and conditions of the Creative Commons Attribution (CC BY) license (https://creativecommons.org/licenses/by/4.0/).
Share and Cite
Zhang, G.; Zhang, Y.; Yin, Z.; Zhang, Q.; Mo, H.; Wu, J.; Fan, F. CFD Simulations of Snowdrifts on a Gable Roof: Impacts of Wind Velocity and Snowfall Intensity. Buildings 2022, 12, 1878. https://doi.org/10.3390/buildings12111878
Zhang G, Zhang Y, Yin Z, Zhang Q, Mo H, Wu J, Fan F. CFD Simulations of Snowdrifts on a Gable Roof: Impacts of Wind Velocity and Snowfall Intensity. Buildings. 2022; 12(11):1878. https://doi.org/10.3390/buildings12111878
Chicago/Turabian StyleZhang, Guolong, Yu Zhang, Ziang Yin, Qingwen Zhang, Huamei Mo, Jinzhi Wu, and Feng Fan. 2022. "CFD Simulations of Snowdrifts on a Gable Roof: Impacts of Wind Velocity and Snowfall Intensity" Buildings 12, no. 11: 1878. https://doi.org/10.3390/buildings12111878
APA StyleZhang, G., Zhang, Y., Yin, Z., Zhang, Q., Mo, H., Wu, J., & Fan, F. (2022). CFD Simulations of Snowdrifts on a Gable Roof: Impacts of Wind Velocity and Snowfall Intensity. Buildings, 12(11), 1878. https://doi.org/10.3390/buildings12111878
