Mechanical Properties and Corrosion Resistance of La2O3/A356 Composites Fabricated by Ultrasonic-Assisted Casting
Abstract
1. Introduction
2. Materials and Methods
2.1. Experimental Materials
2.2. Preparation of A356-xLa2O3 Composites
2.3. Microstructure Characterization
2.4. Electrochemical Experiments and Immersion Corrosion Tests
3. Results
3.1. Microstructure
3.2. Mechanical Properties
3.3. Fracture Analysis
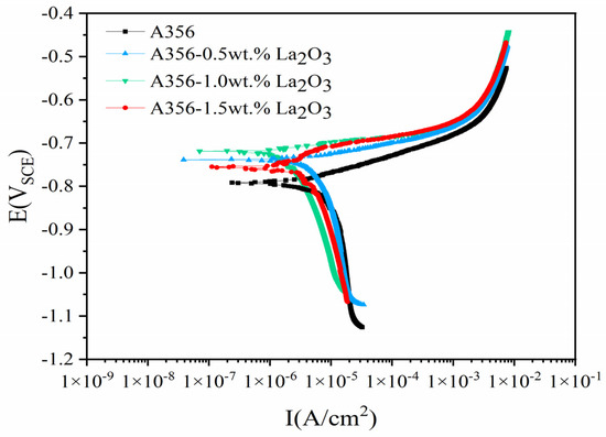
3.4. Corrosion Resistance Analysis
4. Discussion
5. Conclusions
- (1)
- The addition of La2O3 refines the α-Al phase of the A356 matrix, and the long stripe-like Si and β-Al5FeSi phases are transformed into short rod-like particles. Concurrently, the rare earth-reinforced phase Al11La3 was generated. The metamorphic effects of La2O3/A356 composites with 1.0 wt.% La2O3 were the best at this time.
- (2)
- The addition of different contents of La2O3 improved the mechanical properties of the A356 matrix to some extent. The yield strength, ultimate tensile strength, and elongation of La2O3/A356 composites with 1.0 wt.% La2O3 were best. The addition of La2O3 made the A356 matrix have a tendency to shift from brittle fracture to ductile fracture, and the shift to ductile fracture was most obvious when the addition amount was 1.0 wt.%.
- (3)
- With the addition of La2O3 to the A356 matrix, the cathodic phases (eutectic Si phase and β-Al5FeSi phase) in the microcells were refined, reducing the corrosion rate in the cathodic region. The corrosion potential (−719.391 mV) of La2O3/A356 composites with 1.0 wt.% La2O3 was 72 mV higher than that of the matrix (−791.756 mV), the corrosion current density (1.62 μA·cm−2) was 84.8% lower than that of the matrix (10.67 μA·cm−2), and the impedance Z (13,655.33 Ω·cm2) was 59.1% higher than that of the matrix (8584.61 Ω·cm2) and had the best corrosion resistance.
Author Contributions
Funding
Data Availability Statement
Conflicts of Interest
References
- Wu, W.Q.; Gong, M.Y.; Wei, B.Q.; Misra, A.; Wang, J. Atomistic modeling of interface strengthening in Al-Si eutectic alloys. Acta Mater. 2022, 225, 117586. [Google Scholar] [CrossRef]
- Xi, H.L.; Xiao, W.L.; Li, H.; Fu, Y.; Yi, G.; Qie, J.; Ma, X.; Ma, C. Effects of submicron-sized TiC particles on the microstructure modification and mechanical properties of Al-Si-Mg alloy. J. Alloys Compd. 2023, 968, 171963. [Google Scholar] [CrossRef]
- Pramod, S.L.; Prasada Rao, A.K.; Murty, B.S.; Bakshi, S.R. Effect of Sc addition on the microstructure and wear properties of A356 alloy and A356-TiB2 in situ composite. Mater. Des. 2015, 78, 85–94. [Google Scholar] [CrossRef]
- Garza Elizondo, G.H.; Elsharkawi, E.A.; Samuel, A.M.; Doty, H.W.; Samuel, F.H. Effects of Alloying Elements Additions on Ambient Temperature Performance of Al–Si–Cu–Mg Base Alloys. Int. J. Met. 2021, 15, 1385–1401. [Google Scholar] [CrossRef]
- Liao, H.C.; Lu, L.Z.; Li, G.J.; Huang, Y.L.; Yang, L.L.; Guo, H.T.; Wu, F. Influence of minor addition of La and Ce on the ageing precipitation behavior of Sr-modified Al-7Si-0.6Mg alloy. Mater. Today Commun. 2024, 39, 108825. [Google Scholar] [CrossRef]
- Liang, Y.G.; Cui, C.X.; Geng, H.T.; Liu, L.; Cui, S.; Yang, S.C. Effects of In-Situ BaB6/Al Composite Inoculant on the Mechanical and Corrosion Behavior of Al-7Si-0.3Mg Alloy. Met. Mater. Int. 2022, 29, 968–982. [Google Scholar] [CrossRef]
