Design Equations for Predicting Stability of Unlined Horseshoe Tunnels in Rock Masses
Abstract
1. Introduction
2. Hoek–Brown (HB) Failure Criterion
3. Problem Statement
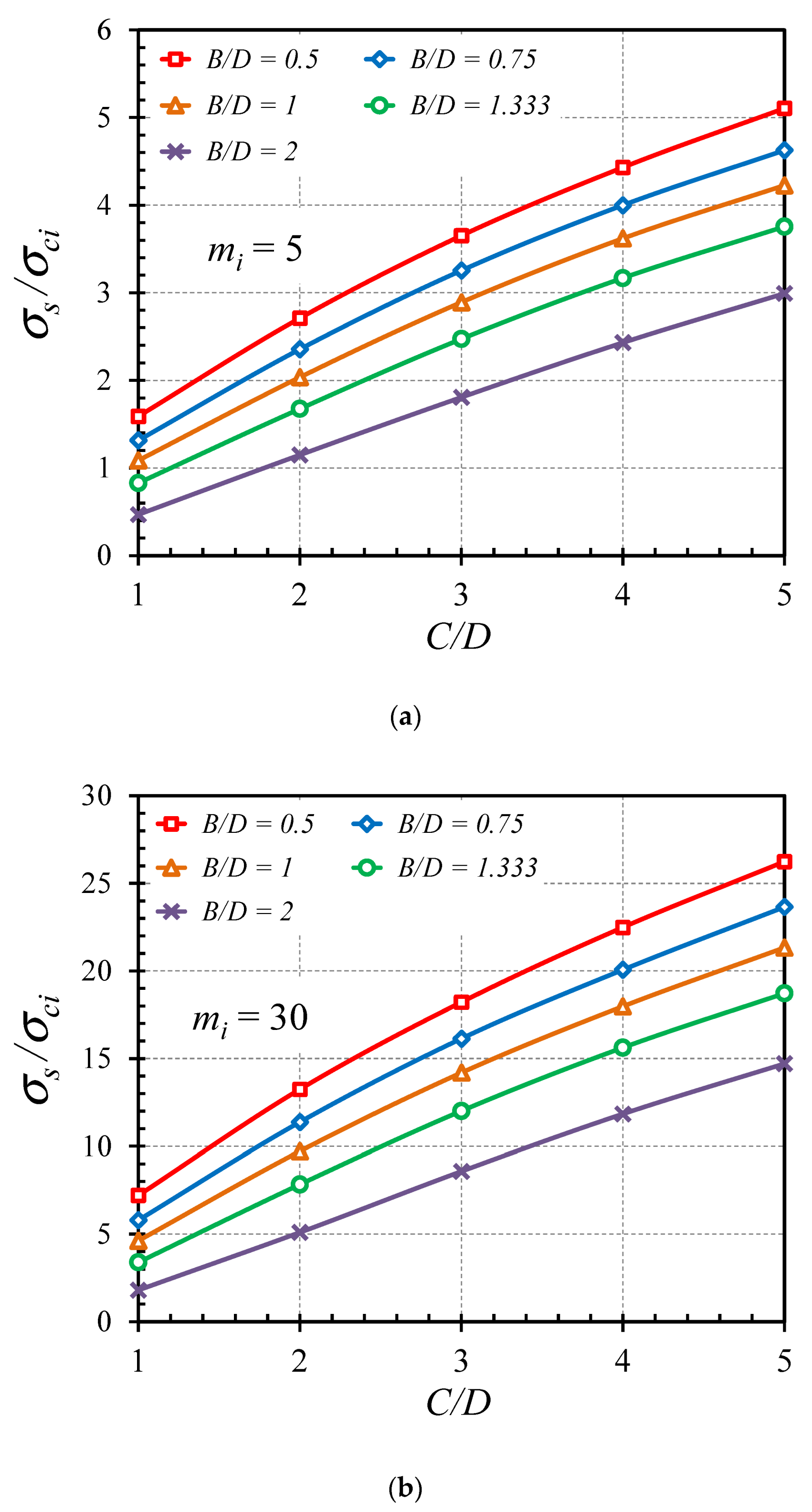
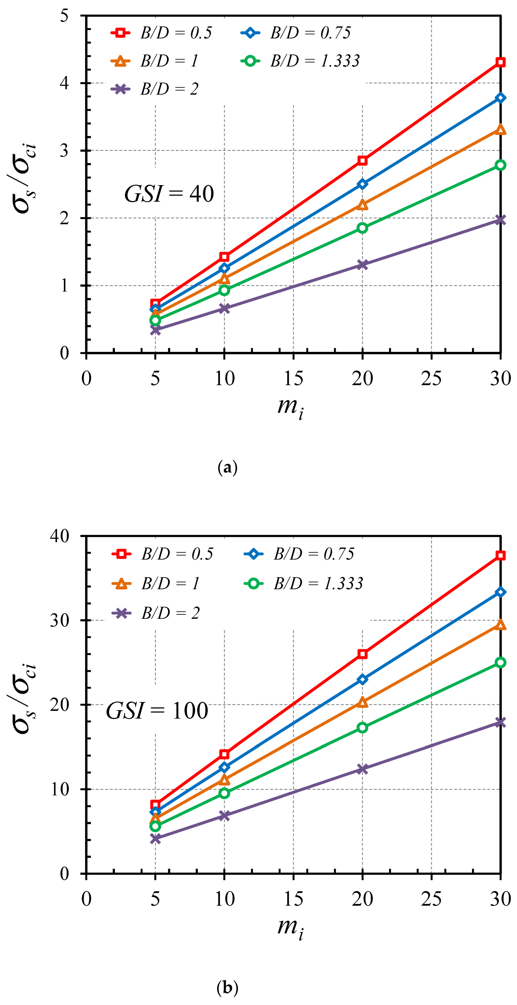
- The tunnel cover-depth ratio of C/D = 1–5.
