Facial Expression-Based Experimental Analysis of Human Reactions and Psychological Comfort on Glass Structures in Buildings
Abstract
1. Introduction
2. Research Goals and Approach
2.1. Glazed Stimuli
2.2. Experimental Procedure
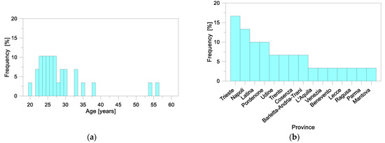
- STEP 0: the participants were first recruited. The group of volunteers (30 in total) included mostly students and researchers, both females and males (58% and 42% respectively), with an age range of 20–56 (28.8 years-old was the average, ±8.4; 26 years-old the median value). Some volunteers were students or workers living in Trieste, or residing in the Friuli Venezia Giulia Region. The age demographics and geographic distribution of participants are shown in Figure 4. Their educational experience and background skills were characterized by different fields of study or activity. Most importantly, no preliminary technical knowledge on the use and features of structural glass in construction was required at the time of the experiment. Similarly, no direct experience on glass structures was needed to join the virtual investigation.
- STEP 1: A preliminary computer assisted Web interviewing (CAWI) survey was shared online and used to assess the multitude of subjective reactions for participants under different stimuli (Section 3).
- STEP 2: The virtual experimental analysis was carried out (Section 4) to study human behaviors in glass-involving scenarios, based on facial expression analysis. To that end, the FaceReaderTM automatic facial expression recognition software (version 8, Noldus Information Technology bv, Wageningen, Netherlands) [31] was used in support of the quantitative analysis of experimental measurements. Two different visual stimuli were designed to assess the reactions of volunteers, namely, consisting of a set of static input items (Section 4.2) and a dynamic virtual reality (VR) video clip of pre-recorded walks in glass environments (Section 4.3). In both cases, based on STEP 1, special care was taken in the selection and arrangement of stimuli, so as to capture different reactions and emotions of participants.
- STEP 3: the post-processing analysis of experimental measurements from STEP 2 was partly based on the automatic software analysis, and further elaborated as discussed in Section 4.4 and Section 4.5. Detailed comparative results are presented in Section 5 and Section 6 for static and dynamic stimuli respectively. As shown, the analysis of experimental measures proves that the use of structural glass in buildings is still affected by scattered human reactions. Moreover, the results from the proposed methodology suggest that the design of glass structures could benefit from subjective parameters that should be taken into account in the overall design process.
2.3. Strengths and Limitations of the Study
3. CAWI Survey
- background technical knowledge regarding mechanical features of structural glass in buildings often lacks. This evokes discomfort and negative perceptions, especially for design scenarios characterized by contact of end-users with glass (partition walls, balustrades, roofs, etc.).
- The brittle behavior of glass represents the most influencing parameter, and is frequently associated to a common feeling of protection lack against accidental events (i.e., shards due to impact, etc.).
- The visual detection of minor damage or material degradation in glass structural components (delamination, etc.) evokes severely negative reactions, even in presence of safe mechanical performances.
- The use of structural glass in pedestrian systems generally evokes very positive feelings on the architectural side. When the same participants are asked to ideally walk on those systems, however, the presence of transparency and possible vibrations, spots or noise during walks results in discomfort and highly negative comments.
4. Static and Dynamic VR Experiments
4.1. Methods
4.2. Static Input Source
4.3. Dynamic Input Source
- At the top terrace level (W1),
- At the ground level of the building, from the main entrance (W2),
- At the first story level (W3).
4.4. Experimental Measurements
4.5. Manual Post-Processing Strategy for AU of Basic Emotions
- AUnorm(t) the normalized record for each participant, emotion, VR scenario, at the time instant t;
- AUoriginal(t) the original signal record for each participant, emotion, VR scenario, at the time instant t;
- AUinitial,avg the mean value of each emotion, participant, VR scenario (preliminary stage).
- For the static experiment (Section 5), the prevailing comfort trend was calculated over time intervals of 5 s (corresponding to the duration of a single picture presentation), in terms of average comfort level;
- For the dynamic experiment (Section 6), the attention was focused on specific frames of pre-recorded video clips, and quantified in terms of average comfort levels for selected context scenarios.
