Investigation of the Impact of Electrochemical Hydrochlorination Process Parameters on the Efficiency of Noble (Au, Ag) and Base Metals Leaching from Computer Printed Circuit Boards
Abstract
1. Introduction
2. Materials and Methods
3. Results and Discussion
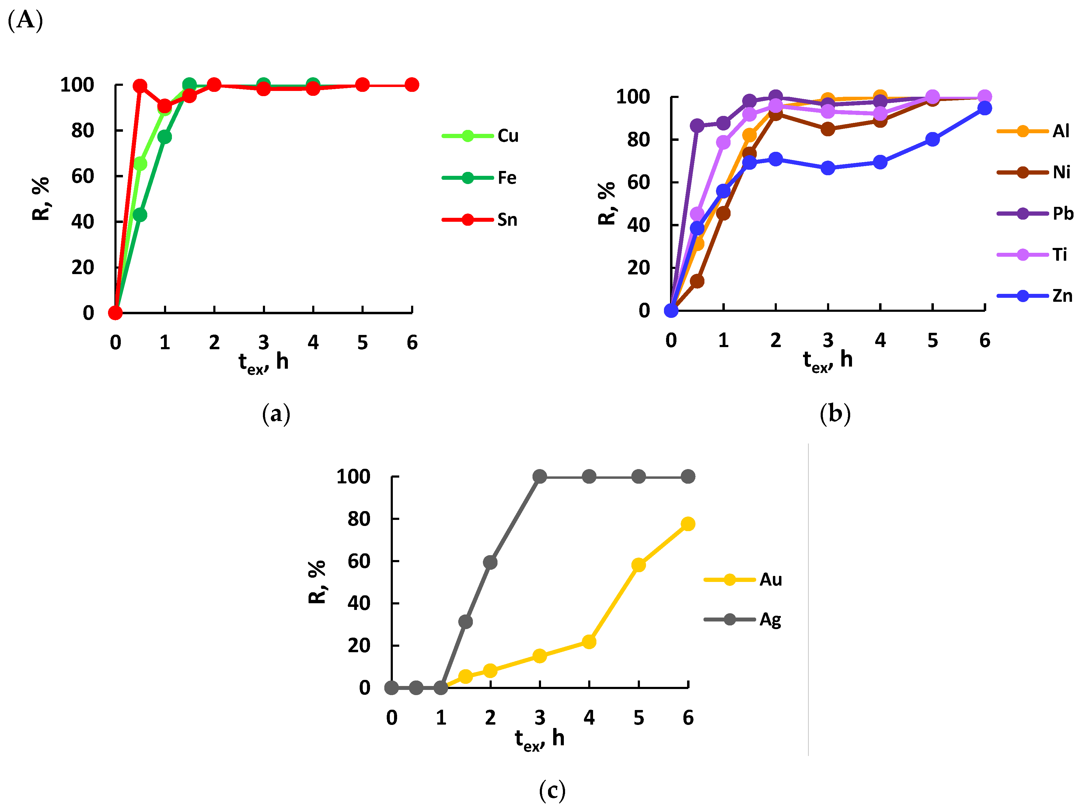
3.1. Raw Material Characterization and Kinetics of Electrochemical Leaching of Metals
3.2. Impact of Electrochemical Process Parameters on the Degree of Metal Leaching
3.2.1. Electrolyte Composition
3.2.2. Current Density and Electrolyte Temperature
3.2.3. Experiment Duration
3.3. Impact of Chemical/Electrochemical Pretreatment on the Efficiency of Metal Leaching
- Electrochemical pretreatment—pretreatment 1. Experimental conditions: polypropylene cell, CHCl = 6 M, i = 0.88 A·cm−2, tex= 1 h, S/L = 8.6 g/L. The treatment was carried out without regulation of the electrolyte temperature (Tel) and during the process Tel increased from 20 °C to 68 °C;
- Chemical pretreatment—pretreatment 2. Experimental conditions: glass cell, CHCl = 6 M, i = 0, tex= 1 h, S/L = 8.6 g/L. The pretreatment was carried out at a constant electrolyte temperature (Tel = 70 °C).