- The tunnel width ratio of B/D = 0.5, 0.75, 1, 1.333, and 2.
- The yield parameter mi is set to be mi = 5–30.
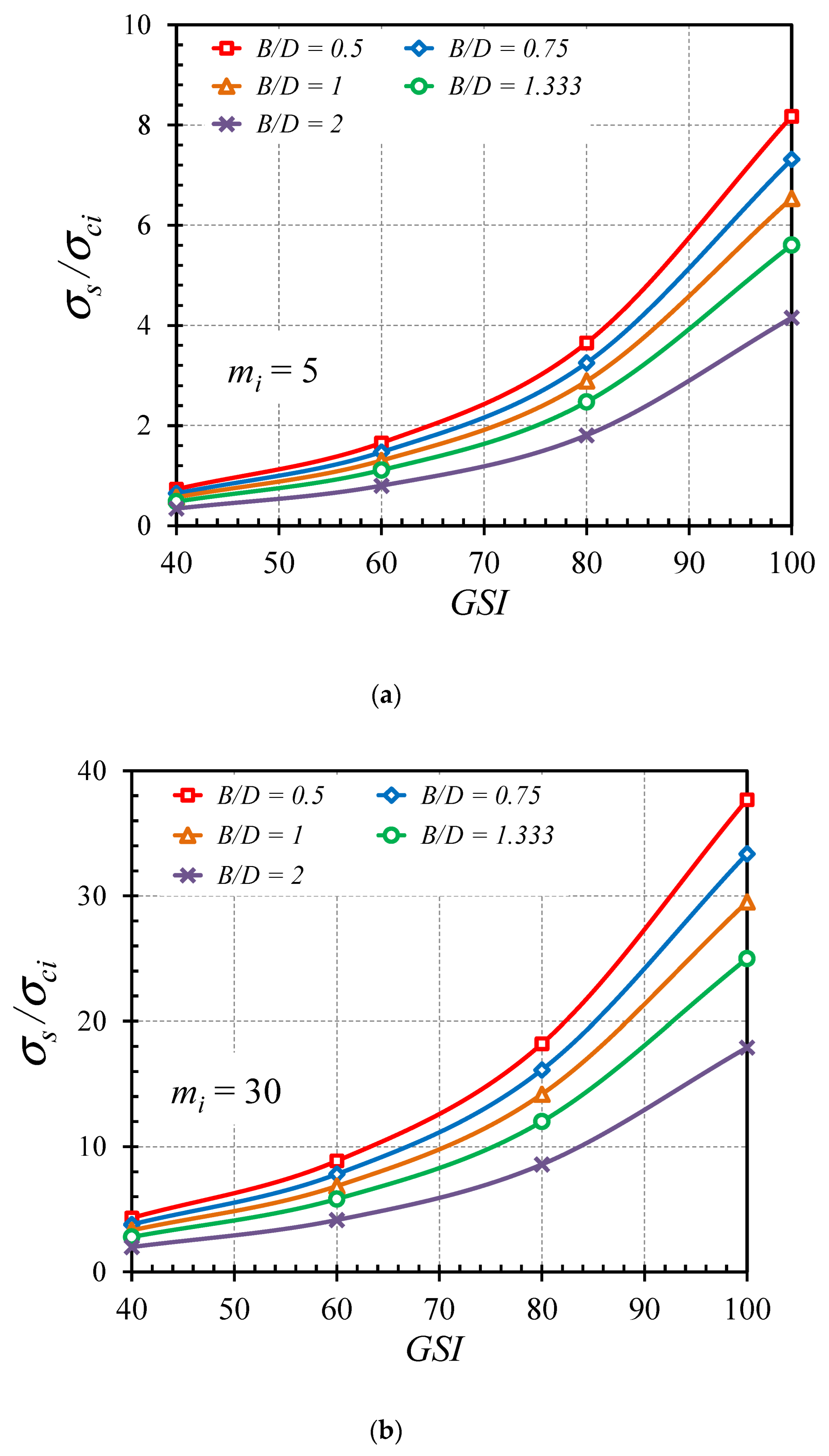
- The range of the GSI is set to be 40–100.