5. Discussion of Results from Static Experiment
5.1. Prevailing Reactions
- The static virtual experience generally highlighted a strong “neutral” reaction for most of the participants. The average value of such a state was calculated in around 60% of measured AU signals. This finding can be easily justified by the static nature of a visual stimulus, and can be considered as an intrinsic limit of the overall experimental approach.
- A more detailed analysis of POS and NEG results, as in Figure 12, gave evidence, for most of the 27 pictures, of clear emotional trends calculated from the software analysis of minor facial micro-expressions.
- For most of the 27 items, the “average” measure of reactions can provide a reliable measure of experimental data and comfort trends.
- Differently, extreme reactions (quantified as max/min values for the fluctuation of average data) still suggest a rather variable subjective response for some of involved individuals.
- Rather few pictures can be associated with a mostly uniform reaction from the whole group of participants (i.e., with minimum max/min variations compared to the average response). This is the case for items #15 (Figure 6) and #27 (Figure 13). Furthermore, in both cases, the NEG reaction prevails on the POS.
- In general, the minimum absolute NEG response was calculated for 46% of the group of participants. This suggests a constant presence of discomfort for the proposed stimuli, for several volunteers, and a weak prevalence of POS states.
- For some of the input items (as for example #12 and #15 in Figure 6), the average NEG outcome was found in line with preliminary expectations (i.e., possible discomfort due to hazard or risk of falling).
- A moderate average NEG reaction (>55% of participants) was also measured for items #2, #3, #4, #5, #9, #25 and #27. NEG and POS reactions were obtained for the residual items (see also Figure 14).
- For items #1 and #16, more in detail, this result could be justified by the presence of private/residential spaces and comfortable context conditions that do not involve direct contact with end-users. Regarding item #16, the POS peak could be justified by the “safe” presence of individuals on the floor mockup.
- Relevant POS reactions (>52% of participants) were also observed for items #20 (Figure 6) and #23 (Figure 15). Again, it is interesting to notice that the presence of end-users with “safe” behavior in the context of presented static stimuli can have positive effect on the emotional state of participants. This is in contrast with the structural typology and built environment (i.e., structures with risk of falling).
