The Direct Alloying of Steel through Silicothermic Self-Reduction of Chromite Ore Utilizing Si-Containing Solid Waste
Abstract
1. Introduction
2. Materials and Methods
2.1. Raw Materials
2.2. Experimental Research Methodologies
2.2.1. Preparation of Silicothermic Self-Reduction Compacts
2.2.2. Direct Alloying Experiment
3. Results and Discussion
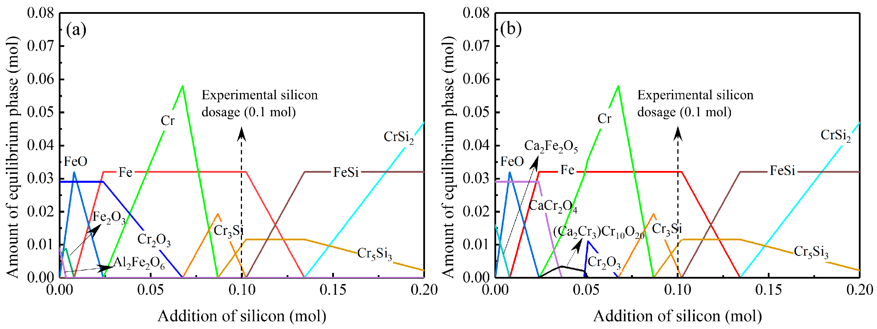
3.1. Thermodynamic Analysis
3.2. Analysis of the Results of Direct Alloying
3.3. The Mechanism of Silicothermic Self-Reduction
4. Conclusions
- Within chromite ore, Fe2O3 is preferentially reduced by Si over Cr2O3. The introduction of CaO and Al2O3 serves to alter the equilibrium states of Fe and Cr oxides, concurrently diminishing the activity of the reduction product SiO2. This leads to a conspicuous reduction in the ΔG0 of the reduction reaction.
- The addition of CaO and Al2O3 significantly lowers the melting point and viscosity of the initial slag. The melting point and viscosity of the initial slag, originally 1700 °C and 134.09 Pa·s without additives, are markedly decreased to 1500 °C and 1.81 Pa·s, respectively, upon the addition of slag.
- The incorporation of CaO and Al2O3 expedites the reduction of Cr and enhances the Cr recovery rate. The final recovery rates of Cr in the silicothermic self-reduction compacts, with and without CaO and Al2O3 addition, directly alloying the molten steel, are 95.4% and 86.4%, respectively. Therefore, employing Si-containing solid waste as a reductant for the direct reduction and alloying of chromite ore is deemed viable. This not only addresses the environmental pollution and resource wastage resulting from Si-containing solid waste but also transforms it into a valuable resource, concurrently reducing the cost associated with Cr alloying in molten steel. However, to achieve the goal of the efficient and economical direct reduction alloying of chromium oxide, the optimum reductant ratio and the different w(CaO)/w(Al2O3) ratio, as well as the amount of CaO and Al2O3 additions, still need to be further investigated.
- However, a side-effect of steel alloying by silicothermic self-reduction is that the reduction product SiO2 reduces the basicity in the LF refining furnace, and in practice, it is necessary to supplement the LF furnace with activated lime to ensure that the basicity remains unchanged. In addition, to achieve higher metal yields, excess reductant Si must be added, which results in the introduction of additional Si into the steel, a factor that needs to be taken into account when deoxidizing or alloying with ferrosilicon. In terms of industrial relevance, the steel industry can provide for the consumption of Si-containing solid waste generated by the silicone industry. Silicothermic self-reduction direct alloying steelmaking is useful for the smelting of ultra-low carbon steels, such as 301L (12Cr17Ni7) stainless steel, to avoid the carbon increase in steel due to the introduction of carbon from high-carbon ferrochromium.
