Seismic Performance and Design of the Fully Assembled Precast Concrete Frame with Buckling-Restrained Braces
Abstract
1. Introduction and Background
2. Modeling and Verification
2.1. Modeling
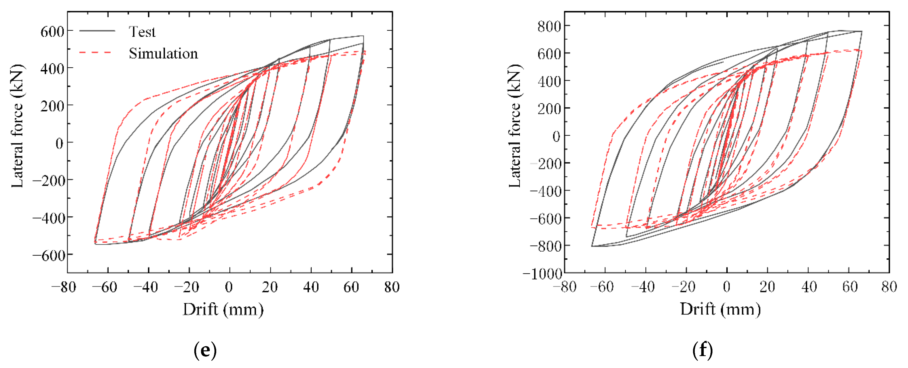
2.2. Verification
3. PCF-BRB Structure Design
3.1. BRB Design
3.2. Structure Design
4. Static Pushover Analysis
4.1. Base Shear-Vertex Displacement Curve
4.2. Plastic Hinge Development
5. Dynamic Time History Analysis
5.1. Maximum Inter-Story Drift
5.2. Energy Dissipation Ratio of BRBs
6. Recommended Range of the Stiffness Ratio
7. Conclusions
- (1)
- The simulative results have shown that with an increase in the stiffness ratio, the stiffness and strength of the PCF-BRB structure were constantly increasing. However, for the four-story PCF-BRB structure, the greater the stiffness ratio, the smaller the reduction of the average maximum inter-story drift. For the 12-story PCF-BRB structure, when the stiffness ratio was 5.0, the maximum inter-story drift reduction reached the maximum.
- (2)
- For both the 4- and 12-story PCF-BRB structures, when the stiffness ratio was over 4.0 and 5.0, respectively, the damage mechanism of the structures changed from the beam hinge damage mechanism to the beam-column hinge mixing damage mechanism. Further increasing the stiffness ratio resulted in the story-damage mechanism of the PCF-BRB structures, which significantly impacted the structural seismic performance.
- (3)
- For the 4-story PCF-BRB structure and the 12-story PCF-BRB structure, the energy dissipation ratio of BRBs reached the maximum when the stiffness ratio increased to 5.0. When the stiffness ratio continued to increase, the consumption ratio decreased instead due to the delay of BRB entering the plastic state, which led to less cost-efficiency.
- (4)
- For low-rise, PCF-BRB structures, the recommended range of stiffness ratio should be 1.5 ≤ k ≤ 3.0; for high-rise PCF-BRB structures, the recommended range of the stiffness ratio should be 3.0 ≤ k ≤ 4.0. In the lateral stiffness ratio design method, the stiffness ratio can be used for the detailed design of BRBs.