- Heusler, L.; Schneider, W. Influence of alloying elements on the thermal analysis results of Al-Si cast alloys. J. Light Met. 2002, 2, 17–26. [Google Scholar] [CrossRef]
- Yang, Y.; Zhou, W.F.; Tong, Z.P.; Chen, L.; Yang, X.Q.; Larson, E.A.; Ren, X.D. Electrochemical Corrosion Behavior of 5083 Aluminum Alloy Subjected to Laser Shock Peening. J. Mater. Eng. Perform. 2019, 28, 6081–6091. [Google Scholar] [CrossRef]
- Kang, J.; Su, R.; Wu, D.Y.; Liu, C.H.; Li, T.; Wang, L.S.; Narayanaswamy, B. Synergistic effects of Ce and Mg on the microstructure and tensile properties of Al-7Si-0.3Mg-0.2Fe alloy. J. Alloys Compd. 2019, 796, 267–278. [Google Scholar] [CrossRef]
- Amer, S.M.; Glavatskikh, M.V.; Barkov, R.Y.; Khomutov, M.G.; Pozdniakov, A.V. Phase composition and mechanical properties of Al-Si based alloys with Yb or Gd addition. Mater. Lett. 2022, 320, 132320. [Google Scholar] [CrossRef]
- Liu, N.; Jiang, B.; Wang, Y.; Ji, Z.; Hu, M.; Xu, H. Influence of trace amount chromium on microstructure and corrosion behavior of A356-5vol.%TiB2 alloy. Mater. Lett. 2022, 314, 131798. [Google Scholar] [CrossRef]
- Yang, R.; Wang, L.; Zhu, Q.; Zhang, Z.; Liu, M. TiC nanoparticles enhanced ultrasonic treatment for microstructure refinement of A356 alloy. Mater. Lett. 2020, 277, 128358. [Google Scholar] [CrossRef]
- Arrabal, R.; Mingo, B.; Pardo, A.; Mohedano, M.; Matykina, E.; Merino, M.C.; Rivas, A. Microstructure and corrosion behaviour of A356 aluminium alloy modified with Nd. Mater. Corros. 2015, 66, 534–541. [Google Scholar] [CrossRef]
- Jiang, W.M.; Fan, Z.T.; Dai, Y.C.; Li, C. Effects of rare earth elements addition on microstructures, tensile properties and fractography of A357 alloy. Mater. Sci. Eng. A 2014, 597, 237–244. [Google Scholar] [CrossRef]
- Wang, Q.G. Microstructural effects on the tensile and fracture behavior of aluminum casting alloys A356/357. Metall. Mater. Trans. A 2003, 34, 2887–2899. [Google Scholar] [CrossRef]
- Colombo, M.; Buzolin, R.H.; Gariboldi, E.; Vallant, R.; Sommitsch, C. Characterization of localized corrosion of heat treated Er- and Zr-containing A356 alloys in 3.5 wt% NaCl aqueous solution. Mater. Corros. 2019, 70, 246–258. [Google Scholar] [CrossRef]
- Shin, J.H.; Jeon, J.H.; Bae, D.H. Microstructure refining of aluminum alloys using aluminothermic reaction with ZnO nanoparticles. Mater. Lett. 2015, 151, 96–99. [Google Scholar] [CrossRef]
- Shayan, M.; Eghbali, B.; Niroumand, B. Fabrication of AA2024−TiO2 nanocomposites through stir casting process. Trans. Nonferrous Met. Soc. China 2020, 30, 2891–2903. [Google Scholar] [CrossRef]
- Abdizadeh, H.; Baghchesara, M.A. Investigation on mechanical properties and fracture behavior of A356 aluminum alloy based ZrO2 particle reinforced metal-matrix composites. Ceram. Int. 2013, 39, 2045–2050. [Google Scholar] [CrossRef]
- Sajjadi, S.A.; Ezatpour, H.R.; Torabi Parizi, M. Comparison of microstructure and mechanical properties of A356 aluminum alloy/Al2O3 composites fabricated by stir and compo-casting processes. Mater. Des. 2012, 34, 106–111. [Google Scholar] [CrossRef]
- Zhou, S.H.; Napolitano, R.E. Phase equilibria and thermodynamic limits for partitionless crystallization in the Al–La binary system. Acta Mater. 2006, 54, 831–840. [Google Scholar] [CrossRef]
- Yan, H.; Chen, F.H.; Li, Z.H. Microstructure and mechanical properties of AlSi10Cu3 alloy with (La+Yb) addition processed by heat treatment. J. Rare Earths 2016, 34, 938–944. [Google Scholar] [CrossRef]