Author Contributions
Funding
Data Availability Statement
Conflicts of Interest
References
- Zhao, L.; Li, Z.; Xi, F.; Li, S.; Ma, W.; Wu, J.; Wei, K. Purification of Organosilicon Waste Silicon Powder with Hydrometallurgy. Metals 2023, 13, 950. [Google Scholar] [CrossRef]
- Zhang, P.; Zhang, D.; Dong, J.; Chen, G.; Li, J. Direct Synthesis of Methylchlorosilanes: Catalysts, Mechanisms, Reaction Conditions, and Reactor Designs. Org. Process Res. Dev. 2022, 26, 2270–2280. [Google Scholar] [CrossRef]
- Xie, J.; Hu, Y.; Gao, Y.; Sun, F. Synthesis and Properties of Trifluoromethyl Organosilicon Cycloaliphatic Epoxy Monomers for Cationic Photopolymerization. J. Appl. Polym. Sci. 2023, 140, e53987. [Google Scholar] [CrossRef]
- Bezlepkina, K.; Belikova, I.; Aristova, V.; Klokova, K.; Ardabevskaia, S.; Pereyaslavtsev, A.; Migulin, D.; Milenin, S. Optimized Synthesis of Functional Organosilicon Monomers and Polymers Exploiting New Types of CuAAC Recoverable Heterogeneous Catalysts. React. Chem. Eng. 2024. Advance Article. [Google Scholar] [CrossRef]
- Yuan, M.; Lu, X.; Ma, X.; Lin, H.; Lu, A.; Shao, L.; Xin, Z. Polybenzoxazine/Organosilicon Composites with Low Dielectric Constant and Dielectric Loss. Chin. J. Chem. Eng. 2023, 64, 241–249. [Google Scholar] [CrossRef]
- Hamawand, I.B.; Hanna, F.Z.; Jalhoom, M.G. Production of Organosilane by The Direct Reaction of Silicon with Methyl Chloride. Eng. Technol. 2007, 25, 1128–1142. [Google Scholar] [CrossRef]
- Zhang, Y.; Li, J.; Liu, H.; Ji, Y.; Zhong, Z.; Su, F. Recent Advances in Rochow-Müller Process Research: Driving to Molecular Catalysis and to A More Sustainable Silicone Industry. ChemCatChem 2019, 11, 2757–2779. [Google Scholar] [CrossRef]
- Blaser, E.; Rosier, C.; Huet, M.; Geantet, C.; Loridant, S. Catalytic Cracking of CH3Cl on Copper-Based Phases. Catal. Sci. Technol. 2022, 12, 2006–2014. [Google Scholar] [CrossRef]
- Zhang, N.; Xiong, Y.; Zhao, J. Conversion of a Direct Process High-Boiling Residue to Monosilanes by a Two-Step Catalysis Approach. Res. Chem. Intermed. 2007, 33, 613–622. [Google Scholar] [CrossRef]
- Wang, G.; Ye, Z.; Dong, S.; Wang, J. Harmless Process of Organic Matter in Organosilicon Waste Residue by Fluidization-like DDBD Reactor: Temperature Action and Mechanism. Chemosphere 2023, 322, 138116. [Google Scholar] [CrossRef]
- Wang, A.; Jiang, Y.; Chen, W.; Yin, H.; Liu, Y.; Shen, Y.; Jiang, T.; Wu, Z. [BMIM]Cl-nAlCl3 Ionic Liquid-Catalyzed Redistribution Reaction between Methyltrichlorosilane and Low-Boiling Residue to Dimethyldichlorosilane. J. Ind. Eng. Chem. 2012, 18, 237–242. [Google Scholar] [CrossRef]
- Yu, J.; Zhan, H.; Wang, Y.; Zhang, Z.; Chen, H.; Li, H.; Zhong, Z.; Su, F. Graphite Microspheres Decorated with Si Particles Derived from Waste Solid of Organosilane Industry as High Capacity Anodes for Li-Ion Batteries. J. Power Sources 2013, 228, 112–119. [Google Scholar] [CrossRef]
- Lu, X.; Gu, F.; Liu, Q.; Gao, J.; Jia, L.; Xu, G.; Zhong, Z.; Su, F. Ni–MnOx Catalysts Supported on Al2O3-Modified Si Waste with Outstanding CO Methanation Catalytic Performance. Ind. Eng. Chem. Res. 2015, 54, 12516–12524. [Google Scholar] [CrossRef]
- Liu, H.; Ji, Y.; Zhu, Y.; Wang, G.; Wang, X.; Zhong, Z.; Su, F. Converting Industrial Waste Contact Masses into Effective Multicomponent Copper-Based Catalysts for the Rochow Process. Particuology 2018, 37, 1–8. [Google Scholar] [CrossRef]
