Numerical Simulation of Unreinforced Masonry Buildings with Timber Diaphragms
Abstract
1. Introduction
- Equivalent frame model for Building 1 of the Pavia test series on stone masonry buildings [47,48]: This test series comprised uni-directional shake-table tests on three stone masonry buildings. Building 1 had a weak diaphragm and wall-to-diaphragm connections that relied only on friction between beams and walls. It developed significant nonlinear in-plane deformations but eventually succumbed to out-of-plane failure. Building 1 has not yet been modelled by an equivalent frame approach, so we close this gap by developing an equivalent frame model for Building 1 and validating it against the experimental results. Buildings 2 and 3 had strengthened diaphragms and wall-to-diaphragm connections. They did not develop any out-of-plane mechanisms and their in-plane response was modelled successfully by Penna et al. [68] using Tremuri [27] and the macro-element by Penna et al. [28].
- Interplay between diaphragm stiffness and unstrengthened wall-to-diaphragm connections: We model the unstrengthened wall-to-diaphragm connection of Building 1 and analyse various configurations using a nonlinear spring with a force capacity that is limited by Coulomb friction. We confirm the finding by Ortega et al. [66] that when a proper connection is lacking, a stiffened diaphragm lacks its beneficial effects. By modelling the connection through a friction connection rather than as fully connected (equal DOF) or disconnected, we show that there is a threshold PGA (Peak Ground Acceleration) value for which the wall-to-diaphragm connections start to slide. For higher PGA values, stiffened diaphragms lose their beneficial effect.
2. Equivalent Frame Models for Unreinforced Masonry Buildings with Timber Slabs
2.1. A Macro-Element for Modelling the in-Plane and out-of-Plane Response of Unreinforced Masonry Piers and Spandrels
2.2. Modelling Assumptions for Masonry Walls and Wall-to-Wall Connections
2.3. Modelling Assumptions for Timber Floors
2.4. Modelling Assumptions for Wall-to-Diaphragm Connections
2.5. Damping Model for Dynamic Analyses
3. Case-Study Building
3.1. Experimental Campaign
3.2. Numerical Model