- Silva, T.C.; Barros, A.S.; Filho, J.C.; Moreira, A.L.; Barbosa, C.R.; Rocha, O.L. Correction: Study of Electrochemical Corrosion in Samples of a Horizontally Solidified AlCuSi Alloy. Int. J. Metalcast. 2023, 17, 2349. [Google Scholar] [CrossRef]
- Bertin, F.; Joshi, G.R.; Kittel, J.; Sagnard, C.; Ropital, F.; Martinez, M.; Bosch, C.; Wolski, K. Electrochemical impedance response of a thick and porous calcium carbonate layer deposited by thermal growth on a carbon steel electrode. Corros. Sci. 2024, 227, 111778. [Google Scholar] [CrossRef]
- Yang, J.; Peng, J.; Nyberg, E.A.; Pan, F.-S. Effect of Ca addition on the corrosion behavior of Mg–Al–Mn alloy. Appl. Surf. Sci. 2016, 369, 92–100. [Google Scholar] [CrossRef]
- Peng, Y.C.; Huang, B.; Zhong, Y.F.; Su, C.C.; Tao, Z.S.; Rong, X.C.; Li, Z.Y.; Tang, H.Q. Electrochemical corrosion behavior of 6061 Al alloy under high rotating speed submerged friction stir processing. Corros. Sci. 2023, 215, 111029. [Google Scholar] [CrossRef]
- Wang, Z.; Dong, L.; Hu, B.; Chen, B. The Effect of Cu Addition on Corrosion Resistance of Al-Si-Mg-Cr Alloy. Metals 2023, 13, 795. [Google Scholar] [CrossRef]
- Zhu, H.; Dong, K.; Huang, J.; Li, J.; Wang, G.; Xie, Z. Reaction mechanism and mechanical properties of an aluminum-based composite fabricated in-situ from Al–SiO2 system. Mater. Chem. Phys. 2014, 145, 334–341. [Google Scholar] [CrossRef]
- Dikici, B.; Gavgali, M. The effect of sintering time on synthesis of in situ submicron α-Al2O3 particles by the exothermic reactions of CuO particles in molten pure Al. J. Alloys Compd. 2013, 551, 101–107. [Google Scholar] [CrossRef]
- Zhang, Q.; Xiao, B.L.; Wang, W.G.; Ma, Z.Y. Reactive mechanism and mechanical properties of in situ composites fabricated from an Al–TiO2 system by friction stir processing. Acta Mater. 2012, 60, 7090–7103. [Google Scholar] [CrossRef]
- Zhu, H.; Min, J.; Li, J.; Ai, Y.; Ge, L.; Wang, H. In situ fabrication of (α-Al2O3+Al3Zr)/Al composites in an Al–ZrO2 system. Compos. Sci. Technol. 2010, 70, 2183–2189. [Google Scholar] [CrossRef]
- Zou, X.; Cheng, Z.; Wang, J.; Yan, H. Enhanced interfacial bonding and mechanical properties of CeO2-coated graphene oxide reinforced 7075 composites. Mater. Sci. Eng. A 2024, 910, 146892. [Google Scholar] [CrossRef]
- Moussa, M.E.; El-Hadad, S.; Khalifa, W. Influence of chemical modification by Y2O3 on eutectic Si characteristics and tensile properties of A356 alloy. Trans. Nonferrous Met. Soc. China 2019, 29, 1365–1374. [Google Scholar] [CrossRef]
- Zhou, C.; Lv, M.; Zan, Y.N.; Liu, Y.; Shao, X.H.; Wang, Q.Z.; Wang, D.; Xiao, B.L.; Ma, Z.Y. Microstructure and mechanical properties of aluminum matrix composites produced by Al-La2O3 in-situ reaction. Mater. Charact. 2022, 188, 111887. [Google Scholar] [CrossRef]
- Xiong, J.J.; Yan, H. Microstructure and mechanical properties of ADC12 composites reinforced with graphene nanoplates prepared by ultrasonic assisted casting. Trans. Nonferrous Met. Soc. China 2020, 30, 3210–3225. [Google Scholar] [CrossRef]
- McDonald, S.D.; Nogita, K.; Dahle, A.K. Eutectic nucleation in Al–Si alloys. Acta Mater. 2004, 52, 4273–4280. [Google Scholar] [CrossRef]
- Lu, S.Z.; Hellawell, A. The mechanism of silicon modiffcation in aluminum-silicon alloys-impurity induced twinning. Metall. Mater. Trans. A 1987, 18, 1721–1733. [Google Scholar] [CrossRef]