- Guo, X.; Zhang, Z.; Xing, P.; Wang, S.; Guo, Y.; Zhuang, Y. Kinetic Mechanism of Copper Extraction from Methylchlorosilane Slurry Residue Using Hydrogen Peroxide as Oxidant. Chin. J. Chem. Eng. 2023, 60, 228–234. [Google Scholar] [CrossRef]
- Cai, X.; Wu, J.; Wei, K.; Ma, W. Study on the Purification Process of Waste Silicon Powder in the Synthesis Process of Organosilicon Monomer. Silicon 2023. [Google Scholar] [CrossRef]
- Salina, V.; Zayakin, O.; Zhuchkov, V. Thermodynamic Simulation of the Silicothermic Reduction of Chromium Ore Elements. Russ. Metall. 2020, 2020, 14–20. [Google Scholar] [CrossRef]
- Salina, V.; Zhuchkov, V.; Zayakin, O. Thermodynamic Simulation of Silicothermic Reduction of Chromium. Steel Transl. 2020, 50, 84–89. [Google Scholar] [CrossRef]
- Salina, V.; Zhuchkov, V.; Zayakin, O. A Study of Nickel and Iron Reduction Silicothermic Process by Thermodynamic Simulation. MSF 2020, 989, 511–516. [Google Scholar] [CrossRef]
- Heo, J.; Chung, Y.; Park, J. Effect of CaF2 Addition on the Silicothermic Reduction of MnO in Ferromanganese Slag. Metall. Mater. Trans. B 2015, 46, 1154–1161. [Google Scholar] [CrossRef]
- Heo, J.; Park, J. Manganese Recovery by Silicothermic Reduction of MnO in BaO-MnO-MgO-CaF2 (-SiO2) Slags. Metall. Mater. Trans. B 2018, 49, 514–518. [Google Scholar] [CrossRef]
- Lenaz, D.; Braidotti, R.; Princivalle, F.; Garuti, G.; Zaccarini, F. Crystal Chemistry and Structural Refinement of Chromites from Different Chromitite Layers and Xenoliths of the Bushveld Complex. Eur. J. Miner. 2007, 19, 599–609. [Google Scholar] [CrossRef]
- Zhang, Y.; Ji, Y.; Li, J.; Liu, H.; Zhong, Z.; Su, F. Hierarchical Zinc-Copper Oxide Hollow Microspheres as Active Rochow Reaction Catalysts: The Formation and Effect of Charge Transferable Interfaces. J. Catal. 2017, 348, 233–245. [Google Scholar] [CrossRef]
- He, Q.; Yu, J.; Wang, Y.; Zhong, Z.; Jiang, J.; Su, F. Silicon Nanoparticles Prepared from Industrial Wastes as High-Performing Anode Materials for Lithium Ion Batteries. Solid. State Ionics 2018, 325, 141–147. [Google Scholar] [CrossRef]
- Hu, X.; Yang, Q.; Ökvist, L.S.; Björkman, B. Thermal Analysis Study on the Carbothermic Reduction of Chromite Ore with the Addition of Mill Scale. Steel Res. Int. 2016, 87, 562–570. [Google Scholar] [CrossRef]
- Zhu, H.; Li, Z.; Yang, H.; Luo, L. Carbothermic Reduction of MoO3 for Direct Alloying Process. J. Iron Steel Res. Int. 2013, 20, 51–56. [Google Scholar] [CrossRef]
- Ding, Y.; Warner, N. Catalytic Reduction of Carbon-Chromite Composite Pellets by Lime. Thermochim. Acta 1997, 292, 85–94. [Google Scholar] [CrossRef]
- Nakasuga, T.; Sun, H.; Nakashima, K.; Mori, K. Reduction Rate of Cr2O3 in a Solid Powder State and in CaO-SiO2-Al2O3-CaF2 Slags by Fe-C-Si Melts. ISIJ Int. 2001, 41, 937–944. [Google Scholar] [CrossRef]
- Nakasuga, T.; Nakashima, K.; Mori, K. Recovery Rate of Chromium from Stainless Slag by Iron Melts. ISIJ Int. 2004, 44, 665–672. [Google Scholar] [CrossRef]
- Hu, X.; Wang, H.; Teng, L.; Seetharaman, S. Direct Chromium Alloying by Chromite Ore with the Presence of Metallic Iron. J. Min. Metall. Sect. B 2013, 49, 207–215. [Google Scholar] [CrossRef]
- Hu, X.; Ökvist, L.S.; Eriksson, J.; Yang, Q.; Björkman, B. Direct Alloying Steel with Chromium by Briquettes Made from Chromite Ore, Mill Scale, and Petroleum Coke. Steel Res. Int. 2017, 88, 1600247. [Google Scholar] [CrossRef]