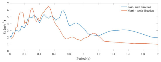
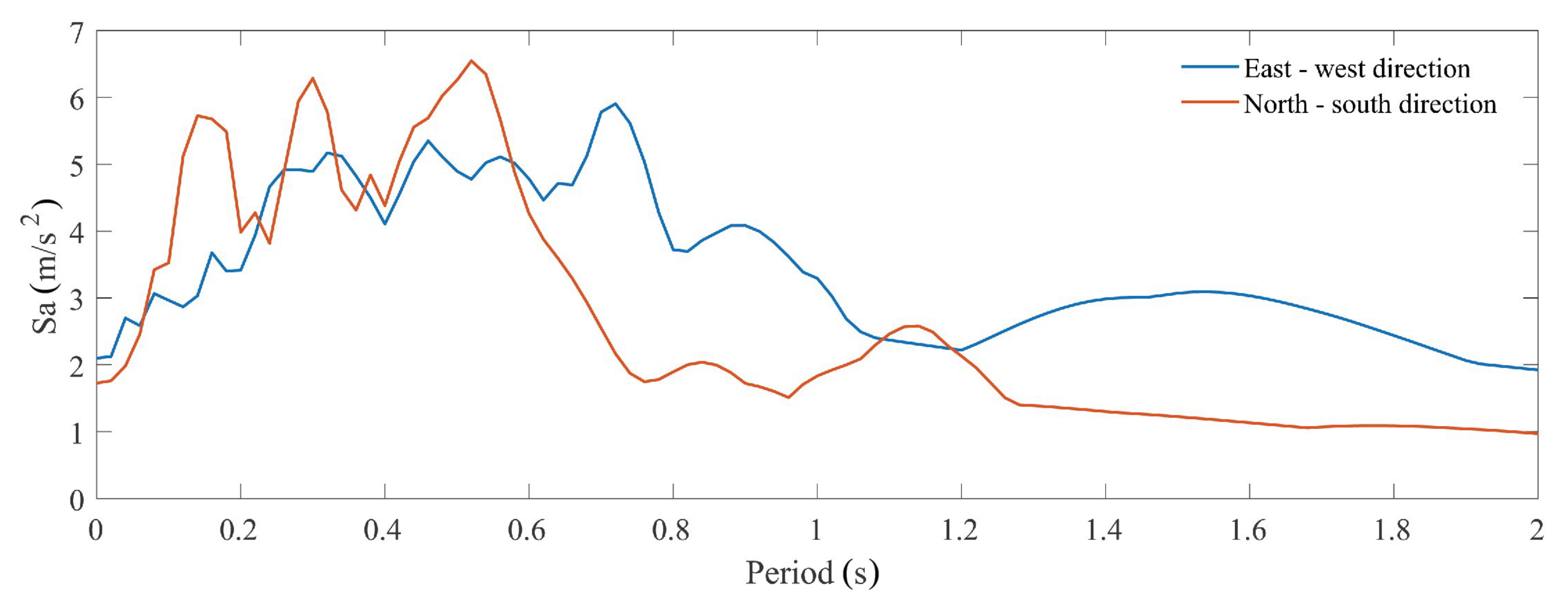
3.3. Seismic Excitation
4. Numerical Results for the Case-Study Building
4.1. Model Validation
4.2. Modelling Retrofitting Interventions
- Unretrofitted (diaphragm and wall-to-diaphragm connection unretrofitted): This corresponds to the configuration of Building 1.
- Diaphragm retrofitted: The diaphragm stiffness was increased to reflect the effect of an additional layer of planks (Table 2).
- Wall-to-diaphragm connections retrofitted: The wall-to-diaphragm connections were modelled as infinitely stiff and strong using equal DOF constraints.
- Diaphragm and wall-to-diaphragm connections retrofitted: The two individual retrofitting conditions were combined.
4.3. Force Demand on the Wall-to-Diaphragm Connections
5. Conclusions
- In its unstrengthened configuration, the diaphragm consists of timber beams and a single layer of planks nailed to the timber beams. The diaphragm is modelled as an orthotropic elastic membrane. The properties of this membrane are determined according to Brignola et al. [70].
- The diaphragm is retrofitted by adding a layer of planks at a right angle to the first layer of planks. The increase in stiffness of the diaphragm is again calculated using the formulae provided in [70], with a slight modification to account for the deformation of the additional set of nails (Equation (3)).
- The wall-to-diaphragm connection in its unstrengthened configuration transfers loads only via friction. Representative friction coefficients were determined by Almeida et al. [73]. In finite element models of configurations with unstrengthened wall-to-diaphragm connections, the connection was modelled as rigid until the friction force was attained and sliding occurred.
- It was assumed that the wall-to-diaphragm connection was retrofitted by injection anchors that are relatively stiff until the peak force is attained. For this reason, they were modelled as infinitely rigid with infinite force capacity. Using the force capacities attained, it was computed how many anchors would be necessary to transfer the forces between the diaphragm and wall, which were recorded for the numerical model. Reasonable numbers were attained.