- Cui, L.; Guo, Y.; Wang, X.; Du, Z.; Cheng, F. Dissolution kinetics of aluminum and iron from coal mining waste by hydrochloric acid. Chin. J. Chem. Eng. 2015, 23, 590–596. [Google Scholar] [CrossRef]
- Sivaiah, M.V.; Petit, S.; Brendlé, J.; Patrier, P. Rapid synthesis of aluminium polycations by microwave assisted hydrolysis of aluminium via decomposition of urea and preparation of Al-pillared montmorillonite. Appl. Clay Sci. 2010, 48, 138–145. [Google Scholar] [CrossRef]
- Abouei, V.; Saghafian, H.; Shabestari, S.G.; Zarghami, M. Effect of Fe-rich intermetallics on the wear behavior of eutectic Al–Si piston alloy (LM13). Mater. Des. 2010, 31, 3518–3524. [Google Scholar] [CrossRef]
- Arthanari, S.; Jang, J.C.; Shin, K.S. Corrosion performance of high pressure die-cast Al-Si-Mg-Zn alloys in 3.5 wt% NaCl solution. J. Alloys Compd. 2019, 783, 494–502. [Google Scholar] [CrossRef]











| Elements | Si | Mg | Zn | Fe | Cu | Mn | Ti | Al |
|---|---|---|---|---|---|---|---|---|
| (wt.%) | 7.1749 | 0.4162 | 0.0716 | 0.0934 | 0.0036 | 0.0016 | 0.1010 | Bal. |
| Specimen | YS (MPa) | UTS (MPa) | EL (%) |
|---|---|---|---|
| A356 | 115.8 ± 3 | 162.1 ± 4 | 3.2 ± 0.2 |
| A356-0.5wt.% La2O3 | 127.6 ± 4 | 178.4 ± 5 | 4.3 ± 0.3 |
| A356-1.0wt.% La2O3 | 141.3 ± 4 | 192.4 ± 4 | 5.3 ± 0.3 |
| A356-1.5wt.% La2O3 | 132.4 ± 3 | 186.2 ± 5 | 4.7 ± 0.3 |
| Specimen | Ecorr (mVSCE) | Icorr (μA·cm−2) |
|---|---|---|
| A356 | −791.756 | 10.67 |
| A356-0.5 wt.% La2O3 | −738.535 | 5.69 |
| A356-1.0 wt.% La2O3 | −719.391 | 1.62 |
| A356-1.5 wt.% La2O3 | −755.786 | 7.69 |
| Specimen | Rs (Ω·cm2) | Rp (Ω·cm2) | CPE-T (μF·sp·cm−2) | CPE-P | Z (Ω·cm2) |
|---|---|---|---|---|---|
| A356 | 32.61 | 8552 | 3.0812 × 10−5 | 0.80882 | 8584.61 |
| A356-0.5wt.%La2O3 | 26.03 | 8773 | 1.7974 × 10−5 | 0.83716 | 8799.03 |
| A356-1.0wt.%La2O3 | 32.33 | 13,623 | 5.5691 × 10−6 | 0.84987 | 13,655.33 |
| A356-1.5wt.%La2O3 | 26.71 | 8628 | 1.3624 × 10−5 | 0.82711 | 8654.71 |
Disclaimer/Publisher’s Note: The statements, opinions and data contained in all publications are solely those of the individual author(s) and contributor(s) and not of MDPI and/or the editor(s). MDPI and/or the editor(s) disclaim responsibility for any injury to people or property resulting from any ideas, methods, instructions or products referred to in the content. |
© 2025 by the authors. Licensee MDPI, Basel, Switzerland. This article is an open access article distributed under the terms and conditions of the Creative Commons Attribution (CC BY) license (https://creativecommons.org/licenses/by/4.0/).
Share and Cite
Wan, H.; Shuai, L.; Ling, L.; Hu, Z.; Yan, H. Mechanical Properties and Corrosion Resistance of La2O3/A356 Composites Fabricated by Ultrasonic-Assisted Casting. Metals 2025, 15, 184. https://doi.org/10.3390/met15020184
Wan H, Shuai L, Ling L, Hu Z, Yan H. Mechanical Properties and Corrosion Resistance of La2O3/A356 Composites Fabricated by Ultrasonic-Assisted Casting. Metals. 2025; 15(2):184. https://doi.org/10.3390/met15020184
Chicago/Turabian StyleWan, Hao, Luming Shuai, Lishibao Ling, Zhi Hu, and Hong Yan. 2025. "Mechanical Properties and Corrosion Resistance of La2O3/A356 Composites Fabricated by Ultrasonic-Assisted Casting" Metals 15, no. 2: 184. https://doi.org/10.3390/met15020184
APA StyleWan, H., Shuai, L., Ling, L., Hu, Z., & Yan, H. (2025). Mechanical Properties and Corrosion Resistance of La2O3/A356 Composites Fabricated by Ultrasonic-Assisted Casting. Metals, 15(2), 184. https://doi.org/10.3390/met15020184