5.2. Analysis of Reactions by Context of Pictures
- Group-A: pedestrian systems or load-bearing elements characterized by risk of falling for the end-users (items #4, #8, #10, #13, #15, #17, #18, #20, #22, #23, #27).
- Group-B: elements characterized by the presence of damage and/or under hazard (items #6, #9, #12, #25).
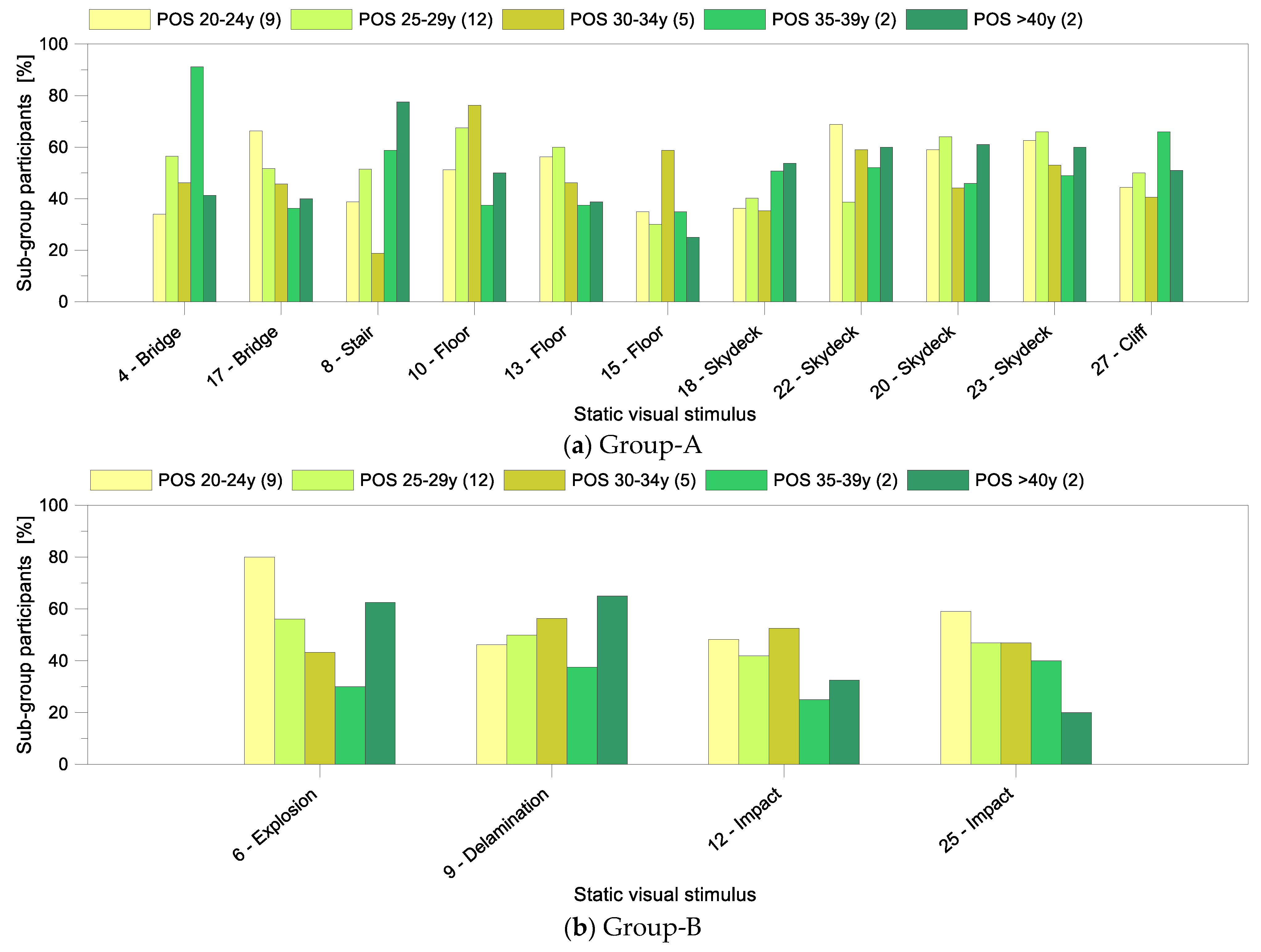
5.3. Analysis of Reactions by Sub-Groups of Participants
6. Discussion of Results from the Dynamic Experiment
6.1. Analysis of Reactions by Context of Walks
- W1: a walk outside the building, at the level of the roof/tope terrace, characterized by risk of falling (glass balustrades), but also by the presence of glass facades;
- W2: a walk inside the building (ground level), with a glass floor and a glass roof on the top, glazing walls and internal partitions;
- W3: a final walk inside the building (first story level), characterized by the risk of falling (glass balustrades), but also the floor in the below ground level (W2).
- s1, s3, s4 = external balustrades, characterized by risk of falling for end-users (as in Figure 7c,d);
- s2 = external facades / walls, without contact with end-users (Figure 20a,b);
- s5, s7 = roofs, without contact with end-users (Figure 7f);
- s6 = floors with risk of falling (Figure 20c);
- s8, s9 = indoor balustrades, with risk of falling (Figure 20d);
- s10 = indoor walls, with possible contact of end-users (Figure 20e).
- NEG reactions were measured in s1, s3 and s4 frames, when the pedestrian impacts the glass balustrades.
- The frame labelled as s2 is associated with glass facades and walls as in Figure 18a,b.
- During the W2 walk:
- The pedestrian glass floor (s6 and Figure 20d) still evoked negative perceptions for most of the participants.
- Major NEG peaks were related to the presence of glass balustrades with risk of falling for the end-users (Figure 20d).
- The glazing roof in s10, otherwise, reflected POS reactions peaks as previously observed for the W2 frames.
6.2. Analysis of Reactions under Static or Dynamic Stimuli
- E1 = outdoor balustrades (with risk of falling);
- E2 = indoor balustrades (with risk of falling);
- E3 = outdoor facades/walls;
- E4 = indoor facades/walls;
- E5 = floors/walkways/pedestrian systems (with risk of falling);
- E6 = roofs.