3.4. Electrolyte Reuse in Metal Leaching
3.5. Quantitative Determination of Metals in Solid Residue
3.6. Study of Metal Leaching Process Reproducibility
4. Conclusions
Author Contributions
Funding
Data Availability Statement
Conflicts of Interest
References
- European Commission Eurostat, Waste Statistics—Electrical and Electronic Equipment. Available online: https://ec.europa.eu/eurostat/statistics-explained/index.php?title=Waste_statistics_-_electrical_and_electronic_equipment#Further_Eurostat_information (accessed on 7 November 2023).
- European Commission Waste Electrical and Electronic Equipment (WEEE) by Waste Management Operations. Available online: https://ec.europa.eu/eurostat/databrowser/view/env_waseleeos__custom_8337649/default/table?lang=en (accessed on 7 November 2023).
- Chatterjee, S.; Kumar, K. Effective Electronic Waste Management and Recycling Process Involving Formal and Non-Formal Sectors. Int. J. Phys. Sci. 2009, 4, 893–905. [Google Scholar]
- Bizzo, W.; Figueiredo, R.; de Andrade, V. Characterization of Printed Circuit Boards for Metal and Energy Recovery after Milling and Mechanical Separation. Materials 2014, 7, 4555–4566. [Google Scholar] [CrossRef]
- Li, J.; Shrivastava, P.; Gao, Z.; Zhang, H.-C. Printed Circuit Board Recycling: A State-of-the-Art Survey. IEEE Trans. Electron. Packag. Manuf. 2004, 27, 33–42. [Google Scholar] [CrossRef]
- Cui, J.; Zhang, L. Metallurgical Recovery of Metals from Electronic Waste: A Review. J. Hazard. Mater. 2008, 158, 228–256. [Google Scholar] [CrossRef] [PubMed]
- Gulliani, S.; Volpe, M.; Messineo, A.; Volpe, R. Recovery of Metals and Valuable Chemicals from Waste Electric and Electronic Materials: A Critical Review of Existing Technologies. RSC Sustain. 2023, 1, 1085–1108. [Google Scholar] [CrossRef]
- Tunsu, C.; Retegan, T. Hydrometallurgical Processes for the Recovery of Metals from WEEE. In WEEE Recycling; Elsevier: Amsterdam, The Netherlands, 2016; pp. 139–175. [Google Scholar]
- Zhang, Y.; Liu, S.; Xie, H.; Zeng, X.; Li, J. Current Status on Leaching Precious Metals from Waste Printed Circuit Boards. Procedia Environ. Sci. 2012, 16, 560–568. [Google Scholar] [CrossRef]
- Chancerel, P.; Meskers, C.E.M.; Hagelüken, C.; Rotter, V.S. Assessment of Precious Metal Flows During Preprocessing of Waste Electrical and Electronic Equipment. J. Ind. Ecol. 2009, 13, 791–810. [Google Scholar] [CrossRef]
- Birich, A.; Gao, Z.; Vrucak, D.; Friedrich, B. Sensitivity of Gold Lixiviants for Metal Impurities in Leaching of RAM Printed Circuit Boards. Metals 2023, 13, 969. [Google Scholar] [CrossRef]
- Sethurajan, M.; van Hullebusch, E.D.; Fontana, D.; Akcil, A.; Deveci, H.; Batinic, B.; Leal, J.P.; Gasche, T.A.; Ali Kucuker, M.; Kuchta, K.; et al. Recent Advances on Hydrometallurgical Recovery of Critical and Precious Elements from End of Life Electronic Wastes—A Review. Crit. Rev. Environ. Sci. Technol. 2019, 49, 212–275. [Google Scholar] [CrossRef]
- Xolo, L.; Moleko-Boyce, P.; Makelane, H.; Faleni, N.; Tshentu, Z.R. Status of Recovery of Strategic Metals from Spent Secondary Products. Minerals 2021, 11, 673. [Google Scholar] [CrossRef]
