Study on Flexural Performance of Prestressed Concrete Steel Strand Square Piles with Reinforcement
Abstract
1. Introduction
2. Experiment
2.1. Design of Specimens
2.2. Physical Properties of Materials
2.3. Flexural Test
2.4. Test Phenomena
3. Finite Element Analysis
3.1. Constitutive Relation of Materials
3.2. Finite Element Model
4. Bending Load Capacity
4.1. Crack Distribution
4.2. Strain Development
4.3. Comparison and Analysis of Results
5. Parametric Analysis
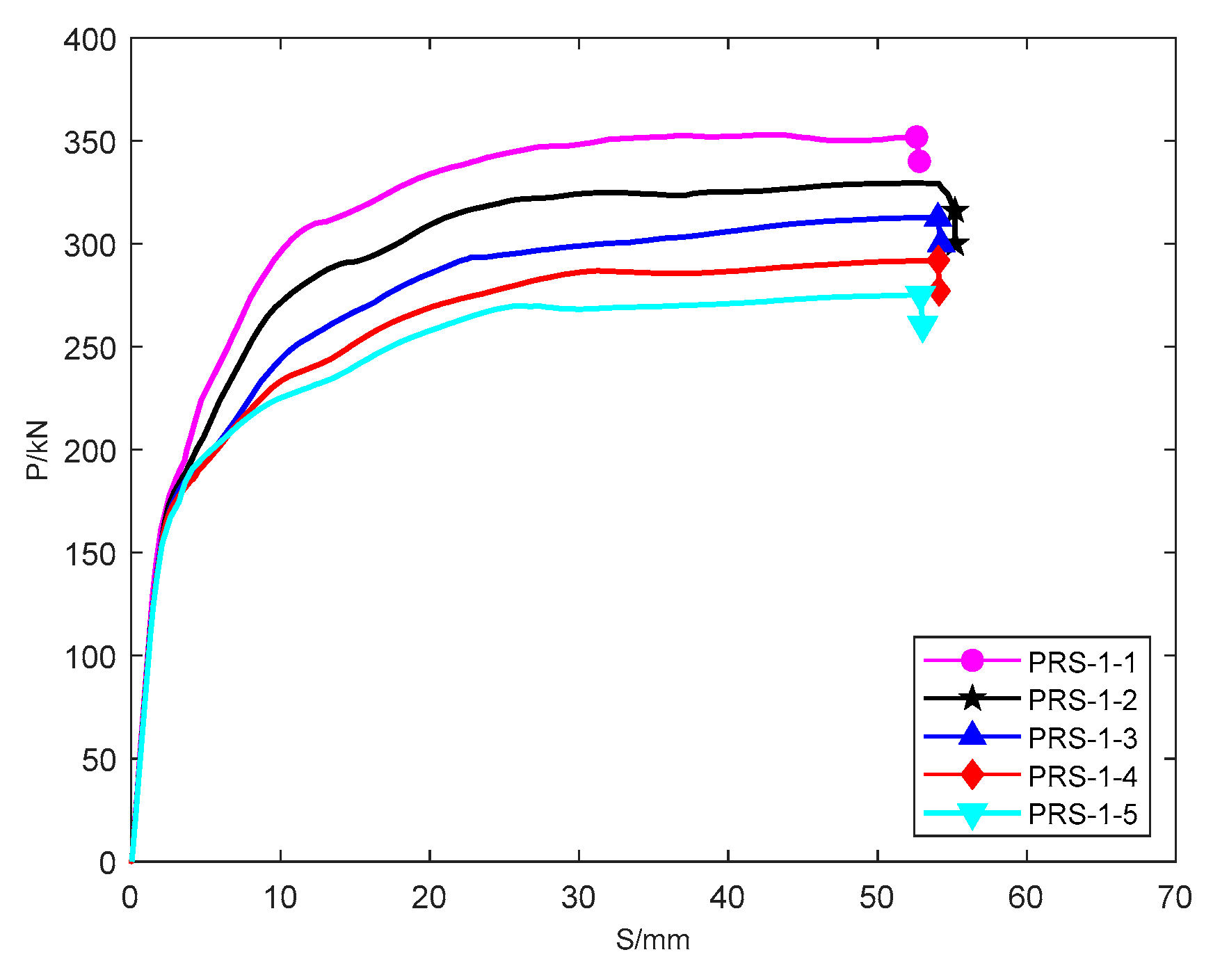
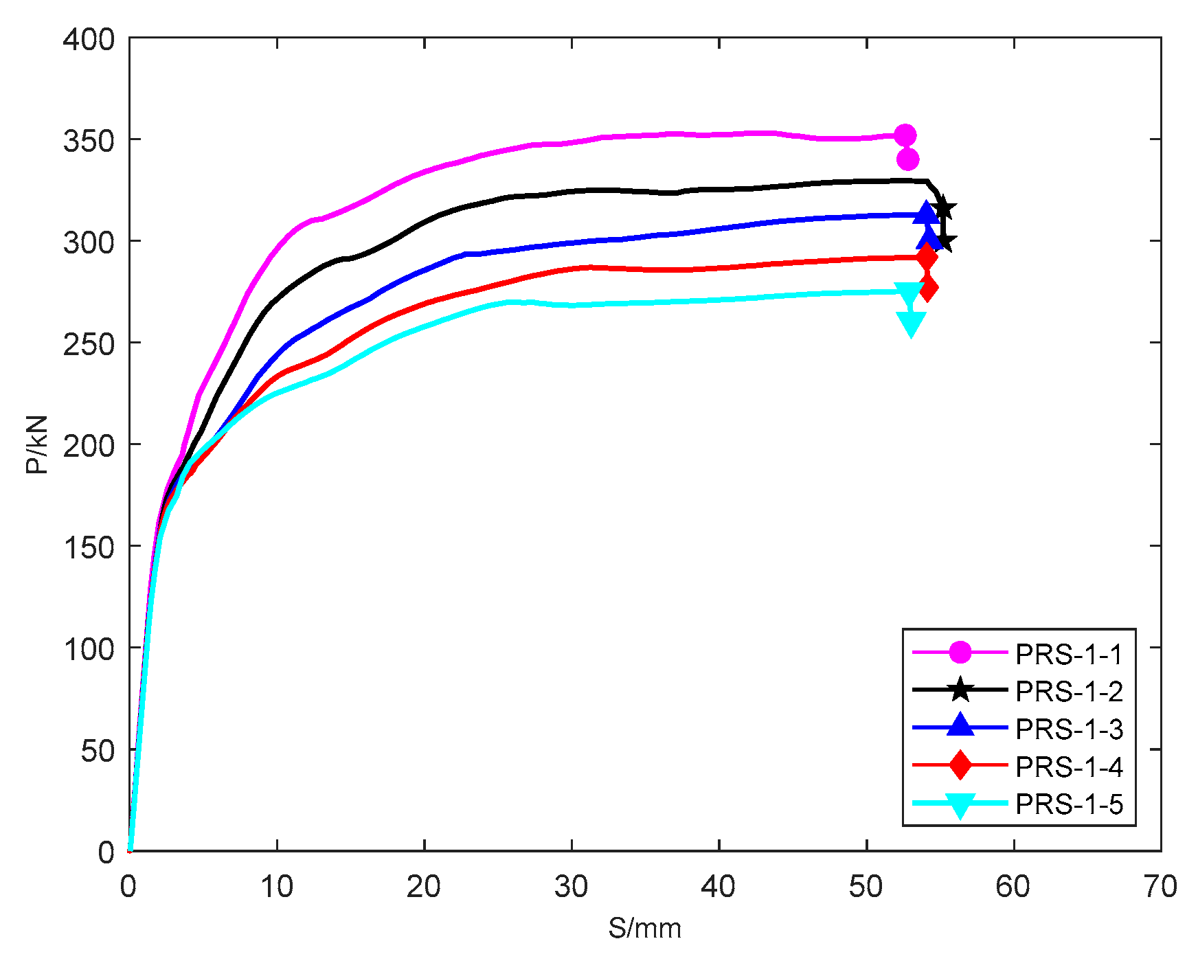
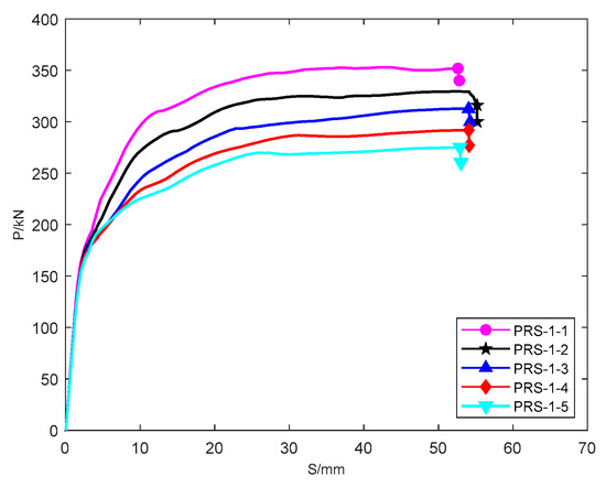
5.1. Non-Prestressed Reinforcement Ratio
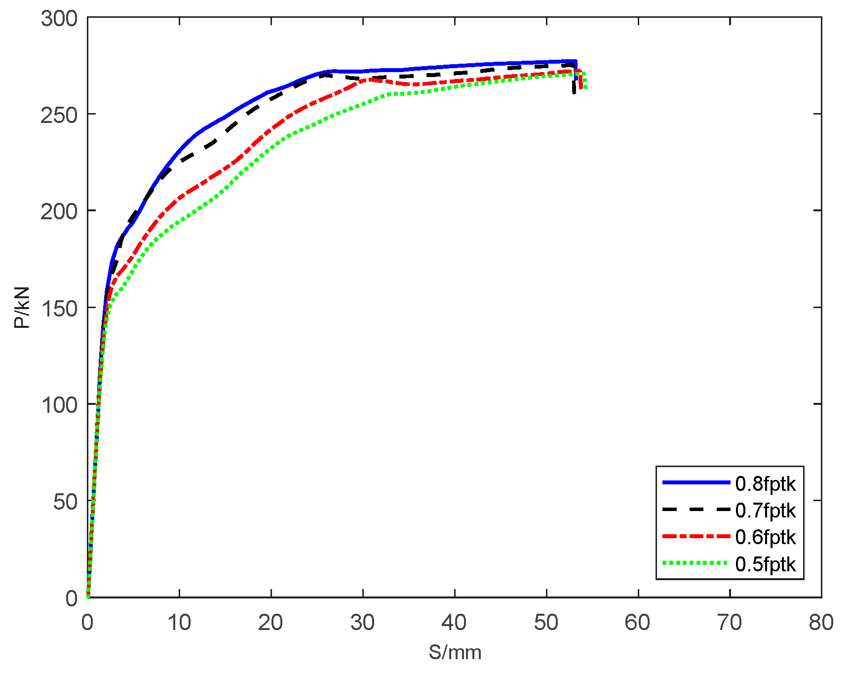
5.2. Prestressed Steel Strand Ratio
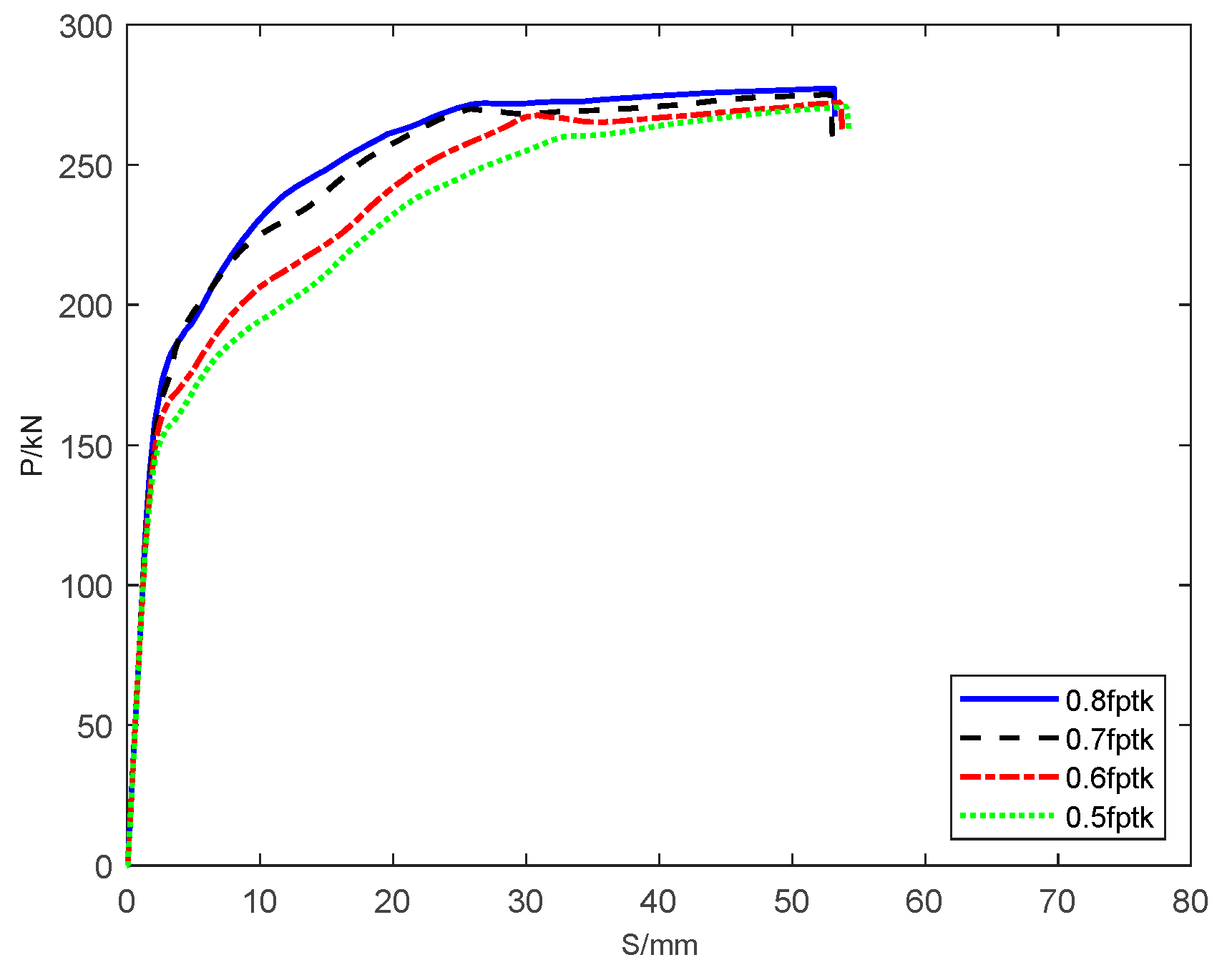
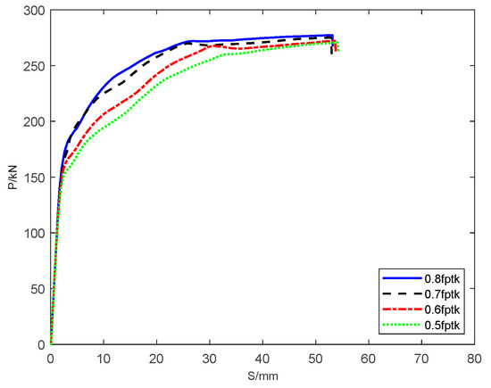
5.3. Tension Control Stress
6. Conclusions
- The non-prestressed reinforcement ratio in the PRS has a great effect on its cracking and ultimate bearing capacity, yet it has a small effect on the cracking moment. Increasing the non-prestressed reinforcement ratio can make the concrete more compressive, better at controlling the development of cracks, and improve the ultimate bearing capacity.
- The damage of specimen PRS400A1 and specimen PRS400A2 was in the form of crushing of concrete in the compressed zone. While the damage of specimen PRS400B1 and specimen PRS400B2 was in the form of non-prestressed reinforcement being pulled off. Non-prestressed reinforcement in specimen PRS400B2 work well together with the concrete. The specimen PRS400B2 can achieve its flexural loading capability well.