7. Conclusions
Author Contributions
Funding
Institutional Review Board Statement
Informed Consent Statement
Data Availability Statement
Acknowledgments
Conflicts of Interest
References
- Levin, H. Designing for people: What do building occupants really want? In Proceedings of the Healthy Buildings 2003, Singapore, 7–11 December 2003.
- Colenberg, S.; Jylha, T.; Arkesteijn, M. The relationship between interior office space and employee health and well-being—A literature review. Build. Res. Inf. 2020, 49, 35–366. [Google Scholar] [CrossRef]
- Li, D.; Menassa, C.C.; Kamat, V.R. Personalized human comfort in indoor building environments under diverse conditioning modes. Build. Environ. 2017, 126, 304–317. [Google Scholar] [CrossRef]
- Yun, G.Y.; Kim, J.T. Creating sustainable building through exploiting human comfort. Energy Procedia 2014, 62, 590–594. [Google Scholar] [CrossRef][Green Version]
- Abdel-Ghany, A.M.; Al-Helal, I.M.; Shady, M.R. Human thermal comfort and heat stress in an outdoor urban arid environment: A case study. Adv. Meteorol. 2013. [Google Scholar] [CrossRef]
- Busca, G.; Cappellini, A.; Manzoni, S.; Tarabini, M.; Vanali, M. Quantification of changes in modal parameters due to the presence of passive people on a slender structure. J. Sound Vib. 2014, 333, 5641–5652. [Google Scholar] [CrossRef]
- Davis, B.; Avci, O. Simplified vibration serviceability evaluation of slender monumental stairs. J. Struct. Eng. 2015, 141, 04015017. [Google Scholar] [CrossRef]
- Bedon, C.; Fasan, M. Reliability of field experiments, analytical methods and pedestrian’s perception scales for the vibration serviceability assessment of an in-service glass walkway. Appl. Sci. 2019, 9, 1936. [Google Scholar] [CrossRef]
- Burton, M.D.; Kwok, K.C.S.; Abdelrazaq, A. Wind-Induced motion of tall buildings: Designing for occupant comfort. Int. J. High-Rise Build. 2015, 4, 1–8. [Google Scholar]
- Denoon, R.O.; Roberts, R.D.; Letchford, C.W.; Kwok, K.C.S. Field Experiments to Investigate Occupant Perception and Tolerance of Wind-Induced Building Motion; Research Report No. R803; Department of Civil Engineering, University of Sydney: Sydney, NWS, Australia, 2000. [Google Scholar]
- Kwok, K.C.S.; Hitchcock, P.A. Occupant comfort test using a tall building motion simulator. In Proceedings of the Fourth International Conference on Advances in Wind and Structures, Jeju, Korea, 28–30 May 2008. [Google Scholar]
- Bower, I.; Tucker, R.; Enticott, P.G. Impact of built environment design on emotion measured via neurophysiological correlates and subjective indicators: A systematic review. J. Environ. Psychol. 2019, 66, 101344. [Google Scholar] [CrossRef]
- Juan-Vidal, F.; Inarra-Abad, S. Introducing emotions in the architectural design process. In Proceedings of the 1st International Conference on Higher Education Advances(HEAd’15), Universitat Politecnica de Valencia, Valencia, Spain, 24–26 June 2015. [Google Scholar] [CrossRef]
- Shearcroft, G. The Joy of Architecture: Evoking Emotions through Building. Archit. Des. 2021, 91, 108–117. [Google Scholar]
- Suri, C. Inside the Rise of Emotional Design. Architectural Digest. 18 May 2017. Available online: https://www.architecturaldigest.com/story/emotional-design (accessed on 12 May 2021).
- Shahid, M. The Different Emotions Architecture (Buildings) Can Express. Rethinking the Future. Available online: https://www.re-thinkingthefuture.com/fresh-perspectives/a2586-the-different-emotions-architecture-buildings-can-express/ (accessed on 12 May 2021).
- Kozlovsky, R. Architecture, emotions and the history of childhood. In Childhood, Youth and Emotions in Modern History. Palgrave Studies in the History of Emotions; Olsen, S., Ed.; Palgrave Macmillan: London, UK, 2015. [Google Scholar] [CrossRef]
- Ricci, N. The Psychological Impact of Architectural Design. CMC Senior Theses. 2018. Available online: https://scholarship.claremont.edu/cmc_theses/1767 (accessed on 12 May 2021).