Author Contributions
Funding
Institutional Review Board Statement
Informed Consent Statement
Data Availability Statement
Acknowledgments
Conflicts of Interest
References
- Black, R.G.; Wenger, W.; Popov, E.P. Inelastic Buckling of Steel Struts under Cyclic Load Reversals. In Report No. UCB/EERC-80/40; Earthquake Engineering Research Center, University of California: Berkeley, CA, USA, 1980. [Google Scholar]
- Kimura, K.; Yoshioka, K.; Takeda, T. Tests on braces encased by mortar in-filled steel tubes. In Summaries of Technical Papers of Annual Meeting; Architectural Institute of Japan: Tokyo, Japan, 1976. [Google Scholar]
- Ozcelik, R.; Dikiciasik, Y.; Erdil, E.F. The development of the buckling restrained braces with new end restrains. J. Constr. Steel Res. 2017, 138, 208–220. [Google Scholar] [CrossRef]
- Zhou, Y.; Shao, H.; Cao, Y.; Lui, E.M. Application of buckling-restrained braces to earthquake-resistant design of buildings: A review. Eng. Struct. 2021, 246, 112991. [Google Scholar] [CrossRef]
- Ghamari, A.; Haeri, H.; Johari Naeimi, A.; Najmi, Z.; Sarfarazi, V. Behavior of double K-BRB braces under lateral loading. J. Cent. South Univ. 2021, 28, 2394–2406. [Google Scholar] [CrossRef]
- Aksoylu, C.; Özkılıç, Y.O.; Arslan, M.H. Damages on prefabricated concrete dapped-end purlins due to snow loads and a novel reinforcement detail. Eng. Struct. 2020, 225, 111225. [Google Scholar] [CrossRef]
- Gemi, L.; Aksoylu, C.; Yazman, Ş.; Özkılıç, Y.O.; Arslan, M.H. Experimental investigation of shear capacity and damage analysis of thinned end prefabricated concrete purlins strengthened by CFRP composite. Compos. Struct. 2019, 229, 111399. [Google Scholar] [CrossRef]
- Özkılıç, Y.O.; Aksoylu, C.; Arslan, M.H. Experimental and numerical investigations of steel fiber reinforced concrete dapped-end purlins. J. Build. Eng. 2021, 36, 102119. [Google Scholar] [CrossRef]
- Chaturvedi, R.; Sharma, A.; Islam, A. Design analysis of BRB energy dissipated devices in commercial building structures. Mater. Today 2021, 45, 2949–2952. [Google Scholar] [CrossRef]
- Yakhchalian, M.; Yakhchalian, M.; Asgarkhani, N. An advanced intensity measure for residual drift assessment of steel BRB frames. Bull. Earthq. Eng. 2021, 19, 1931–1955. [Google Scholar] [CrossRef]
- Zhou, X.; Sun, T.; Sun, B.; Ma, N.; Ou, J. Vibration-Reduction Strategy for High-Rise Braced Frame Using Viscoelastic-Yielding Compounded BRB. Buildings 2022, 12, 1159. [Google Scholar] [CrossRef]
- Macrae, G.; Lee, C.L.; Vazquez-Colunga, S.; Cui, J.; Alizadeh, S.; Jia, L.J. BRB system stability considering frame out-of-plane loading and deformation zone. Bull. N. Z. Soc. Earthq. Eng. 2021, 54, 31–39. [Google Scholar] [CrossRef]
- Özkılıç, Y.O. Interaction of flange and web slenderness, overstrength factor and proposed stiffener arrangements for long links. J. Constr. Steel Res. 2022, 190, 107150. [Google Scholar] [CrossRef]
- Özkılıç, Y.O.; Bozkurt, M.B.; Topkaya, C. Mid-spliced end-plated replaceable links for eccentrically braced frames. Eng. Struct. 2021, 237, 112225. [Google Scholar] [CrossRef]
- Tsai, C.Y.; Tsai, K.C.; Chen, L.W.; Wu, A.C. Seismic performance analysis of BRBs and gussets in a full-scale 2-story BRB-RCF specimen. Earthq. Eng. Struct. Dyn. 2018, 47, 2366–2389. [Google Scholar] [CrossRef]
- Bai, J.; Chen, H.; Jin, S. Investigation on the interaction between BRBs and the RC frame in BRB-RCF systems. Eng. Struct. 2021, 243, 112685. [Google Scholar] [CrossRef]