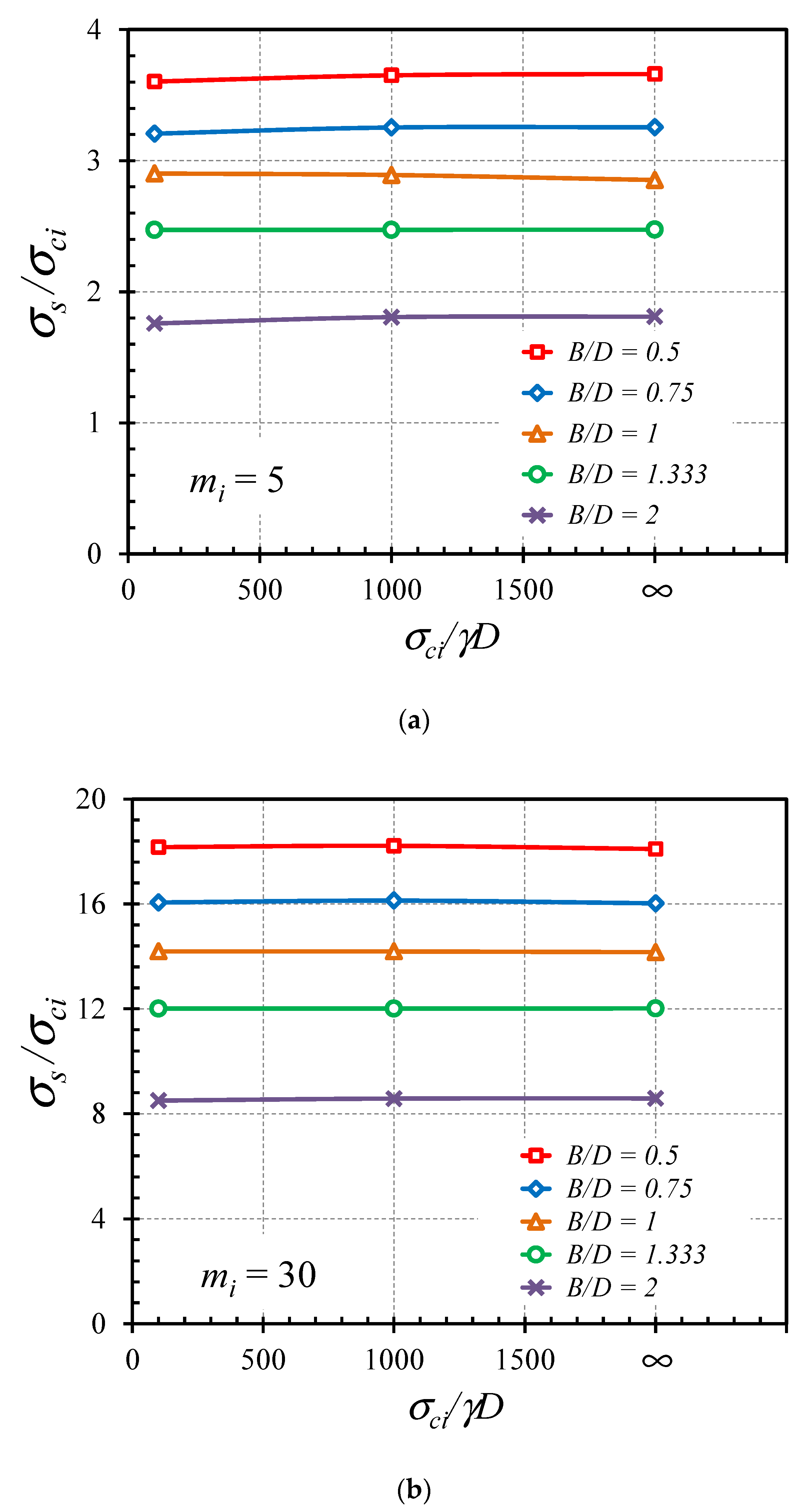
- The rock’s unit weight is in the range from 22–30 kN/m3 while the uniaxial compressive strength is taken in the range from σci = 0.25–250 MPa for weak to strong rocks. As a result, the dimensionless parameter σci/γD is set to be 100–∞, where the case of σci/γD = ∞ correlates to exceptionally high strength rock masses (σci is quite huge).
4. Finite-Element-Limit Analysis (FELA)
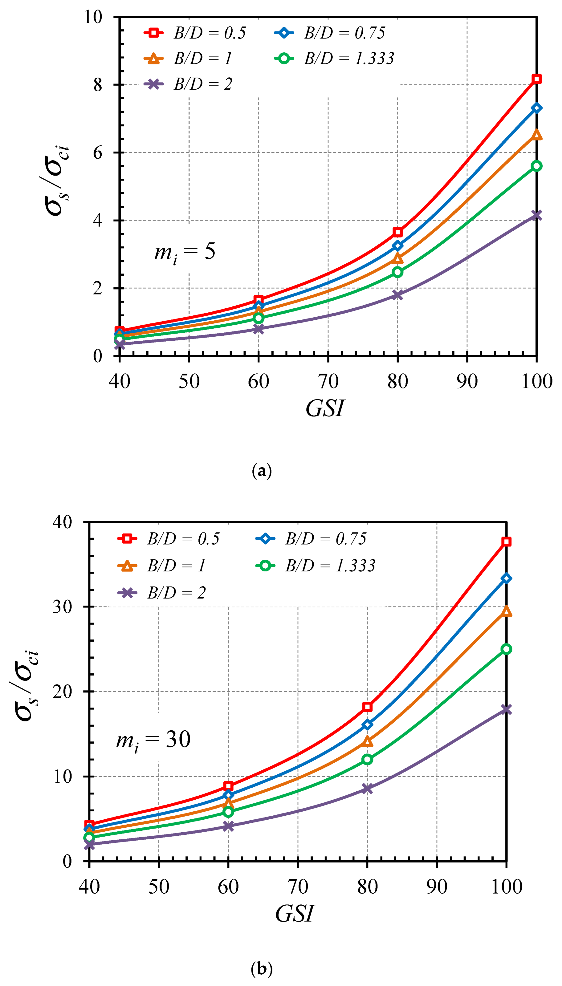
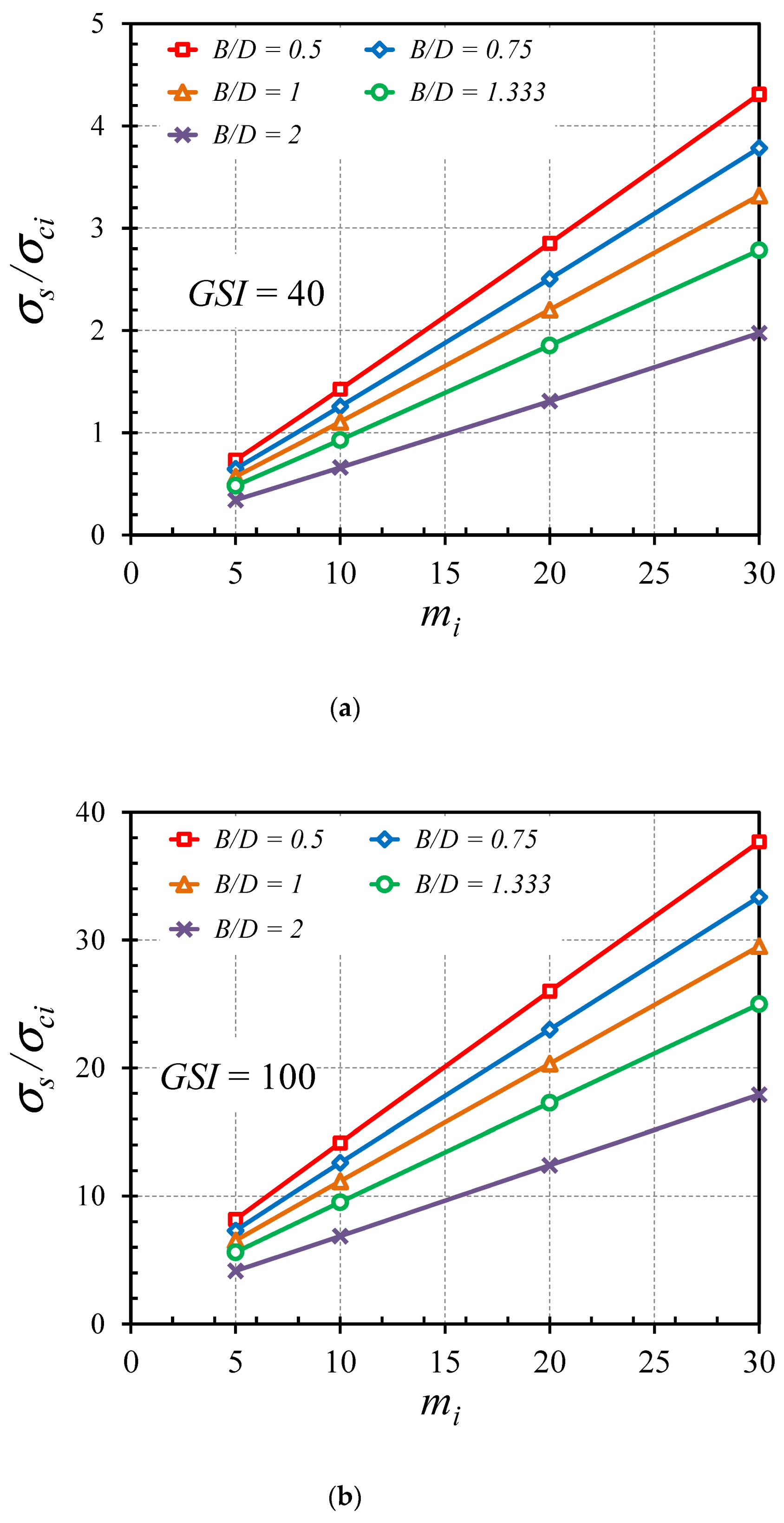
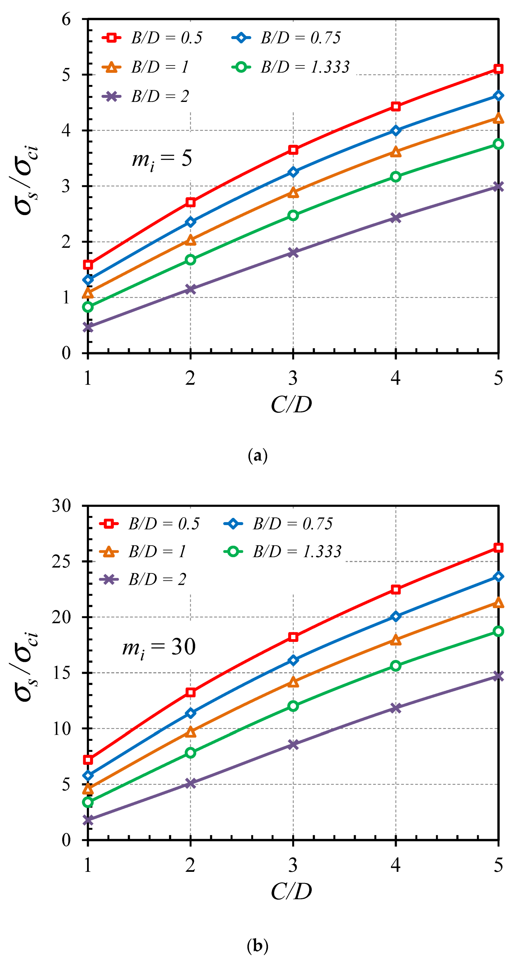
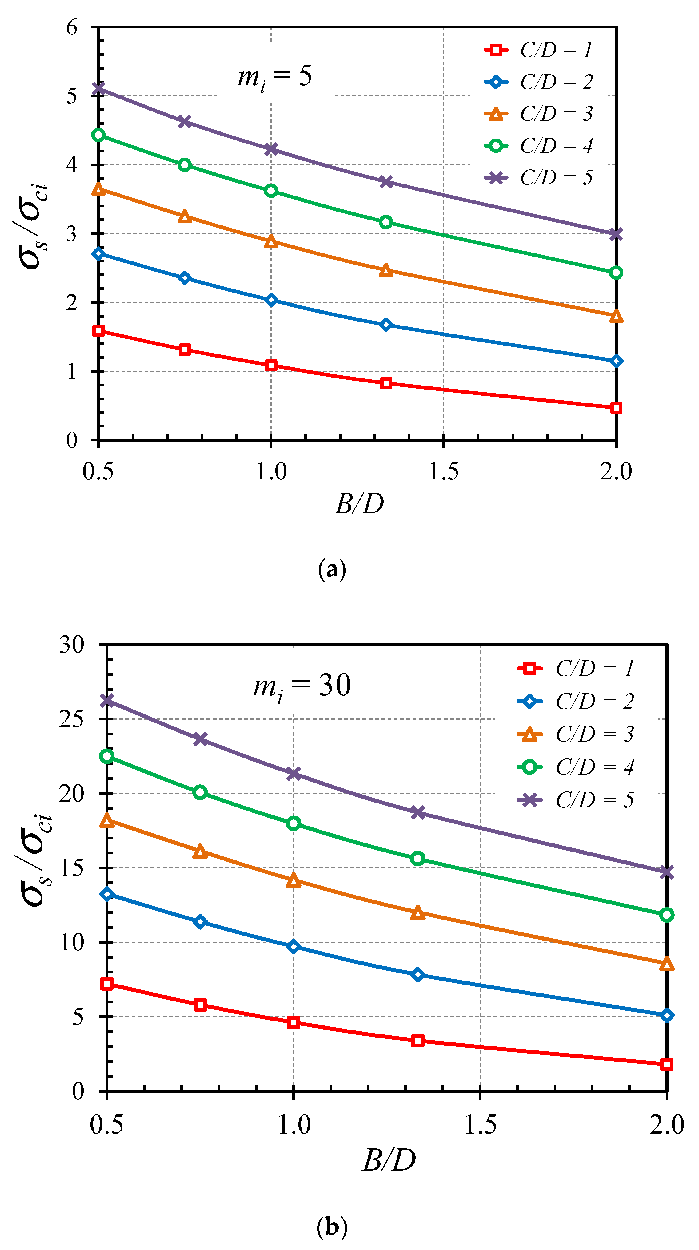
5. Results and Discussion
5.1. Verification
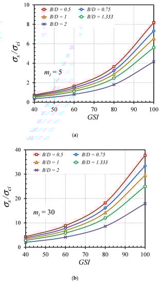
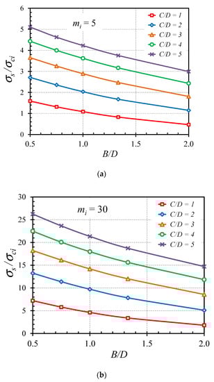
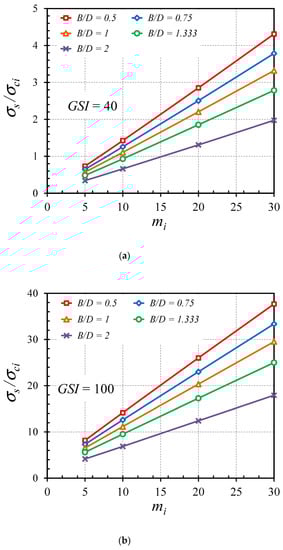
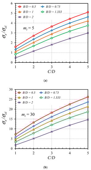
5.2. Parametric Studies
5.3. Failure Mechanisms
5.4. Comparison among Different Tunnel Shapes