- The results of the finite element model are in high agreement with the experimental results. The difference between the simulated and experimental values of cracking moment is within 5% and the ultimate bending moment is within 10%. The finite element model can describe the whole process of bending of the PRS well.
- A certain amount of non-prestressed reinforcement can make full use of the stiffness of the strand square piles. The non-prestressed reinforcement allows the pile to continue to be loaded even when large deformations occur.
Author Contributions
Funding
Institutional Review Board Statement
Informed Consent Statement
Data Availability Statement
Conflicts of Interest
Nomenclature
| nominal area of reinforcing reinforcement () | |
| total maximum force elongation of reinforcing reinforcement | |
| total cross-section area of prestressed reinforcement () | |
| total cross-section area of non-prestressed reinforcement () | |
| pile section side length (mm) | |
| distance from the center of the non-prestressed reinforcement (mm) | |
| tensile damage factors in the concrete plastic damage model | |
| compressive damage factors in the concrete plastic damage model | |
| initial elastic modulus of concrete | |
| elastic modulus of reinforcing bar (GPa) | |
| the representative value of uniaxial compressive strength of concrete | |
| compressive strength of 150 × 150 × 150 mm concrete cube (MPa) | |
| compressive strength of 100 × 100 × 100 mm concrete cube (MPa) | |
| axial compressive strength of concrete (MPa) | |
| standard value of prestressed reinforcement in tension (MPa) | |
| yield strength of prestressed reinforcement (MPa) | |
| tensile strength of concrete (MPa) | |
| the representative value of uniaxial tensile strength of concrete | |
| ultimate strength of reinforcing reinforcement (MPa) | |
| yield strength of reinforcing reinforcement (MPa) | |
| hardening starting strain/yield strain | |
| peak strain/yield strain | |
| limiting strain/yield strain | |
| peak stress/yield strength | |
| length of the specimen (mm) | |
| theoretical value of cracking bending moment (kN·m) | |
| numerical value of cracking bending moment (kN·m) | |
| experimental value of cracking bending moment (kN·m) | |
| theoretical value of ultimate bending moment (kN·m) | |
| numerical value of ultimate bending moment (kN·m) | |
| experimental value of ultimate bending moment (kN·m) | |
| thickness of the end plate (mm) | |
| temperature | |
| coefficient of thermal expansion | |
| parameter of falling section of uniaxial compressive stress-strain curve of concrete | |
| parameter of falling section of uniaxial tensile stress-strain curve of concrete | |
| prestress degree | |
| strain | |
| compress strain of concrete | |
| compressive inelastic strain of concrete | |
| equivalent plastic strains of concrete in compression | |
| peak compressive strain of concrete corresponding to the uniaxial compressive strength | |
| tensile strain of concrete | |
| cracking strain of concrete | |
| equivalent plastic strains of concrete in tension | |
| peak compressive strain of concrete corresponding to the uniaxial tensile strength | |
| stress | |
| tensile control stress | |
| compressive strength of concrete (MPa) | |
| concrete effective compressive stress (MPa) | |
| tensile strength of concrete (MPa) |
References
- Gan, G.; Zeng, K.; Yu, X.; Gong, S.; Xie, J. Construction and Experimental Verification of Pretensioned Centrifugal Concrete Pile Provided with Steel Strands. China Concr. Cem. Prod. 2019, 3, 35–39. [Google Scholar]
- Irawan, C.; Suprobo, P.; Putu Raka, I.G.; Djamaluddin, R. A Review of Prestressed Concrete Pile with Circular Hollow Section (Spun Pile). J. Teknol. 2015, 72, 115–123. [Google Scholar] [CrossRef]