- Guerrero, H.; Teran-Gilmore, A.; Zamora, E.; Escobar, J.A.; Gómez, R. Hybrid Simulation Tests of a Soft Storey Frame Building Upgraded with a Buckling-Restrained Brace (BRB). Exp. Technol. 2020, 44, 553–572. [Google Scholar] [CrossRef]
- Oviedo-Amezquita, J.A.; Jaramillo-Santana, N.; Blandon-Uribe, C.A.; Bernal-Zuluaga, A.M. Development and validation of an acceptance criteria and damage index for buckling-restrained braces (BRB). J. Build. Eng. 2021, 43, 102534. [Google Scholar] [CrossRef]
- Guerrero, H.; Ji, T.; Escobar, J.A.; Teran-Gilmore, A. Effects of Buckling-Restrained Braces on reinforced concrete precast models subjected to shaking table excitation. Eng. Struct. 2018, 163, 294–310. [Google Scholar] [CrossRef]
- Ruiz, S.E.; Santos-Santiago, M.A.; Bojórquez, E.; Orellana, M.A.; Valenzuela-Beltrán, F.; Bojórquez, J.; Barraza, M. BRB retrofit of mid-rise soft-first-story RC moment-frame buildings with masonry infill in upper stories. J. Build. Eng. 2021, 38, 101783. [Google Scholar] [CrossRef]
- Ghazal, H.; Mwafy, A. Seismic Fragility Assessment of an Existing Multi-Span RC Bridge Equipped with Risk Mitigation Systems. Buildings 2022, 12, 982. [Google Scholar] [CrossRef]
- Cao, X.Y.; Feng, D.C.; Wu, G.; Zeng, Y.H. Reusing & replacing performances of the AB-BRB with thin-walled concrete-infilled steel shells. Thin-Walled Struct. 2020, 157, 107069. [Google Scholar] [CrossRef]
- Bashiri, M.; Toufigh, V. Numerical and experimental investigation on a BRB confined with partially carbon fiber reinforced polymer (CFRP). Eng. Struct. 2020, 223, 111150. [Google Scholar] [CrossRef]
- Al-Sadoon, Z.A.; Saboor Karzad, A.; Sagheer, A.; AlHamaydeh, M. Replaceable fuse buckling-restrained brace (BRB): Experimental cyclic qualification testing and NLFEA modeling. Structures 2022, 39, 997–1015. [Google Scholar] [CrossRef]
- ÖZkiliÇ, Y.O. The Effects of Steel Core Imperfection, Gap Size and Friction Coefficienton the Behavior of All-Steel Buckling Restrained Braces. Düzce Univ. J. Sci. Technol. 2021, 9, 1342–1357. [Google Scholar] [CrossRef]
- Miao, F.; Nejati, F.; Zubair, S.A.M.; Yassin, M.E. Seismic Performance of Eccentrical Braced Frame Retrofitted by Box Damper in Vertical Links. Buildings 2022, 12, 1506. [Google Scholar] [CrossRef]
- Özkılıç, Y.O.; Bozkurt, M.B.; Topkaya, C. Evaluation of seismic response factors for BRBFs using FEMA P695 methodology. J. Constr. Steel Res. 2018, 151, 41–57. [Google Scholar] [CrossRef]
- Zhao, Y.; Guo, Y.L. Research on design method of buckling-restrained braced frame. Build. Struct. 2010, 40, 38–43. [Google Scholar] [CrossRef]
- Shen, P.S. High-Rise Building Structure Design; China Building Industry Press: Beijing, China, 2017. [Google Scholar]
- Hong, L.L. Continuous Collapse Resistance Analysis and Overall Stability Evaluation of RC Frame Considering Floor Effect. Master’s Thesis, Hunan University, Changsha, China, 2020. [Google Scholar]
- Beijing Zhuxinda Engineering Consulting Co., Ltd. Sap2000 Technical Guide and Engineering Applications; People’s Communications Press Co., Ltd.: Beijing, China, 2018; Volume 1, pp. 283–287. [Google Scholar]
- Mander, J.B.; Priestley, M.; Park, R. Theoretical Stress-Strain Model for Confined Concrete. J. Struct. Eng. 1988, 114, 1804–1826. [Google Scholar] [CrossRef]
- GB 50010-2010; Code for Design of Concrete Structures (2015 Version). Ministry of Housing and Urban-Rural Development of the People’s Republic of China: Beijing, 2015.