5.5. Example
- Calculate all the values B/D = 6/3 = 2, C/D = 3/3 = 1, and γD/σci = 22*3/63,000 = 0.001.
- According to B/D = 2, the values of all constant coefficients including a1, a2, b1, b2, b3, c1, c2, c3, d1, e1, e2, f1, f2, f3, g1, and g2 from Table 2 are then obtained.
- Substitute the values of all the parameters such as C/D, γD/σci, the GSI, mi, and a1 to g2 into Equations 7(a)-7(d); then, σs/σci can be obtained as: σs/σci = 0.353.
- Calculate σs = 63*0.353 = 22.24 MPa.
6. Conclusions
- The derived upper and lower bound can surround the genuine solutions below 5% of their average values while applying the adaptive meshing approach.
- The influence of mi and γD/σci on the normalized failure surcharge σs/σci is a linear relationship whereas that of B/D, C/D, and the GSI is a nonlinear relationship.
- Regarding the failure mechanisms, it was found that the influence of the GSI and mi on the overall failure mechanisms is neglectable. A horseshoe tunnel with a large value of B/D or C/D has a greater failure zone that penetrates extensively and deeply through the rock masses.
- A comparison of the stability factor σs/σci for various tunnel shapes was also presented in the study. It was found that the greatest stability factor is observed in the instance of the plane strain heading, in descending order with the horseshoe tunnel with B/D = 0.5, the circular tunnel, the horseshoe tunnel with B/D = 1, the square tunnel, and the horseshoe tunnel with B/D = 2.
- Utilizing the computed average bound solutions, the novel stability equations are established for predicting the stability factor σs/σci. The suggested design equations’ accuracy is demonstrated by their coefficient of determination R2 = 99.98%. These equations can be used with confidence in design practice.