Author Contributions
Funding
Institutional Review Board Statement
Informed Consent Statement
Data Availability Statement
Acknowledgments
Conflicts of Interest
Abbreviations
| DOF | Degree of freedom |
| PGA | Peak ground acceleration |
| IDA | Incremental dynamic analysis |
References
- Tomazevic, M. Earthquake-Resistant Design of Masonry Buildings; Imperial College Press: London, UK, 1999; Volume 1. [Google Scholar]
- D’Ayala, D.; Speranza, E. Definition of collapse mechanisms and seismic vulnerability of historic masonry buildings. Earthq. Spectra 2003, 19, 479–509. [Google Scholar] [CrossRef]
- Penna, A.; Morandi, P.; Rota, M.; Manzini, C.F.; da Porto, F.; Magenes, G. Performance of masonry buildings during the Emilia 2012 earthquake. Bull. Earthq. Eng. 2014, 12, 2255–2273. [Google Scholar] [CrossRef]
- Carocci, C.F. Small centres damaged by 2009 L’Aquila earthquake: On site analyses of historical masonry aggregates. Bull. Earthq. Eng. 2012, 10, 45–71. [Google Scholar] [CrossRef]
- Da Porto, F.; Munari, M.; Prota, A.; Modena, C. Analysis and repair of clustered buildings: Case study of a block in the historic city centre of L’Aquila (Central Italy). Constr. Build. Mater. 2013, 38, 1221–1237. [Google Scholar] [CrossRef]
- Lourenço, P.B. Computations on historic masonry structures. Prog. Struct. Eng. Mater. 2002, 4, 301–319. [Google Scholar] [CrossRef]
- Roca, P.; Cervera, M.; Gariup, G. Structural analysis of masonry historical constructions. Classical and advanced approaches. Arch. Comput. Methods Eng. 2010, 17, 299–325. [Google Scholar] [CrossRef]
- Bui, T.T.; Limam, A. Elventh International Conference on Computational Structures Technology; Civil-Comp Press: Stirlingshire, UK, 2012; p. 119. [Google Scholar] [CrossRef]
- Pulatsu, B.; Erdogmus, E.; Lourenço, P.B.; Lemos, J.V.; Tuncay, K. Simulation of the in-plane structural behavior of unreinforced masonry walls and buildings using DEM. In Structures; Elsevier: Amsterdam, The Netherlands, 2020; Volume 27, pp. 2274–2287. [Google Scholar]
- DeJong, M.J.; Belletti, B.; Hendriks, M.A.; Rots, J.G. Shell elements for sequentially linear analysis: Lateral failure of masonry structures. Eng. Struct. 2009, 31, 1382–1392. [Google Scholar] [CrossRef]
- Zhang, S.; Mousavi, S.M.T.; Richart, N.; Molinar, J.F.; Beyer, K. Micro-mechanical finite element modeling of diagonal compression test for historical stone masonry structure. Int. J. Solids Struct. 2017, 112, 122–132. [Google Scholar] [CrossRef]
- Lourenco, P.B.; Silva, L.C. Computational applications in masonry structures: From the meso-scale to the super-large/super-complex. Int. J. Multiscale Comput. Eng. 2020, 18. [Google Scholar] [CrossRef]
- Bracchi, S.; Rota, M.; Penna, A.; Magenes, G. Consideration of modelling uncertainties in the seismic assessment of masonry buildings by equivalent-frame approach. Bull. Earthq. Eng. 2015, 13, 3423–3448. [Google Scholar] [CrossRef]
- Quagliarini, E.; Maracchini, G.; Clementi, F. Uses and limits of the Equivalent Frame Model on existing unreinforced masonry buildings for assessing their seismic risk: A review. J. Build. Eng. 2017, 10, 166–182. [Google Scholar] [CrossRef]
- Parisi, F.; Augenti, N. Seismic capacity of irregular unreinforced masonry walls with openings. Earthq. Eng. Struct. Dyn. 2013, 42, 101–121. [Google Scholar] [CrossRef]
- Siano, R.; Sepe, V.; Camata, G.; Spacone, E.; Roca, P.; Pelà, L. Analysis of the performance in the linear field of equivalent-frame models for regular and irregular masonry walls. Eng. Struct. 2017, 145, 190–210. [Google Scholar] [CrossRef][Green Version]