- Kishida, S.; Horii, M.; Kuwabara, F.; Hayashi, S. Experimental study on shear strength of the PHC pile with large diameter. J. Struct. Const. Eng. 1998, 8, 123–130. [Google Scholar] [CrossRef]
- Thusoo, S.; Kono, S.; Hamada, J.; Asai, Y. Performance of Precast Hollow Steel-Encased High-Strength Concrete Piles. Eng. Struct. 2020, 204, 109995. [Google Scholar] [CrossRef]
- Irawan, C.; Djamaluddin, R.; Raka, I.G.P.; Faimun, F.; Suprobo, P.; Soeprapto, G. The Effect of The Presence of Infilling Concrete on Flexural Performance of Spun Pile—An Experimental Study. J. Teknol. 2020, 82, 85–95. [Google Scholar] [CrossRef]
- Shishegaran, A.; Ghasemi, M.R.; Varaee, H. Performance of a novel bent-up bars system not interacting with concrete. Front. Struct. Civ. Eng. 2019, 13, 1301–1315. [Google Scholar] [CrossRef]
- Bigdeli, A.; Shishegaran, A.; Naghsh, M.A.; Karami, B.; Shishegaran, A.; Alizadeh, G. Surrogate models for the prediction of damage in reinforced concrete tunnels under internal water pressure. J. Zhejiang Univ. Sci. A 2021, 22, 632–656. [Google Scholar] [CrossRef]
- Özkılıç, Y.O.; Aksoylu, C.; Arslan, M.H. Experimental and numerical investigations of steel fiber reinforced concrete dapped-end purlins. J. Build. Eng. 2021, 36, 102–119. [Google Scholar] [CrossRef]
- Yang, Z.; Li, G.; Wang, W.; Lv, Y. Study on the flexural performance of prestressed high strength concrete pile. KSCE J. Civ. Eng. 2018, 22, 4073–4082. [Google Scholar] [CrossRef]
- Yang, Z.; Li, G.; Wang, W. Experimental investigation and nonlinear finite element analysis on seismic performance of PHC piles. Struct. Eng. 2018, 28, 475–488. [Google Scholar] [CrossRef]
- Wu, P.; Guo, Y.; Zhu, D.; Jin, W.; Zhang, Z.; Liang, R. Flexural performances of prestressed high strength concrete piles reinforced with hybrid GFRP and steel bars. Mar. Georesources Geotechnol. 2020, 38, 518–526. [Google Scholar] [CrossRef]
- Aksoylu, C.; Özkılıç, Y.O.; Arslan, M.H. Damages on prefabricated concrete dapped-end purlins due to snow loads and a novel reinforcement detail. Eng. Struct. 2020, 225, 111–225. [Google Scholar] [CrossRef]
- Özkılıç, Y.O.; Yazman, Ş.; Aksoylu, C.; Arslan, M.H.; Gemi, L. Numerical investigation of the parameters influencing the behavior of dapped end prefabricated concrete purlins with and without CFRP strengthening. Constr. Build. Mater. 2021, 275, 122–173. [Google Scholar] [CrossRef]
- Muguruma, H. Improving the Flexural Ductility of Pretensioned High Strength Spun Concrete Piles by Lateral Confining of Concrete. In Proceedings of the Pacific Conference on Earthquake Engineering, Wairakei, New Zealand, 5–8 August 1987; Volume 1, pp. 385–396. [Google Scholar]
- Budek, A.M.; Benzoni, G.; Priestley, M.J.N. Experimental Investigation of Ductility of In-Ground Hinges in Solid and Hollow Prestressed Piles; Structural Systems Research Project: San Diego, CA, USA, 1997. [Google Scholar]
- Ministry of Housing and Urban-Rural Development of the People’s Republic of China. Standard for Test Methods of Mechanical Properties on Ordinary Concrete; China Construction Industry Press: Beijing, China, 2002; pp. 12–15.
- Ministry of Housing and Urban-Rural Development of the People’s Republic of China. Test Methods of Steel for Prestressed Concrete; China Standard Press: Beijing, China, 2019; pp. 51–55.
- Ministry of Housing and Urban-Rural Development of the People’s Republic of China. Standard for Test Method of Concrete Structures; China Construction Industry Press: Beijing, China, 2012; pp. 10–18.
- Ministry of Housing and Urban-Rural Development of the People’s Republic of China. Code for Design of Concrete Structures; China Architecture and Building Press: Beijing, China, 2010; pp. 207–212.