- Canepa, E.; Scelsi, V.; Fassio, A.; Avanzino, L.; Lagravinese, G.; Chiorri, C. Atmospheres: Feeling Architecture by Emotions—Preliminary Neuroscientific Insights on Atmospheric Perception in Architecture. Ambiances 2019. Available online: http://journals.openedition.org/ambiances/2907 (accessed on 12 May 2021). [CrossRef]
- Shu, L.; Yu, Y.; Chen, W.; Hua, H.; Li, Q.; Jin, J.; Xu, X. Wearable emotion recognition using heart rate data from a smart bracelet. Sensors 2020, 20, 718. [Google Scholar] [CrossRef] [PubMed]
- Geiser, M.; Walla, P. Objective measures of emotion during virtual walks through urban environments. Appl. Sci. 2011, 1, 1–11. [Google Scholar] [CrossRef]
- Gulnick, J. The Psychology of Perception, Threshold, and Emotion in Interior Glass Design. Glass on Web. 2 December 2019. Available online: https://www.glassonweb.com/article/psychology-perception-threshold-and-emotion-interior-glass-design (accessed on 12 May 2021).
- Deriu, D. Skywalking in the city: Glass platforms and the architecture of vertigo. Emot. Space Soc. 2018, 28, 94–103. [Google Scholar] [CrossRef]
- Bedon, C.; Amadio, C. Exploratory numerical analysis of two-way straight cable-net facades subjected to air blast loads. Eng. Struct. 2014, 79, 276–289. [Google Scholar] [CrossRef]
- Bedon, C.; Zhang, X.; Santos, F.; Honfi, D.; Kozłowski, M.; Arrigoni, M.; Figuli, L.; Lange, D. Performance of structural glass facades under extreme loads—Design methods, existing research, current issues and trends. Constr. Build. Mater. 2018, 163, 921–937. [Google Scholar] [CrossRef]
- China Daily. World’s Longest, Highest Glass Bridge Opens in Hunan. 2016. Available online: https://www.chinadaily.com.cn/travel/2016-08/21/content_26546587_7.htm (accessed on 12 May 2021).
- Darral, S. Don’t Look Down! The Terrifying See-Through Path Stuck to a Chinese Cliff-Face 4,000ft above a Rocky Ravine. 2011. Available online: https://www.dailymail.co.uk/news/article-2060023/Chinas-newest-tourist-attraction--glass-bottomed-walkway-cliff-face.html (accessed on 12 May 2021).
- Bedon, C.; Kruszka, L. An insight on the mitigation of glass soft targets and design of protective facades. In Critical Infrastructure Protection. Best Practices and Innovative Methods of Protection, NATO Science for Peace and Security Series D: Information and Communication Security; Kruszka, L., Klósak, M., Muzolf, P., Eds.; IOS Press: Amsterdam, The Netherlands, 2019; Volume 52, pp. 107–117. ISBN 978-1-61499-963-8. [Google Scholar]
- Bedon, C. Transparent materials and new design strategies in the COVID-19 era. In Abstract Book of ICCECIP 2020, International Conference on Central European Critical Infrastructure Protection, Budapest, Hungary, 16–17 November 2020; Nyikes, Z., Kovacs, T.A., Molnar, A., Eds.; Óbuda University: Budapest, Hungary, 2020; p. 39. ISBN 978-963-449-221-4. [Google Scholar]
- Nothingam, S. Simply Breathtaking: Glass Floor Ideas for the Polished Modern Home. Available online: https://www.decoist.com/glass-floor-ideas/?firefox=1 (accessed on 12 May 2021).
- Loijens, L.; Krips, O. FaceReader Methodology; Noldus Information Technology: Wageningen, The Netherlands, 2013. [Google Scholar]
- Zaman, B.; Shrimpton-Smith, T. The FaceReader: Measuring instant fun of use. In Proceedings of the 4th Nordic Conference on Human-Computer Interaction (NordiCHI ’06). Oslo, Norway, 14–18 October 2006. [Google Scholar]
- Yu, C.Y.; Ko, C.H. Applying FaceReader to recognize consumer emotions in graphic styles. Procedia CIRP 2017, 60, 104–109. [Google Scholar] [CrossRef]
- Mordor Intelligence. Europe Flat Glass Market—Growth, Trends, COVID-19 Impact, and Forecasts (2021–2026). Technical Report. 2020. Available online: https://www.mordorintelligence.com/industry-reports/europe-flat-glass-market (accessed on 12 May 2021).