- Siano, R.; Roca, P.; Camata, G.; Pelà, L.; Sepe, V.; Spacone, E.; Petracca, M. Numerical investigation of non-linear equivalent-frame models for regular masonry walls. Eng. Struct. 2018, 173, 512–529. [Google Scholar] [CrossRef]
- Berti, M.; Salvatori, L.; Orlando, M.; Spinelli, P. Unreinforced masonry walls with irregular opening layouts: Reliability of equivalent-frame modelling for seismic vulnerability assessment. Bull. Earthq. Eng. 2017, 15, 1213–1239. [Google Scholar] [CrossRef]
- D’Altri, A.M.; Sarhosis, V.; Milani, G.; Rots, J.; Cattari, S.; Lagomarsino, S.; Sacco, E.; Tralli, A.; Castellazzi, G.; de Miranda, S. Modeling Strategies for the Computational Analysis of Unreinforced Masonry Structures: Review and Classification; Springer: Dordrecht, The Netherlands, 2020; Volume 27, pp. 1153–1185. [Google Scholar] [CrossRef]
- Magenes, G.; Fontana, A. Simplified non-linear seismic analysis of masonry buildings. In Proceedings of the British Masonry Society No. 8; British Masonry Society: London, UK, 1998; pp. 190–195. [Google Scholar]
- Kappos, A.J.; Penelis, G.G.; Drakopoulos, C.G. Evaluation of simplified models for lateral load analysis of unreinforced masonry buildings. J. Struct. Eng. 2002, 128, 890–897. [Google Scholar] [CrossRef]
- Roca, P.; Molins, C.; Marí, A.R. Strength capacity of masonry wall structures by the equivalent frame method. J. Struct. Eng. 2005, 131, 1601–1610. [Google Scholar] [CrossRef]
- Pasticier, L.; Amadio, C.; Fragiacomo, M. Non-linear seismic analysis and vulnerability evaluation of a masonry building by means of the SAP2000 V. 10 code. Earthq. Eng. Struct. Dyn. 2008, 37, 467–485. [Google Scholar] [CrossRef]
- Belmouden, Y.; Lestuzzi, P. An equivalent frame model for seismic analysis of masonry and reinforced concrete buildings. Constr. Build. Mater. 2009, 23, 40–53. [Google Scholar] [CrossRef]
- Rizzano, G.; Sabatino, R. An equivalent frame model for the seismic analysis of masnory structures. In Proceedings of the 8th Congresso de Sismologia e Engenharia Sismica, Aveiro, Portugal, 20–23 October 2010. [Google Scholar]
- Caliò, I.; Marletta, M.; Pantò, B. A new discrete element model for the evaluation of the seismic behaviour of unreinforced masonry buildings. Eng. Struct. 2012, 40, 327–338. [Google Scholar] [CrossRef]
- Lagomarsino, S.; Penna, A.; Galasco, A.; Cattari, S. TREMURI program: An equivalent frame model for the nonlinear seismic analysis of masonry buildings. Eng. Struct. 2013, 56, 1787–1799. [Google Scholar] [CrossRef]
- Penna, A.; Lagomarsino, S.; Galasco, A. A nonlinear macroelement model for the seismic analysis of masonry buildings. Earthq. Eng. Struct. Dyn. 2014, 43, 159–179. [Google Scholar] [CrossRef]
- Addessi, D.; Mastrandrea, A.; Sacco, E. An equilibrated macro-element for nonlinear analysis of masonry structures. Eng. Struct. 2014, 70, 82–93. [Google Scholar] [CrossRef]
- Raka, E.; Spacone, E.; Sepe, V.; Camata, G. Advanced frame element for seismic analysis of masonry structures: Model formulation and validation. Earthq. Eng. Struct. Dyn. 2015, 44, 2489–2506. [Google Scholar] [CrossRef]
- Peruch, M.; Spacone, E.; Camata, G. Nonlinear analysis of masonry structures using fiber-section line elements. Earthq. Eng. Struct. Dyn. 2019, 48, 1345–1364. [Google Scholar] [CrossRef]
- Yousefi, B.; Soltani, M. An Equivalent Fiber Frame Model for Nonlinear Analysis of Masonry Structures. Int. J. Archit. Herit. 2021, 15, 644–668. [Google Scholar] [CrossRef]
- Grande, E.; Imbimbo, M.; Sacco, E. Finite element analysis of masonry panels strengthened with FRPs. Compos. Part B Eng. 2013, 45, 1296–1309. [Google Scholar] [CrossRef]