- Lubliner, J.; Oliver, J.; Oller, S.; Oñate, E. A plastic damage model for concrete. Int. J. Solids Struct. 1989, 25, 299–326. [Google Scholar] [CrossRef]
- Lee, J.; Fenves, G.L. Plastic-damage model for cyclic loading of concrete structures. J. Mech. Eng. 1998, 124, 892–900. [Google Scholar] [CrossRef]
- Xing, X.; Li, Y.; Lei, Z. Dynamic mechanical tensile properties and intrinsic structure relationship of prestressed steel strands. China Sci. Tech. Eng. 2018, 18, 228–233. [Google Scholar]
- Esmaeily, A.; Xiao, Y. Behavior of reinforced concrete columns under variable axial loads: Analysis. ACI Struct. J. 2005, 102, 736. [Google Scholar]
- Wang, J.; Liu, L.; Shang, S. Experimental study on the effect of prestressing degree on the creep curvature of prestressed concrete beams. China Civ. Eng. J. 2010, 43, 38–48. [Google Scholar]




















| Specimen Number | L/mm | Main Reinforcement Configuration | Hoop Configuration | t/mm | |||
|---|---|---|---|---|---|---|---|
| PRS400A1 | 6000 | 297 | 8/9.5 (steel strand) + 4/12 (HRB400) | 0.274 (steel strand) + 0.283 (HRB400) | 4@100 | 18 | 2.56 |
| PRS400A2 | 6000 | 297 | 8/9.5 (steel strand) + 4/12 (HRB400) | 0.274 (steel strand) + 0.283 (HRB400) | 4@100 | 18 | 2.56 |
| PRS400B1 | 6000 | 297 | 8/9.5 (steel strand) + 4/18 (HRB400) | 0.274 (steel strand) + 0.635 (HRB400) | 4@100 | 18 | 2.29 |
| PRS400B2 | 6000 | 297 | 8/9.5 (steel strand) + 4/18 (HRB400) | 0.274 (steel strand) + 0.635 (HRB400) | 4@100 | 18 | 2.29 |
| Specification | mm2 | ||||
|---|---|---|---|---|---|
| 9.5 | 200.7 | 1697.5 | 1914.3 | 54.8 | 7.3 |
| 12 | 197.0 | 533.3 | 617.7 | 113.0 | 9.3 |
| 18 | 199.1 | 400.8 | 573.1 | 254.3 | 17.7 |
| 6 | 197.4 | 535.2 | 568.2 | 19.6 | 2.2 |
| Compressive Stress/MPa | Inelastic Strain 10−3 | Tensile Stress/MPa | 10−3 | ||
|---|---|---|---|---|---|
| 25.23 | 0 | 0 | 3.15 | 0 | 0 |
| 30.71 | 0.06 | 0.03 | 2.7 | 0.03 | 0.15 |
| 31.95 | 0.07 | 0.04 | 2.15 | 0.06 | 0.3 |
| 33.91 | 0.09 | 0.05 | 1.74 | 0.09 | 0.41 |
| 37.32 | 0.15 | 0.07 | 1.45 | 0.12 | 0.49 |
| 43.1 | 0.45 | 0.15 | 1.24 | 0.14 | 0.56 |
| 43.63 | 0.64 | 0.19 | 1.08 | 0.16 | 0.61 |
| 42.81 | 0.84 | 0.24 | 0.96 | 0.18 | 0.64 |
| 40.75 | 1.08 | 0.29 | 0.86 | 0.2 | 0.68 |
| 38.04 | 1.34 | 0.34 | 0.79 | 0.22 | 0.7 |
| 35.11 | 1.6 | 0.39 | 0.72 | 0.24 | 0.72 |
| 32.22 | 1.87 | 0.43 | 0.52 | 0.33 | 0.8 |
| 27.06 | 2.37 | 0.51 | 0.42 | 0.42 | 0.84 |
| 22.89 | 2.85 | 0.58 | 0.35 | 0.51 | 0.86 |
| 17.04 | 3.74 | 0.67 | 0.31 | 0.6 | 0.88 |
| Specification | fy/MPa | |||||
|---|---|---|---|---|---|---|