- Creating Safe, Sustainable Spaces: How Building Materials Will Evolve Post COVID-19. 2020. Available online: https://www.gauzy.com/creating-safe-sustainable-spaces-how-building-materials-will-evolve-post-covid-19/ (accessed on 12 May 2021).
- Chan, Z.Y.S.; MacPhail, A.J.C.; Au, I.P.H.; Zhang, J.H.; Lam, B.M.F.; Ferber, R.; Cheung, R.T.H. Walking with head-mounted virtual and augmented reality devices: Effects on position control and gait biomechanics. PLoS ONE 2019, 14, e0225972. [Google Scholar] [CrossRef] [PubMed]
- Yang, Y.R.; Tsai, M.P.; Chuang, T.Y.; Sung, W.H.; Wang, R.Y. Virtual reality-based training improves community ambulation in individuals with stroke: A randomized controlled trial. Gait Posture 2008, 28, 201–206. [Google Scholar] [CrossRef] [PubMed]
- Airbnb. Off-Grid itHouse. Available online: https://www.airbnb.it/rooms/19606?source_impression_id=p3_1620923233_mkY0whaLq1nXgbul (accessed on 12 May 2021).
- AASA Architecture. Nhow-Amsterdam-RAI-Hotel-by-OMA-01. 2020. Available online: https://aasarchitecture.com/2020/02/cod-and-being-development-delivered-the-nhow-amsterdam-rai-hotel-by-oma.html/nhow-amsterdam-rai-hotel-by-oma-01/ (accessed on 12 May 2021).
- ABC News. China Closes “Scary” Glass Bridges Due to “Safety Problems”. 2019. Available online: https://www.abc.net.au/news/2019-11-01/china-closes-glass-bridges-due-to-safety-problems/11662372 (accessed on 12 May 2021).
- Sedak All-Glass Stairs: A Step towards Freedom. Available online: https://www.sedak.com/en/applications/architecture/glass-stairs (accessed on 12 May 2021).
- Times Colonist. Vehicle Crashes through Window, Damaging Saanich Real Estate Office. 2020. Available online: https://www.timescolonist.com/news/local/vehicle-crashes-through-window-damaging-saanich-real-estate-office-1.24094689 (accessed on 12 May 2021).
- Lavars, N. Seattle’s Iconic Space Needle Tower Gets a Revolving Glass Floor. 2018. Available online: https://newatlas.com/seattle-space-needle-glass-floor/55764/ (accessed on 12 May 2021).
- Dragun, N. New Flights Mean Chicago Is Calling. 2018. Available online: https://www.escape.com.au/destinations/north-america/usa/new-flights-mean-chicago-is-calling/news-story/36343c5cbf8aca3de0fe6bab4f68f039 (accessed on 12 May 2021).
- Hello World. 2020. Available online: www.helloworldparis.com (accessed on 12 May 2021).
- Wellershoff, F.; Sedlacek, G. Glass pavilion rheinbach—stability of glass columns. In Proceedings of the Leading International Glass Conference “Glass Processing Days 2003”, Tampere, Finland, 15–18 June 2003; pp. 316–318. [Google Scholar]
- Glacier Skywalk. Available online: https://www.gettyimages.fi/photos/glacier-skywalk?family=editorial&phrase=glacier%20skywalk&sort=mostpopular (accessed on 12 May 2021).
- Bedon, C. Issues on the vibration analysis of in-service laminated glass structures: Analytical, experimental and numerical investigations on delaminated beams. Appl. Sci. 2019, 9, 3928. [Google Scholar] [CrossRef]
- Bedon, C. Diagnostic analysis and dynamic identification of a glass suspension footbridge via on-site vibration experiments and FE numerical modelling. Compos. Struct. 2019, 216, 366–378. [Google Scholar] [CrossRef]
- Wright, P. World’s Longest and Highest Glass-Bottomed Bridge Opens in China’s “Avatar” Mountains. 2016. Available online: https://weather.com/travel/news/china-glass-bridge-opens (accessed on 12 May 2021).