- Mao, C.J. Design and Seismic Performance Analysis of New BRB Energy Dissipation Shear Wall Structure. Master’s Thesis, Zhengzhou University, Zhengzhou, China, 2017. [Google Scholar]
- Li, G.Q.; Sun, F.F.; Chen, S.W. Development and experiential study of large-tonnage domestic TJ II buckling restrained brace. Prog. Steel Build. Struct. 2009, 11, 22–26. [Google Scholar]
- Chen, Q.; Wang, C.L.; Meng, S.; Zeng, B. Effect of the unbonding materials on the mechanic behavior of all-steel buckling-restrained braces. Eng. Struct. 2016, 111, 478–493. [Google Scholar] [CrossRef]
- Gu, L.Z.; Gao, X.Y.; Xu, J.W. Experimental research on seismic performance of BRB concrete frames. J. Archit. Archit. 2011, 32, 101–111. [Google Scholar] [CrossRef]
- Wu, K.; Tao, Z.; Pan, W.; Bai, Y.; Yu, W. Experimental study on seismic performance of buckling restrained braced-RC frames with different stiffness ratios. J. Build. Struct. 2021, 42, 43–54. [Google Scholar] [CrossRef]
- Yang, X. Study on Seismic Behavior of RC Frame Structures with Few Steel Braces. Master’s Thesis, Tsinghua University, Beijing, China, 2015. [Google Scholar]
- Sahoo, D.R.; Chao, S.-H. Stiffness-Based Design for Mitigation of Residual Displacements of Buckling-Restrained Braced Frames. J. Struct. Eng. 2015, 141, 04014229. [Google Scholar] [CrossRef]
- Xu, L.; Fan, X.; Li, Z. Seismic Assessment of Buildings with Prepressed Spring Self-Centering Energy Dissipation Braces. J. Struct. Eng. 2020, 146, 04019190. [Google Scholar] [CrossRef]
- Huang, L.; Feng, P.; Zhang, J. Prefabricated Concrete Structure; China Building Industry Press: Beijing, China, 2020. [Google Scholar]
- Yu, Z.W. Study and Optimization of Seismic Performance of Planar Irregular Frame Structures. Master’s Thesis, Xi’an University of Architecture and Technology, Xi’an, China, 2010. [Google Scholar]
- Erochko, J.A. Improvements to the Design and Use of Post-Tensioned Self-Centering Energy-Dissipative (SCED) Braces. Ph.D. Thesis, University of Toronto, Toronto, Canada, 2013. [Google Scholar]
- Zhou, W.W. Influence of Frame Overturning Moment Proportion on Seismic Performance of RC Frame Shear Wall Structures. Ph.D. Thesis, Hunan University, Changsha, China, 2017. [Google Scholar]
- Antony, A.; Neeraja, N. Seismic Performance of Modular Steel Braced Building Equipped with BRB Braces. In Proceedings of the SECON’21, International Conference on Structural Engineering and Construction Management; Lecture Notes in Civil Engineering; Springer International Publishing: Berlin/Heidelberg, Germany, 2022; pp. 529–538. [Google Scholar]
- GB 50011-2010; Code for Seismic Design of Buildings (2016 Version). Ministry of Housing and Urban-Rural Development of the People’s Republic of China: Beijing, China, 2016.
- Jia, D.D. Research of Pseudo Static Test on Variable Axial Force and Rotation of Reinforced Concrete Column. Master’s Thesis, Harbin Institute of Technology, Harbin, China, 2016. [Google Scholar]
- Rahimi, A.; Maheri, M.R. The effects of retrofitting RC frames by X-bracing on the seismic performance of columns. Eng. Struct. 2018, 183, 813–830. [Google Scholar] [CrossRef]