| Φs9.5 | 1697.5 | 0.0137 | 1.0 | 4.08 | 4.17 | 1.28 |
| ΦD12 | 533.3 | 0.0040 | 7.5 | 23.5 | 25.1 | 1.19 |
| ΦD18 | 415.8 | 0.0052 | 4.06 | 40.9 | 42.3 | 1.37 |
| Φb6 | 505.2 | 0.0031 | 1.0 | 13.8 | 13.9 | 1.22 |
| Specimen Number | Mcr,k (kN·m) | Mcr,e (kN·m) | Mcr,n (kN·m) | Mcr,k:Mcr,e:Mcr,n | Mu,k (kN·m) | Mu,e (kN·m) | Mu,n (kN·m) | Mu,k:Mu,e:Mu,n |
|---|---|---|---|---|---|---|---|---|
| PRS400A1 | 74 | 85.8 | 78.6 | 1:1.16:1.06 | 147.7 | 195.1 | 184.1 | 1:1.32:1.25 |
| PRS400A2 | 74 | 89.7 | 78.6 | 1:1.21:1.06 | 147.7 | 200.3 | 184.1 | 1:1.35:1.25 |
| PRS400B1 | 76 | 89.7 | 80.2 | 1:1.18:1.06 | 179.3 | 182.1 | 218.5 | 1:1.02:1.22 |
| PRS400B2 | 76 | 81.9 | 80.2 | 1:1.08:1.06 | 179.3 | 236.1 | 218.5 | 1:1.32:1.22 |
| Specimen Number | Steel Strand | Non-Prestressed Reinforcement | Pre-Stress Degree | Reinforcement Rate |
|---|---|---|---|---|
| PRS-1-1 | 89.5 | 420 | 0.56 | 1.06% |
| PRS-1-2 | 89.5 | 418 | 0.61 | 0.91% |
| PRS-1-3 | 89.5 | 416 | 0.67 | 0.78% |
| PRS-1-4 | 89.5 | 414 | 0.72 | 0.66% |
| PRS-1-5 | 89.5 | 412 | 0.78 | 0.56% |
| PRS-2-1 | 89.5 | 418 | 0.61 | 0.91% |
| PRS-2-2 | 811.1 | 418 | 0.68 | 1.01% |
| PRS-2-3 | 812.7 | 418 | 0.74 | 1.13% |
| PRS-2-4 | 815.2 | 418 | 0.80 | 1.34% |
Publisher’s Note: MDPI stays neutral with regard to jurisdictional claims in published maps and institutional affiliations. |
© 2022 by the authors. Licensee MDPI, Basel, Switzerland. This article is an open access article distributed under the terms and conditions of the Creative Commons Attribution (CC BY) license (https://creativecommons.org/licenses/by/4.0/).
Share and Cite
Wang, H.; Gan, G.; Zeng, K.; Chen, K.; Yu, X. Study on Flexural Performance of Prestressed Concrete Steel Strand Square Piles with Reinforcement. Buildings 2022, 12, 1801. https://doi.org/10.3390/buildings12111801
Wang H, Gan G, Zeng K, Chen K, Yu X. Study on Flexural Performance of Prestressed Concrete Steel Strand Square Piles with Reinforcement. Buildings. 2022; 12(11):1801. https://doi.org/10.3390/buildings12111801
Chicago/Turabian StyleWang, Hongyu, Gang Gan, Kai Zeng, Kepeng Chen, and Xiaodong Yu. 2022. "Study on Flexural Performance of Prestressed Concrete Steel Strand Square Piles with Reinforcement" Buildings 12, no. 11: 1801. https://doi.org/10.3390/buildings12111801
APA StyleWang, H., Gan, G., Zeng, K., Chen, K., & Yu, X. (2022). Study on Flexural Performance of Prestressed Concrete Steel Strand Square Piles with Reinforcement. Buildings, 12(11), 1801. https://doi.org/10.3390/buildings12111801