- Tondelli, M.; Rota, M.; Penna, A.; Magenes, G. Evaluation of uncertainties in the seismic assessment of existing masonry buildings. J. Earthq. Eng. 2012, 16, 36–64. [Google Scholar] [CrossRef]
- Rota, M.; Penna, A.; Magenes, G. A framework for the seismic assessment of existing masonry buildings accounting for different sources of uncertainty. Earthq. Eng. Struct. Dyn. 2014, 43, 1045–1066. [Google Scholar] [CrossRef]
- De Falco, A.; Guidetti, G.; Mori, M.; Sevieri, G. Model uncertainties in seismic analysis of existing masonry buildings: The Equivalent-Frame Model within the Structural Element Models approach. In Proceedings of the XVII Convengo Anidis, Pistoia, Italy, 17–21 September 2017; Pisa University Press: Pisa, Italy, 2017; pp. 63–73. [Google Scholar]
- Tomić, I.; Vanin, F.; Beyer, K. Uncertainties in the Seismic Assessment of Historical Masonry Buildings. Appl. Sci. 2021, 11, 2280. [Google Scholar] [CrossRef]
- Vanin, F.; Penna, A.; Beyer, K. A three-dimensional macroelement for modelling the in-plane and out-of-plane response of masonry walls. Earthq. Eng. Struct. Dyn. 2020, 49, 1365–1387. [Google Scholar] [CrossRef]
- Lagomarsino, S.; Cattari, S. PERPETUATE guidelines for seismic performance-based assessment of cultural heritage masonry structures. Bull. Earthq. Eng. 2015, 13, 13–47. [Google Scholar] [CrossRef]
- Solarino, F.; Oliveira, D.V.; Giresini, L. Wall-to-horizontal diaphragm connections in historical buildings: A state-of-the-art review. Eng. Struct. 2019, 199, 109559. [Google Scholar] [CrossRef]
- Tomaževič, M.; Weiss, P.; Velechovsky, T. The influence of rigidity of floors on the seismic behaviour of old stone-masonry buildings. Eur. Earthq. Eng. 1991, 3, 28–41. [Google Scholar]
- Benedetti, D.; Carydis, P.; Pezzoli, P. Shaking table tests on 24 simple masonry buildings. Earthq. Eng. Struct. Dyn. 1998, 27, 67–90. [Google Scholar] [CrossRef]
- Dolce, M.; Ponzo, F.; Goretti, A.; Moroni, C.; Giordano, F.; De Canio, G.; Marnetto, R. 3d dynamic tests on 2/3 scale masonry buildings retrofitted with different systems. In Proceedings of the 14th World Conference on Earthquake Engineering, Beijing, China, 12–17 October 2008; Volume 1217. [Google Scholar]
- Dolce, M.; Ponzo, F.C.; Di Croce, M.; Moroni, C.; Giordano, F.; Nigro, D.; Marnetto, R. Experimental assessment of the CAM and DIS-CAM systems for the seismic upgrading of monumental masonry buildings. In Proceedings of the PROHITECH, Rome, Italy, 21–24 June 2009; Volume 9. [Google Scholar]
- Bothara, J.K.; Dhakal, R.P.; Mander, J.B. Seismic performance of an unreinforced masonry building: An experimental investigation. Earthq. Eng. Struct. Dyn. 2010, 39, 45–68. [Google Scholar] [CrossRef]
- Mazzon, N.; Chavez, C.M.; Valluzzi, M.R.; Casarin, F.; Modena, C. Shaking Table Tests on Multi-Leaf Stone Masonry Structures: Analysis of Stiffness Decay. Structural Analysis of Historic Constructions. In Advanced Materials Research; Trans Tech Publications Ltd.: Bach, Switzerland, 2010; Volume 133, pp. 647–652. [Google Scholar] [CrossRef]
- Magenes, G.; Penna, A.; Galasco, A. A full-scale shaking table test on a two-storey stone masonry building. In Proceedings of the 14th European Conference on Earthquake Engineering, Ohrid, North Macedonia, 30 August–3 September 2010. [Google Scholar]
- Magenes, G.; Penna, A.; Senaldi, I.E.; Rota, M.; Galasco, A. Shaking table test of a strengthened full-scale stone masonry building with flexible diaphragms. Int. J. Archit. Herit. 2014, 8, 349–375. [Google Scholar] [CrossRef]
- Senaldi, I.; Magenes, G.; Penna, A.; Galasco, A.; Rota, M. The effect of stiffened floor and roof diaphragms on the experimental seismic response of a full-scale unreinforced stone masonry building. J. Earthq. Eng. 2014, 18, 407–443. [Google Scholar] [CrossRef]