- Tsomondo, M.B.C.; Simbi, D.J. Kinetics of Chromite Ore Reduction from MgO-CaO-SiO2-FeO-Cr2O3-Al2O3 Slag System by Carbon Dissolved in High Carbon Ferrochromium Alloy Bath. Ironmak. Steelmak. 2002, 29, 22–28. [Google Scholar] [CrossRef]
- Nakao, R.; Tanaka, S.; Takano, H. Effect of Slag on Decarburization Reaction of Stainless Steel Melt. Tetsu-to-Hagane 1994, 80, 30–35. [Google Scholar] [CrossRef] [PubMed][Green Version]
- Seok, S.H.; Jung, S.M.; Lee, Y.S.; Dongjoon, M. Viscosity of Highly Basic Slags. ISIJ Int. 2007, 47, 1090–1096. [Google Scholar] [CrossRef]
- Li, F.; Liu, X.; Zhao, C.; Yang, Z.; Fan, H.; Han, G.; Xu, M.; Wang, Z.; Fang, Y. Effects of Sludge on the Ash Fusion Behaviors of High Ash-Fusion-Temperature Coal and Its Ash Viscosity Predication. J. Energy Inst. 2023, 108, 101254. [Google Scholar] [CrossRef]
- XU, S.; DAI, W. The Melting Behaviour of Chromite Ores and the Formation of Slag in the Production of High-Carbon Ferrochromium. In Proceedings of the 6th International Ferroalloys Congress (INFACON 6), SAIMM, Cape Town, South Africa, 8–11 March 1992; pp. 87–92. [Google Scholar]
- Hu, T.; Dai, L.; Guo, Q.; Liu, B.; Gui, Q.; Gang, R.; Ji, H.; Zhang, L. Dielectric Properties of Silicothermic Reduction Chromite in the Microwave Field. ACS Omega 2020, 5, 12672–12681. [Google Scholar] [CrossRef]
- Nafziger, R.H.; Tress, J.E.; Paige, J.I. Carbothermic Reduction of Domestic Chromites. Metall. Trans. B 1979, 10, 5–14. [Google Scholar] [CrossRef]












| Si | Fe | O | Cl | Cu | C | Al | Ti | Ca | P | Zr | V | Mn |
|---|---|---|---|---|---|---|---|---|---|---|---|---|
| 68.56 | 9.52 | 7.90 | 4.29 | 3.39 | 2.60 | 1.25 | 1.05 | 0.64 | 0.14 | 0.13 | 0.13 | 0.11 |
| Cr2O3 | Fe2O3 | Al2O3 | MgO | SiO2 | CaO |
|---|---|---|---|---|---|
| 46.02 | 26.10 | 13.60 | 10.25 | 0.98 | 0.28 |
| Components | Chromite Ore | Si-Containing Solid Waste | Al2O3 | CaO |
|---|---|---|---|---|
| S1 | 62.4 | 37.6 | - | - |
| S2 | 34.7 | 21.0 | 16.6 | 27.7 |
Disclaimer/Publisher’s Note: The statements, opinions and data contained in all publications are solely those of the individual author(s) and contributor(s) and not of MDPI and/or the editor(s). MDPI and/or the editor(s) disclaim responsibility for any injury to people or property resulting from any ideas, methods, instructions or products referred to in the content. |
© 2024 by the authors. Licensee MDPI, Basel, Switzerland. This article is an open access article distributed under the terms and conditions of the Creative Commons Attribution (CC BY) license (https://creativecommons.org/licenses/by/4.0/).
Share and Cite
Chen, Y.; Xue, Z.; Song, S. The Direct Alloying of Steel through Silicothermic Self-Reduction of Chromite Ore Utilizing Si-Containing Solid Waste. Metals 2024, 14, 138. https://doi.org/10.3390/met14020138
Chen Y, Xue Z, Song S. The Direct Alloying of Steel through Silicothermic Self-Reduction of Chromite Ore Utilizing Si-Containing Solid Waste. Metals. 2024; 14(2):138. https://doi.org/10.3390/met14020138
Chicago/Turabian StyleChen, Yiliang, Zhengliang Xue, and Shengqiang Song. 2024. "The Direct Alloying of Steel through Silicothermic Self-Reduction of Chromite Ore Utilizing Si-Containing Solid Waste" Metals 14, no. 2: 138. https://doi.org/10.3390/met14020138
APA StyleChen, Y., Xue, Z., & Song, S. (2024). The Direct Alloying of Steel through Silicothermic Self-Reduction of Chromite Ore Utilizing Si-Containing Solid Waste. Metals, 14(2), 138. https://doi.org/10.3390/met14020138