- Saatcioglu, M.; Ozcebe, G. Response of Reinforced Concrete Columns to Simulated Seismic Loading. Aci Struct. J. 1989, 86, 3–12. [Google Scholar]




























| Specimen Name | Yield Tensile Strength of the Core Plate (MPa) | Ultimate Tensile Strength of the Core Plate (MPa) | Ultimate Strain of the Core Plate (%) |
|---|---|---|---|
| BLY225-1 | 220 | 314 | 47.7 |
| V1 | 253.1 | 435.9 | 36.8 |
| V2 | 285.1 | 426.6 | 30.8 |
| Point | BLY225-1 | V1 | V2 | |||
|---|---|---|---|---|---|---|
| Displacement (mm) | Force (kN) | Displacement (mm) | Force (kN) | Displacement (mm) | Force (kN) | |
| 1 | −100 | −8217 | −50 | −276 | −50 | −339 |
| 2 | −8.8 | −7445 | −2.2 | −249 | −3.58 | −300 |
| 3 | 0 | 0 | 0 | 0 | 0 | 0 |
| 4 | 8.8 | 7445 | 2.2 | 249 | 3.58 | 300 |
| 5 | 100 | 8217 | 50 | 276 | 50 | 339 |
| Specimen Name | Hardening Factor | Maximum Plastic Deformation at Full Hardening | Accumulated Plastic Deformation at Full Hardening | Proportion of Accumulated Plastic Deformation |
|---|---|---|---|---|
| BLY225-1 | 1.2 | 10.4 | 10.4 | 0 |
| V1 | 1.36 | 22 | 22 | 0 |
| V2 | 1.29 | 13 | 13 | 0 |
| Specimen Name | Yield Capacity of Braces (kN) | Yield Strength of Longitudinal Reinforcement (MPa) | Yield Strength of Stirrup (MPa) | Axial Compressive Strength of Concrete (MPa) |
|---|---|---|---|---|
| BRBCF3 | 360 | 345 | 345 | 30.5 |
| BRBF3 | 151 | 369 | 436 | 29.88 |
| BRBF5 | 266.4 | 369 | 436 | 29.88 |
| Point | BRBCF3 | BRBF3 | BRBF5 | |||
|---|---|---|---|---|---|---|
| Displacement (mm) | Force (kN) | Displacement (mm) | Force (kN) | Displacement (mm) | Force (kN) | |
| 1 | −100 | −588.8 | −100 | −254.25 | −100 | −453.2 |
| 2 | −3.05 | −360 | −2.84 | −151 | −2.77 | −266.4 |
| 3 | 0 | 0 | 0 | 0 | 0 | 0 |
| 4 | 3.05 | 360 | 2.84 | 151 | 2.77 | 266.4 |
| 5 | 100 | 588.8 | 100 | 254.25 | 100 | 453.2 |
| Specimen Name | Hardening Factor | Maximum Plastic Deformation at Full Hardening | Accumulated Plastic Deformation at Full Hardening | Proportion of Accumulated Plastic Deformation |
|---|---|---|---|---|
| BRBCF3 | 1.18 | 7.3 | 7.3 | 0 |
| BRBF3 | 1.22 | 13 | 13 | 0 |
| BRBF5 | 1.22 | 13 | 13 | 0 |
| Structure | Number of Floors | Column (mm) | |
|---|---|---|---|
| C1, C2, C3 | C4 | ||
| 4-story | 1 | 400 × 400 | 400 × 400 |
| 2 | 400 × 400 | 400 × 400 | |
| 3–4 | 400 × 400 | 400 × 400 | |
| 12-story | 1–3 | 700 × 700 | 550 × 550 |
| 4 | 700 × 700 | 550 × 550 | |
| 5–6 | 600 × 600 | 450 × 450 | |
| 7–8 | 600 × 600 | 450 × 450 | |
| 9 | 500 × 500 | 400 × 400 | |
| 10–12 | 500 × 500 | 400 × 400 | |
| Structure | Number of Floors | Frame Stiffness (kN/mm) | Yield Section Area (mm2) | ||||||
|---|---|---|---|---|---|---|---|---|---|
| k = 1.5 | k = 2.0 | k = 3.0 | k = 4.0 | k = 5.0 | k = 6.0 | k = 7.0 | |||
| 4-story structure | 1 | 173,503 | 1301 | 1735 | 2603 | 3471 | 4338 | 5206 | 6073 |
| 2–4 | 145,855 | 1094 | 1459 | 2188 | 2918 | 3647 | 4376 | 5106 | |
| 12-story structure | 1 | 450,831 | \ | 6763 | 9017 | 11,272 | 13,527 | 15,781 | |
| 2–4 | 166,834 | 2502 | 3337 | 4171 | 5006 | 5840 | |||
| 5–8 | 149,523 | 2243 | 2990 | 3738 | 4486 | 5234 | |||