- Costa, A.A.; Arêde, A.; Costa, A.C.; Penna, A.; Costa, A. Out-of-plane behaviour of a full scale stone masonry façade. Part 2: Shaking table tests. Earthq. Eng. Struct. Dyn. 2013, 42, 2097–2111. [Google Scholar] [CrossRef]
- Vintzileou, E.; Mouzakis, C.; Adami, C.E.; Karapitta, L. Seismic behavior of three-leaf stone masonry buildings before and after interventions: Shaking table tests on a two-storey masonry model. Bull. Earthq. Eng. 2015, 13, 3107–3133. [Google Scholar] [CrossRef]
- Pitilakis, D.; Iliou, K.; Karatzetzou, A. Shaking table tests on a stone masonry building: Modeling and identification of dynamic properties including soil-foundation-structure interaction. Int. J. Archit. Herit. 2018, 12, 1019–1037. [Google Scholar] [CrossRef]
- Mouzakis, C.; Adami, C.E.; Karapitta, L.; Vintzileou, E. Seismic behaviour of timber-laced stone masonry buildings before and after interventions: Shaking table tests on a two-storey masonry model. Bull. Earthq. Eng. 2018, 16, 803–829. [Google Scholar] [CrossRef]
- Kallioras, S.; Guerrini, G.; Tomassetti, U.; Marchesi, B.; Penna, A.; Graziotti, F.; Magenes, G. Experimental seismic performance of a full-scale unreinforced clay-masonry building with flexible timber diaphragms. Eng. Struct. 2018, 161, 231–249. [Google Scholar] [CrossRef]
- Guerrini, G.; Senaldi, I.; Graziotti, F.; Magenes, G.; Beyer, K.; Penna, A. Shake-Table Test of a Strengthened Stone Masonry Building Aggregate with Flexible Diaphragms. Int. J. Archit. Herit. 2019, 13, 1078–1097. [Google Scholar] [CrossRef]
- Kim, S.C.; White, D.W. Nonlinear analysis of a one-story low-rise masonry building with a flexible diaphragm subjected to seismic excitation. Eng. Struct. 2004, 26, 2053–2067. [Google Scholar] [CrossRef]
- Betti, M.; Galano, L.; Vignoli, A. Comparative analysis on the seismic behaviour of unreinforced masonry buildings with flexible diaphragms. Eng. Struct. 2014, 61, 195–208. [Google Scholar] [CrossRef]
- Nakamura, Y.; Derakhshan, H.; Magenes, G.; Griffith, M.C. Influence of diaphragm flexibility on seismic response of unreinforced masonry buildings. J. Earthq. Eng. 2017, 21, 935–960. [Google Scholar] [CrossRef]
- Nakamura, Y.; Derakhshan, H.; Griffith, M.C.; Magenes, G.; Sheikh, A.H. Applicability of nonlinear static procedures for low-rise unreinforced masonry buildings with flexible diaphragms. Eng. Struct. 2017, 137, 1–18. [Google Scholar] [CrossRef]
- Gattesco, N.; Macorini, L.; Benussi, F. Retrofit of wooden floors for the seismic adjustment of historical buildings with high reversible techniques. Seismic Engineering in Italy. In Proceedings of the XII National Conference, Pisa, Italy, 25–27 October 2007; pp. 10–14. [Google Scholar]
- Scotta, R.; Trutalli, D.; Marchi, L.; Pozza, L. Effects of in-plane strengthening of timber floors in the seismic response of existing masonry buildings. In Proceedings of the World Conference on Timber Engineering (WCTE), Vienna, Austria, 22–25 August 2016; pp. 22–25. [Google Scholar]
- Scotta, R.; Trutalli, D.; Marchi, L.; Pozza, L.; Mirra, M. Seismic response of masonry buildings with alternative techniques for in-plane strengthening of timber floors. In Proceedings of the XII International Conference on Structural Repair and Rehabilitation (CINPAR), Porto, Portugal, 1 July 2017; pp. 26–29. [Google Scholar]
- Mirra, M. Analisi Parametriche Dinamiche non Lineari Degli Effetti Dell’ Irrigidimento di Solai in Legno in Edifici in Muratura Ordinaria. 2017. Available online: http://tesi.cab.unipd.it/59766/ (accessed on 12 April 2021).