Author Contributions
Funding
Data Availability Statement
Conflicts of Interest
References
- Kirsch, A. Experimental investigation of the face stability of shallow tunnels in sand. Acta Geotech. 2010, 5, 43–62. [Google Scholar] [CrossRef]
- Chambon, P.; Corté, J.F. Shallow tunnels in cohesionless soil: Stability of tunnel face. J. Geotech. Eng. 1994, 120, 1148–1165. [Google Scholar] [CrossRef]
- Kimura, T.; Mair, R.J. Centrifugal testing of model tunnels in soft clay. In Proceedings of the 10th International Conference on Soil Mechanics and Foundation Engineering, Stockholm, Sweden, 15–19 June 1981; pp. 319–322. [Google Scholar]
- Davis, E.H.; Gunn, M.J.; Mair, R.J.; Seneviratine, H.N. The stability of shallow tunnels and underground openings in cohesive material. Géotechnique 1980, 30, 397–416. [Google Scholar] [CrossRef]
- Sloan, S.W. Geotechnical stability analysis. Géotechnique 2013, 63, 531–572. [Google Scholar] [CrossRef]
- Shiau, J.; Al-Asadi, F. Revisiting Broms and Bennermarks’ original stability number for tunnel headings. Géotechnique Lett. 2018, 8, 310–315. [Google Scholar] [CrossRef]
- Wilson, D.W.; Abbo, A.J.; Sloan, S.W.; Lyamin, A.V. Undrained stability of a circular tunnel where the shear strength increases linearly with depth. Can. Geotech. J. 2011, 48, 1328–1342. [Google Scholar] [CrossRef]
- Yamamoto, K.; Lyamin, A.V.; Wilson, D.W.; Sloan, S.W.; Abbo, A.J. Stability of a circular tunnel in cohesive-frictional soil subjected to surcharge loading. Comput. Geotech. 2011, 38, 504–514. [Google Scholar] [CrossRef]
- Assadi, A.; Sloan, S.W. Undrained stability of shallow square tunnel. J. Geotech. Eng. 1991, 117, 1152–1173. [Google Scholar] [CrossRef]
- Sloan, S.W.; Assadi, A. Undrained stability of a square tunnel in a soil whose strength increases linearly with depth. Comput. Geotech. 1991, 12, 321–346. [Google Scholar] [CrossRef]
- Ukritchon, B.; Keawsawasvong, S. Undrained stability of unlined square tunnels in clays with linearly increasing anisotropic shear strength. Geotech. Geol. Eng. 2020, 38, 897–915. [Google Scholar] [CrossRef]
- Wilson, D.W.; Abbo, A.J.; Sloan, S.W.; Lyamin, A.V. Undrained stability of a square tunnel where the shear strength increases linearly with depth. Comput. Geotech. 2013, 49, 314–325. [Google Scholar] [CrossRef]
- Yamamoto, K.; Lyamin, A.V.; Wilson, D.W.; Sloan, S.W.; Abbo, A.J. Stability of a single tunnel in cohesive–frictional soil subjected to surcharge loading. Can. Geotech. J. 2011, 48, 1841–1854. [Google Scholar] [CrossRef]
- Augarde, C.E.; Lyamin, A.V.; Sloan, S.W. Stability of an undrained plane strain heading revisited. Comput. Geotech. 2003, 30, 419–430. [Google Scholar] [CrossRef]
- Sloan, S.W.; Assadi, A. Undrained stability of a plane strain heading. Can. Geotech. J. 1994, 31, 443–450. [Google Scholar] [CrossRef]
- Ukritchon, B.; Keawsawasvong, S. Lower bound solutions for undrained face stability of plane strain tunnel heading in anisotropic and non-homogeneous clays. Comput. Geotech. 2019, 112, 204–217. [Google Scholar] [CrossRef]
- Sirimontree, S.; Keawsawasvong, S.; Ngamkhanong, C.; Seehavong, S.; Sangjinda, K.; Jearsiripongkul, T.; Thongchom, C.; Nuaklong, P. Neural network-based prediction model for the stability of unlined elliptical tunnels in cohesive-frictional soils. Building 2022, 12, 444. [Google Scholar] [CrossRef]
- Keawsawasvong, S.; Shiau, J. Stability of active trapdoors in axisymmetry. Undergr. Space 2022, 7, 50–57. [Google Scholar] [CrossRef]
- Ukritchon, B.; Keawsawasvong, S.; Yingchaloenkitkhajorn, K. Undrained face stability of tunnels in Bangkok Subsoils. Int. J. Geotech. Eng. 2017, 11, 262–277. [Google Scholar] [CrossRef]
- Keawsawasvong, S.; Ukritchon, B. Design equation for stability of a circular tunnel in an anisotropic and heterogeneous clay. Undergr. Space 2022, 7, 76–93. [Google Scholar] [CrossRef]
- Shiau, J.; Keawsawasvong, S. Producing undrained stability factors for various tunnel shapes. Int. J. Geomech. 2022, 22, 06022017. [Google Scholar] [CrossRef]
- Ukritchon, B.; Keawsawasvong, S. Design equations for undrained stability of opening in underground walls. Tunn. Undergr. Space Technol. 2017, 70, 214–220. [Google Scholar] [CrossRef]
- Ukritchon, B.; Keawsawasvong, S. Stability of retained soils behind underground walls with an opening using lower bound limit analysis and second-order cone programming. Geotech. Geol. Eng. 2019, 37, 1609–1625. [Google Scholar] [CrossRef]
- Wilson, D.W.; Abbo, A.J.; Sloan, S.W. Undrained stability of tall tunnels. In Computer Methods and Recent Advances in Geomechanics; Oka, F., Murakami, A., Uzuoka, R., Kimoto, S., Eds.; CRC Press: Boca Raton, FL, USA, 2014; pp. 447–452. [Google Scholar]
- Bhattacharya, P.; Sriharsha, P. Stability of horseshoe tunnel in cohesive-frictional soil. Int. J. Geomech. 2020, 20, 06020021. [Google Scholar] [CrossRef]