| 9–12 | 120,673 | 1810 | 2413 | 3017 | 3621 | 4224 | |||
| Model | Fundamental Period (s) | Elastic Inter-Story Drift | Proportion of Seismic Overturning Moment Carried by Braces (%) |
|---|---|---|---|
| modal4-1.5 | 0.872 | 1/586 | 54 |
| modal4-2.0 | 0.805 | 1/640 | 60.7 |
| modal4-3.0 | 0.717 | 1/726 | 68.6 |
| modal4-4.0 | 0.654 | 1/800 | 73.7 |
| modal4-5.0 | 0.609 | 1/864 | 77.0 |
| modal4-6.0 | 0.577 | 1/917 | 79.3 |
| modal4-7.0 | 0.550 | 1/959 | 81.1 |
| modal12-3.0 | 1.747 | 1/744 | 50.5 |
| modal12-4.0 | 1.652 | 1/799 | 55.6 |
| modal12-5.0 | 1.582 | 1/847 | 59.2 |
| modal12-6.0 | 1.527 | 1/881 | 61.9 |
| modal12-7.0 | 1.481 | 1/904 | 64.1 |
| Structure | 4-Story Structure | 12-Story Structure | |||||
|---|---|---|---|---|---|---|---|
| Stiffness Ratio | Number of Floors | 1 | 2–4 | 1 | 2–4 | 5–8 | 9–12 |
| k= 1.5 | yield force (kN) | 279.81 | 235.23 | / | |||
| ultimate force (kN) | 343.76 | 288.98 | |||||
| k= 2.0 | yield force (kN) | 373.09 | 313.63 | / | |||
| ultimate force (kN) | 458.35 | 385.31 | |||||
| k= 3.0 | yield force (kN) | 559.63 | 470.45 | 1454.14 | 538.12 | 482.28 | 389.23 |
| ultimate force (kN) | 687.52 | 577.96 | 1786.46 | 661.10 | 592.50 | 478.18 | |
| k= 4.0 | yield force (kN) | 746.17 | 627.27 | 1938.85 | 717.49 | 643.04 | 518.97 |
| ultimate force (kN) | 916.69 | 770.62 | 2381.95 | 881.46 | 790.00 | 637.57 | |
| k= 5.0 | yield force (kN) | 932.72 | 784.08 | 2423.57 | 896.86 | 803.81 | 648.71 |
| ultimate force (kN) | 1145.87 | 963.27 | 2977.43 | 1101.83 | 987.50 | 796.96 | |
| k= 6.0 | yield force (kN) | 1119.26 | 940.90 | 2908.28 | 1076.24 | 964.57 | 778.45 |
| ultimate force (kN) | 1375.05 | 1155.93 | 3572.92 | 1322.19 | 1185.00 | 956.36 | |
| k= 7.0 | yield force (kN) | 1305.80 | 1097.72 | 3393.00 | 1255.61 | 1125.33 | 908.2 |
| ultimate force (kN) | 1604.22 | 1348.58 | 4168.41 | 1546.56 | 1382.50 | 1115.75 | |
Publisher’s Note: MDPI stays neutral with regard to jurisdictional claims in published maps and institutional affiliations. |
© 2022 by the authors. Licensee MDPI, Basel, Switzerland. This article is an open access article distributed under the terms and conditions of the Creative Commons Attribution (CC BY) license (https://creativecommons.org/licenses/by/4.0/).
Share and Cite
Huang, Y.; Wu, Q.; Tang, T. Seismic Performance and Design of the Fully Assembled Precast Concrete Frame with Buckling-Restrained Braces. Buildings 2022, 12, 1818. https://doi.org/10.3390/buildings12111818
Huang Y, Wu Q, Tang T. Seismic Performance and Design of the Fully Assembled Precast Concrete Frame with Buckling-Restrained Braces. Buildings. 2022; 12(11):1818. https://doi.org/10.3390/buildings12111818
Chicago/Turabian StyleHuang, Yuan, Qiming Wu, and Tuo Tang. 2022. "Seismic Performance and Design of the Fully Assembled Precast Concrete Frame with Buckling-Restrained Braces" Buildings 12, no. 11: 1818. https://doi.org/10.3390/buildings12111818
APA StyleHuang, Y., Wu, Q., & Tang, T. (2022). Seismic Performance and Design of the Fully Assembled Precast Concrete Frame with Buckling-Restrained Braces. Buildings, 12(11), 1818. https://doi.org/10.3390/buildings12111818