- Trutalli, D.; Marchi, L.; Scotta, R.; Pozza, L. Dynamic simulation of an irregular masonry building with different rehabilitation methods applied to timber floors. In Proceedings of the 6th ECCOMAS Thematic Conference (COMPDYN 2017), Rhodes Island, Greece, 12–14 June 2017; pp. 15–17. [Google Scholar]
- McKenna, F.; Fenves, G.; Scott, M.; Jeremic, B. Open System for Earthquake Engineering Simulation (OpenSees); University of California: Berkeley, CA, USA, 2000; Available online: http://opensees.berkeley.edu (accessed on 1 February 2021).
- Ortega, J.; Vasconcelos, G.; Rodrigues, H.; Correia, M. Assessment of the influence of horizontal diaphragms on the seismic performance of vernacular buildings. Bull. Earthq. Eng. 2018, 16, 3871–3904. [Google Scholar] [CrossRef]
- Vanin, F.; Penna, A.; Beyer, K. Equivalent-frame modeling of two shaking table tests of masonry buildings accounting for their out-of-plane response. Front. Built Environ. 2020, 6, 42. [Google Scholar] [CrossRef]
- Penna, A.; Senaldi, I.E.; Galasco, A.; Magenes, G. Numerical simulation of shaking table tests on full-scale stone masonry buildings. Int. J. Archit. Herit. 2016, 10, 146–163. [Google Scholar] [CrossRef]
- POLIMI. Critical Review of Methodologies and Tools for Assessment of Failure Mechanisms and Interventions, Deliverable 3.3, Workpackage 3: Damage Based Selection of Technologies; Technical Report; NIKER Project: Padova, Italy, 2010. [Google Scholar]
- Brignola, A.; Podesta, S.; Pampanin, S. In-Plane Stiffness of Wooden Floor; Technical Report; Department of Civil and Natural Resources Engineering, University of Canterbury: Christchurch, New Zealand, 2008. [Google Scholar]
- Brignola, A.; Pampanin, S.; Podestà, S. Experimental evaluation of the in-plane stiffness of timber diaphragms. Earthq. Spectra 2012, 28, 1687–1709. [Google Scholar] [CrossRef]
- EC 1995-1-1-2004. Eurocode 5—Design of Timber Structures—Part 1-1: General Rules and Rules for Buildings; Technical Report; EN 1995-1-1: Bruxelles, Belgium, 2004. [Google Scholar]
- Almeida, J.P.; Beyer, K.; Brunner, R.; Wenk, T. Characterization of mortar–timber and timber–timber cyclic friction in timber floor connections of masonry buildings. Mater. Struct. 2020, 53, 51. [Google Scholar] [CrossRef]
- Moreira, S.M.T.; Oliveira, D.V.; Ramos, L.F.; Fernandes, R.; Guerreiro, J.; Lourenço, P.B. Experimental study on the seismic behavior of masonry wall-to-floor connections. In Proceedings of the 15th World Conference on Earthquake Engineering, Sociedade Portuguesa de Engenharia Sísmica (SPES), Lisbon, Portugal, 24–28 September 2012. [Google Scholar]
- Ciocci, M.P.; Van Nimwegen, S.; Askari, A.; Vanin, F.; Lourenço, P.; Beyer, K. Experimental investigation on the behaviour of injection anchors in rubble stone masonry. 2021; in preparation. [Google Scholar]
- Muñoz, R.; Lourenço, P.B.; Moreira, S. Experimental results on mechanical behaviour of metal anchors in historic stone masonry. Constr. Build. Mater. 2018, 163, 643–655. [Google Scholar] [CrossRef]
- Contrafatto, L.; Cosenza, R. Prediction of the pull-out strength of chemical anchors in natural stone. Frat. Integrità Strutt. 2014, 8, 196–208. [Google Scholar] [CrossRef]
- Vanin, F.; Beyer, K. Equivalent damping ratio for a macroelement modelling the out-of-plane response of masonry walls. 2021; in preparation. [Google Scholar]
- Housner, G.W. The behavior of inverted pendulum structures during earthquakes. Bull. Seismol. Soc. Am. 1963, 53, 403–417. [Google Scholar]
- Luzi, L.; Lanzano, G.; Felicetta, C.; D’Amico, M.C.; Russo, E.; Sgobba, S.; Pacor, F.; ORFEUS Working Group 5. Engineering Strong Motion Database (ESM) (Version 2.0); Technical Report; Istituto Nazionale di Geofisica e Vulcanologia (INGV): Rome, Italy, 2020. [Google Scholar] [CrossRef]
- EUCENTRE. PROVINO 1 0.40g 20090801 Telecamera 01. 2009. Available online: https://youtu.be/SspfD-nHCso?list=PL52352538BE37F38E (accessed on 2 April 2021).