- Zhang, J.; Feng, T.; Yang, J.; Feng, Y.; Gao, Y. Upper-bound stability analysis of dual unlined horseshoe-shaped tunnels subjected to gravity. Comput. Geotech. 2018, 97, 103–110. [Google Scholar] [CrossRef]
- Sun, R.; Yang, J.; Liu, S.; Yang, F. Undrained stability analysis of dual unlined horseshoe-shaped tunnels in non-homogeneous clays using lower bound limit analysis method. Comput. Geotech. 2021, 133, 104057. [Google Scholar] [CrossRef]
- Mollon, G.; Dias, D.; Soubra, A.H. Rotational failure mechanisms for the face stability analysis of tunnels driven by a pressurized shield. Int. J. Numer. Anal. Methods Geomech. 2011, 35, 1363–1388. [Google Scholar] [CrossRef]
- Zhang, C.; Han, K.; Zhang, D. Face stability analysis of shallow circular tunnels in cohesive-frictional soils. Tunn. Undergr. Space Technol. 2015, 50, 345–357. [Google Scholar] [CrossRef]
- Zhang, C.; Li, W.; Zhu, W.; Tan, Z. Face stability analysis of a shallow horseshoe-shaped shield tunnel in clay with a linearly increasing shear strength with depth. Tunn. Undergr. Space Technol. 2020, 97, 103291. [Google Scholar] [CrossRef]
- Jearsiripongkul, T.; Keawsawasvong, S.; Banyong, R.; Seehavong, S.; Sangjinda, K.; Thongchom, C.; Chavda, J.; Ngamkhanong, C. Stability evaluations of unlined horseshoe tunnels based on extreme learning neural network. Computation 2022, 10, 81. [Google Scholar] [CrossRef]
- Li, W.; Zhang, C.; Zhu, W.; Zhang, D. Upper-bound solutions for the face stability of a non-circular NATM tunnel in clays with a linearly increasing undrained shear strength with depth. Comput. Geotech. 2019, 114, 103136. [Google Scholar] [CrossRef]
- Hoek, E.; Brown, E.T. Empirical strength criterion for rock masses. J. Geotech. Eng. Div. 1980, 106, 1013–1035. [Google Scholar] [CrossRef]
- Keawsawasvong, S.; Ukritchon, B. Design equation for stability of shallow unlined circular tunnels in Hoek-Brown rock masses. Bull. Eng. Geol. Environ. 2020, 79, 4167–4190. [Google Scholar] [CrossRef]
- Zhang, R.; Xiao, Y.; Zhao, M.; Zhao, H. Stability of dual circular tunnels in a rock mass subjected to surcharge loading. Comput. Geotech. 2019, 108, 257–268. [Google Scholar] [CrossRef]
- Farhadian, H. A new empirical chart for rockburst analysis in tunnelling: Tunnel rockburst classification (TRC). Int. J. Min. Sci. Technol. 2021, 31, 603–610. [Google Scholar] [CrossRef]
- Ukritchon, B.; Keawsawasvong, S. Stability of unlined square tunnels in Hoek-Brown rock masses based on lower bound analysis. Comput. Geotech. 2019, 105, 249–264. [Google Scholar] [CrossRef]
- Xiao, Y.; Zhao, M.; Zhang, R.; Zhao, H.; Wu, G. Stability of dual square tunnels in rock masses subjected to surcharge loading. Tunn. Undergr. Space Technol 2019, 92, 103037. [Google Scholar] [CrossRef]
- Xiao, Y.; Zhang, R.; Zhao, M.; Jiang, J. Stability of unlined rectangular tunnels in rock masses subjected to surcharge loading. Int. J. Geomech. 2021, 21, 04020233. [Google Scholar] [CrossRef]
- Rahaman, O.; Kumar, J. Stability analysis of twin horse-shoe shaped tunnels in rock mass. Tunn. Undergr. Space Technol 2020, 98, 103354. [Google Scholar] [CrossRef]
- Ukritchon, B.; Keawsawasvong, S. Lower bound stability analysis of plane strain headings in Hoek-Brown rock masses. Tunn. Undergr. Space Technol. 2019, 84, 99–112. [Google Scholar] [CrossRef]
- Hoek, E.; Carranza-Torres, C.; Corkum, B. Hoek–Brown failure criterion—2002 edition. In Proceedings of the 5th North American Rock Mechanics Symposium, Toronto, ON, Canada, 7–10 July 2002. [Google Scholar]
- OptumCE. OptumG2. Optum Computational Engineering: Copenhagen, Denmark. 2020. Available online: https://optumce.com/ (accessed on 1 February 2022).
- Ciria, H.; Peraire, J.; Bonet, J. Mesh adaptive computation of upper and lower bounds in limit analysis. Int. J. Numer. Methods Eng. 2008, 75, 899–944. [Google Scholar] [CrossRef]
- Yodsomjai, W.; Keawsawasvong, S.; Senjuntichai, T. Undrained stability of unsupported conical slopes in anisotropic clays based on Anisotropic Undrained Shear failure criterion. Transp. Infrastruct. Geotechnol. 2021, 8, 557–568. [Google Scholar]
- Yodsomjai, W.; Keawsawasvong, S.; Thongchom, C.; Lawongkerd, J. Undrained stability of unsupported conical slopes in two-layered clays. Innov. Infrastruct. Solut. 2021, 6. [Google Scholar] [CrossRef]
- Yodsomjai, W.; Keawsawasvong, S.; Likitlersuang, S. Stability of unsupported conical slopes in Hoek-Brown rock masses. Transp. Infrastruct. Geotechnol. 2021, 8, 278–295. [Google Scholar] [CrossRef]
- Yodsomjai, W.; Keawsawasvong, S.; Lai, V.Q. Limit analysis solutions for bearing capacity of ring foundations on rocks using Hoek-Brown failure criterion. Int. J. Geosynth. Ground Eng. 2021, 7. [Google Scholar]
- Shiau, J.; Al-Asadi, F. Revisiting circular tunnel stability using Broms and Bennermarks’ Original Stability Number. Int. J. Geomech. 2021, 21, 06021009. [Google Scholar]