- Myers, L. Hayri Atak Envisions a Boutique Hotel Suspended over a Cliff Edge in Norway. 2019. Available online: https://www.designboom.com/architecture/hayri-atak-cliff-concept-boutique-hotel-norway-07-22-2019/ (accessed on 12 May 2021).
- Frearson, A. MVRDV Replaces Chanel Store’s Traditional Facade with Glass Bricks that Are “Stronger than Concrete”. 2016. Available online: https://www.dezeen.com/2016/04/20/crystal-houses-amsterdam-chanel-store-mvrdv-glass-facade-technology/ (accessed on 12 May 2021).
- Tripadvisor. King Power Mahanakhon. Available online: https://www.tripadvisor.it/Attraction_Review-g293916-d14135436-Reviews-King_Power_Mahanakhon-Bangkok.html (accessed on 12 May 2021).
- Pintos, P. 30 St Mary Axe Tower/Foster + Partners. Available online: https://www.archdaily.com/928285/30-st-mary-axe-tower-foster-plus-partners (accessed on 12 May 2021).
- Schlaich Bergermann Partner. Glass Bridge Lisbon. 2010. Available online: https://www.sbp.de/fr/projekt/glasbruecke-lissabon/ (accessed on 12 May 2021).
- MVRDV Markthal. Available online: https://www.mvrdv.nl/projects/115/markthal (accessed on 12 May 2021).
- A’DAM LOOKOUT + 360° Lunch in Revolving Restaurant Moon. Available online: https://www.adamlookout.com/combi-tickets/#!/lunch (accessed on 12 May 2021).
- Toronto Star. China Opens Terrifying Tianmen Mountain Glass Walkway. 2016. Available online: https://www.thestar.com/news/world/2016/08/03/china-opens-terrifying-tianmen-mountain-glass-walkway.html (accessed on 12 May 2021).
- Design & Contract. Referenze: Hotel Hubertus—Valdaora, Bolzano. Available online: https://designandcontract.com/it/referenze/hotel-hubertus-valdaora-bolzano (accessed on 12 May 2021).
- Crook, L. Snøhetta Completes Europe’s First Underwater Restaurant in Norway. 2019. Available online: https://www.dezeen.com/2019/03/20/underwater-restaurant-under-snohetta-baly-norway/ (accessed on 12 May 2021).
- Vitroplena Structural Glass Solutions—A Transparent Office Floor. 2017. Available online: https://www.vitroplena.be/en/innovative-solutions (accessed on 12 May 2021).
- Tripster. 360 Chicago Observation Deck in Chicago. Available online: https://www.tripster.com/detail/360-chicago-observation-deck (accessed on 12 May 2021).





















Publisher’s Note: MDPI stays neutral with regard to jurisdictional claims in published maps and institutional affiliations. |
© 2021 by the authors. Licensee MDPI, Basel, Switzerland. This article is an open access article distributed under the terms and conditions of the Creative Commons Attribution (CC BY) license (https://creativecommons.org/licenses/by/4.0/).
Share and Cite
Bedon, C.; Mattei, S. Facial Expression-Based Experimental Analysis of Human Reactions and Psychological Comfort on Glass Structures in Buildings. Buildings 2021, 11, 204. https://doi.org/10.3390/buildings11050204
Bedon C, Mattei S. Facial Expression-Based Experimental Analysis of Human Reactions and Psychological Comfort on Glass Structures in Buildings. Buildings. 2021; 11(5):204. https://doi.org/10.3390/buildings11050204
Chicago/Turabian StyleBedon, Chiara, and Silvana Mattei. 2021. "Facial Expression-Based Experimental Analysis of Human Reactions and Psychological Comfort on Glass Structures in Buildings" Buildings 11, no. 5: 204. https://doi.org/10.3390/buildings11050204
APA StyleBedon, C., & Mattei, S. (2021). Facial Expression-Based Experimental Analysis of Human Reactions and Psychological Comfort on Glass Structures in Buildings. Buildings, 11(5), 204. https://doi.org/10.3390/buildings11050204