- EUCENTRE. PROVINO 1 0.40g 20090801 Telecamera 03. 2009. Available online: https://youtu.be/egYnpB1FlK0?list=PL52352538BE37F38E (accessed on 2 April 2021).
- EUCENTRE. PROVINO 1 0.40g 20090801 Vista Multipla. 2009. Available online: https://youtu.be/7BFuXzrAbG0?list=PL52352538BE37F38E (accessed on 2 April 2021).














| E (MPa) | G (MPa) | (kg/m) | (MPa) | (MPa) | |
|---|---|---|---|---|---|
| 1900 | 300 | 2200 | 4.50 | 0.175 | 0.20 |
| (GPa) | (GPa) | G (MPa) | t (m) | ||
|---|---|---|---|---|---|
| Unretrofitted | 10 | 0.5 | 10.3 | 0.03 | 1.0 |
| Diaphragms retrofitted | 10 | 0.5 | 19.6 | 0.06 | 1.0 |
| Wall-to-diaphragm connections retrofitted | 10 | 0.5 | 10.3 | 0.03 | fixed |
| Diaphragms and connections retrofitted | 10 | 0.5 | 19.6 | 0.06 | fixed |
| Test Run | Nominal PGA (g) | Actual PGA (g) |
|---|---|---|
| 1 | 0.05 | 0.07 |
| 2 | 0.10 | 0.14 |
| 3 | 0.20 | 0.31 |
| 4 | 0.30 | 0.50 |
| 5 | 0.40 | 0.63 |
| Position | Unit | Maximum Tensile Force |
|---|---|---|
| First floor | (kN/m) | 20.58 |
| Second floor | (kN/m) | 7.56 |
| Gable | (kN) | 37.09 |
Publisher’s Note: MDPI stays neutral with regard to jurisdictional claims in published maps and institutional affiliations. |
© 2021 by the authors. Licensee MDPI, Basel, Switzerland. This article is an open access article distributed under the terms and conditions of the Creative Commons Attribution (CC BY) license (https://creativecommons.org/licenses/by/4.0/).
Share and Cite
Tomić, I.; Vanin, F.; Božulić, I.; Beyer, K. Numerical Simulation of Unreinforced Masonry Buildings with Timber Diaphragms. Buildings 2021, 11, 205. https://doi.org/10.3390/buildings11050205
Tomić I, Vanin F, Božulić I, Beyer K. Numerical Simulation of Unreinforced Masonry Buildings with Timber Diaphragms. Buildings. 2021; 11(5):205. https://doi.org/10.3390/buildings11050205
Chicago/Turabian StyleTomić, Igor, Francesco Vanin, Ivana Božulić, and Katrin Beyer. 2021. "Numerical Simulation of Unreinforced Masonry Buildings with Timber Diaphragms" Buildings 11, no. 5: 205. https://doi.org/10.3390/buildings11050205
APA StyleTomić, I., Vanin, F., Božulić, I., & Beyer, K. (2021). Numerical Simulation of Unreinforced Masonry Buildings with Timber Diaphragms. Buildings, 11(5), 205. https://doi.org/10.3390/buildings11050205