- Shiau, J.; Chudal, B.; Mahalingasivam, K.; Keawsawasvong, S. Pipeline burst-related ground stability in blowout condition. Transp. Geotech. 2021, 29, 100587. [Google Scholar]
- Shiau, J.; Keawsawasvong, S.; Lee, J. Three-Dimensional Stability Investigation of Trapdoors in Collapse and Blowout Conditions. Int. J. Geomech. 2022, 22, 04022007. [Google Scholar] [CrossRef]
- Keawsawasvong, S.; Thongchom, C.; Likitlersuang, S. Bearing capacity of strip footing on Hoek-Brown rock mass subjected to eccentric and inclined loading. Transp. Infrastruct. Geotechnol. 2021, 8, 189–200. [Google Scholar] [CrossRef]
- Keawsawasvong, S.; Yoonirundorn, K.; Senjuntichai, T. Pullout capacity factor for cylindrical suction caissons in anisotropic clays based on Anisotropic Undrained Shear failure criterion. Transp. Infrastruct. Geotechnol. 2021, 8, 629–644. [Google Scholar] [CrossRef]
- Keawsawasvong, S.; Lai, V.Q. End bearing capacity factor for annular foundations embedded in clay considering the effect of the adhesion factor. Int. J. Geosynth. Ground Eng. 2021, 7. [Google Scholar]
- Keawsawasvong, S.; Ukritchon, B. Undrained stability of a spherical cavity in cohesive soils using finite element limit analysis. J. Rock Mech. Geotech. Eng. 2019, 11, 1274–1285. [Google Scholar] [CrossRef]
- Ukritchon, B.; Keawsawasvong, S. Design equations of uplift capacity of circular piles in sands. Appl. Ocean. Res. 2019, 90, 101844. [Google Scholar] [CrossRef]
- Ukritchon, B.; Keawsawasvong, S. Unsafe error in conventional shape factor for shallow circular foundations in normally consolidated clays. J. Geotech. Geoenvironmental Eng. 2017, 143, 02817001. [Google Scholar] [CrossRef]
- Ukritchon, B.; Keawsawasvong, S. Error in Ito and Matsui’s limit equilibrium solution of lateral force on a row of stabilizing piles. J. Geotech. Geoenvironmental Eng. 2017, 143, 02817004. [Google Scholar] [CrossRef]
- Sauer, T. Numerical Analysis, 3rd ed.; Pearson Education Ltd.: London, UK, 2014. [Google Scholar]

















| Input Parameters | Values |
|---|---|
| C/D | 1, 2, 3, 4, 5 |
| B/D | 0.5, 0.75, 1, 1.333, 2 |
| GSI | 40, 60, 80, 100 |
| mi | 5, 10, 20, 30 |
| σci/γD | 100, 1000, ∞ |
| Constants | B/D | ||||
|---|---|---|---|---|---|
| 0.50 | 0.75 | 1.00 | 1.33 | 2.00 | |
| a1 | −1.1961 | −0.7953 | 0.7507 | 0.0739 | −0.9954 |
| a2 | −1.0018 | −1.1190 | 1.0521 | −0.1071 | −1.6162 |
| b1 | 0.0227 | 0.0217 | 0.0196 | 0.0151 | 0.4874 × 10−2 |
| b2 | −0.0325 | −0.03018 | −0.0275 | −0.0216 | −0.0100 |
| b3 | 0.0049 | 0.4442 × 10−2 | 0.3960 × 10−2 | 0.3004 × 10−2 | 0.1119 × 10−2 |
| c1 | −0.2074 × 10−3 | −0.2083 × 10−3 | −0.1888 × 10−3 | −0.1413 × 10−3 | −0.0435 × 10−3 |
| c2 | 0.4371 × 10−3 | 0.4092 × 10−3 | 0.3700 × 10−3 | 0.2950 × 10−3 | 0.1562 × 10−3 |
| c3 | −0.6221 × 10−4 | −0.5704 × 10−4 | −0.5019 × 10−4 | −0.3764 × 10−4 | −0.1514 × 10−4 |
| d1 | 1.2130 × 10−6 | 1.07167 × 10−6 | 9.7466 × 10−7 | 8.3863 × 10−7 | 0.6487 × 10−6 |
| e1 | 0.1421 | 0.0984 | 0.0575 | 0.0173 | −0.0394 |
| e2 | −0.1718 | −0.1431 | −0.1245 | −0.0974 | −0.0633 |
| f1 | −0.6318 × 10−2 | −0.4631 × 10−2 | −0.3009 × 10−2 | −0.1292 × 10−2 | 0.1305 × 10−2 |
| f2 | 0.0115 | 0.9847 × 10−2 | 0.8725 × 10−2 | 0.7073 × 10−2 | 0.4704 × 10−2 |
| f3 | −0.1756 × 10−3 | −0.1616 × 10−3 | −0.1436 × 10−3 | −0.1104 × 10−3 | −0.0326 × 10−3 |
| g1 | 0.5601 × 10−4 | 0.3712 × 10−4 | 0.1968 × 10−4 | 0.2055 × 10−5 | 0.2130 × 10−4 |
| g2 | −0.1766 × 10−3 | −0.1522 × 10−3 | −0.1360 × 10−3 | −0.1129 × 10−3 | −0.0822 × 10−3 |
| R2 | 99.98% | 99.98% | 99.98% | 99.98% | 99.98% |
Publisher’s Note: MDPI stays neutral with regard to jurisdictional claims in published maps and institutional affiliations. |
© 2022 by the authors. Licensee MDPI, Basel, Switzerland. This article is an open access article distributed under the terms and conditions of the Creative Commons Attribution (CC BY) license (https://creativecommons.org/licenses/by/4.0/).
Share and Cite
Lawongkerd, J.; Shiau, J.; Keawsawasvong, S.; Seehavong, S.; Jamsawang, P. Design Equations for Predicting Stability of Unlined Horseshoe Tunnels in Rock Masses. Buildings 2022, 12, 1800. https://doi.org/10.3390/buildings12111800
Lawongkerd J, Shiau J, Keawsawasvong S, Seehavong S, Jamsawang P. Design Equations for Predicting Stability of Unlined Horseshoe Tunnels in Rock Masses. Buildings. 2022; 12(11):1800. https://doi.org/10.3390/buildings12111800
Chicago/Turabian StyleLawongkerd, Jintara, Jim Shiau, Suraparb Keawsawasvong, Sorawit Seehavong, and Pitthaya Jamsawang. 2022. "Design Equations for Predicting Stability of Unlined Horseshoe Tunnels in Rock Masses" Buildings 12, no. 11: 1800. https://doi.org/10.3390/buildings12111800
APA StyleLawongkerd, J., Shiau, J., Keawsawasvong, S., Seehavong, S., & Jamsawang, P. (2022). Design Equations for Predicting Stability of Unlined Horseshoe Tunnels in Rock Masses. Buildings, 12(11), 1800. https://doi.org/10.3390/buildings12111800