- Wu, Z.; Yuan, W.; Li, J.; Wang, X.; Liu, L.; Wang, J. A Critical Review on the Recycling of Copper and Precious Metals from Waste Printed Circuit Boards Using Hydrometallurgy. Front. Environ. Sci. Eng. 2017, 11, 8. [Google Scholar] [CrossRef]
- Islam, A.; Ahmed, T.; Awual, M.R.; Rahman, A.; Sultana, M.; Aziz, A.A.; Monir, M.U.; Teo, S.H.; Hasan, M. Advances in Sustainable Approaches to Recover Metals from E-Waste-A Review. J. Clean. Prod. 2020, 244, 118815. [Google Scholar] [CrossRef]
- Van Yken, J.; Boxall, N.J.; Cheng, K.Y.; Nikoloski, A.N.; Moheimani, N.R.; Kaksonen, A.H. E-Waste Recycling and Resource Recovery: A Review on Technologies, Barriers and Enablers with a Focus on Oceania. Metals 2021, 11, 1313. [Google Scholar] [CrossRef]
- Zhang, L.; Xu, Z. A Review of Current Progress of Recycling Technologies for Metals from Waste Electrical and Electronic Equipment. J. Clean. Prod. 2016, 127, 19–36. [Google Scholar] [CrossRef]
- Gökelma, M.; Birich, A.; Stopic, S.; Friedrich, B. A Review on Alternative Gold Recovery Re-Agents to Cyanide. J. Mater. Sci. Chem. Eng. 2016, 04, 8–17. [Google Scholar] [CrossRef]
- Akcil, A.; Erust, C.; Gahan, C.S.; Ozgun, M.; Sahin, M.; Tuncuk, A. Precious Metal Recovery from Waste Printed Circuit Boards Using Cyanide and Non-Cyanide Lixiviants—A Review. Waste Manag. 2015, 45, 258–271. [Google Scholar] [CrossRef] [PubMed]
- Ha, V.H.; Lee, J.; Huynh, T.H.; Jeong, J.; Pandey, B.D. Optimizing the Thiosulfate Leaching of Gold from Printed Circuit Boards of Discarded Mobile Phone. Hydrometallurgy 2014, 149, 118–126. [Google Scholar] [CrossRef]
- Birloaga, I.; Vegliò, F. Study of Multi-Step Hydrometallurgical Methods to Extract the Valuable Content of Gold, Silver and Copper from Waste Printed Circuit Boards. J. Environ. Chem. Eng. 2016, 4, 20–29. [Google Scholar] [CrossRef]
- Hsu, E.; Barmak, K.; West, A.C.; Park, A.-H.A. Advancements in the Treatment and Processing of Electronic Waste with Sustainability: A Review of Metal Extraction and Recovery Technologies. Green Chem. 2019, 21, 919–936. [Google Scholar] [CrossRef]
- Swaminathan, C.; Pyke, P.; Johnston, R.F. Reagent Trends in the Gold Extraction Industry. Miner. Eng. 1993, 6, 1–16. [Google Scholar] [CrossRef]
- Xu, R.; Nan, X.; Meng, F.; Li, Q.; Chen, X.; Yang, Y.; Xu, B.; Jiang, T. Analysis and Prediction of the Thiourea Gold Leaching Process Using Grey Relational Analysis and Artificial Neural Networks. Minerals 2020, 10, 811. [Google Scholar] [CrossRef]
- Deng, C.; Xiang, P.; Liu, L.; Huang, Y. Study on Gold Extraction Process of Printed Circuit Board Based on Thiourea Method. J. Phys. Conf. Ser. 2020, 1549, 032093. [Google Scholar] [CrossRef]
- Ray, D.A.; Baniasadi, M.; Graves, J.E.; Greenwood, A.; Farnaud, S. Thiourea Leaching: An Update on a Sustainable Approach for Gold Recovery from E-Waste. J. Sustain. Met. 2022, 8, 597–612. [Google Scholar] [CrossRef]
- Maslenitsky, I.N.; Chugaev, L.V.; Borbat, V.F.; Nikitin, M.V.; Strizhko, L.S. Metallurgy of Noble Metals. In Metallurgy; Chugaev, L.V., Ed.; Metallurgy: Moscow, Russia, 1987; pp. 315–321. [Google Scholar]
- La Brooy, S.R.; Linge, H.G.; Walker, G.S. Review of Gold Extraction from Ores. Miner. Eng. 1994, 7, 1213–1241. [Google Scholar] [CrossRef]
- Dönmez, B.; Sevim, F.; Çolak, S. A Study on Recovery of Gold from Decopperized Anode Slime. Chem. Eng. Technol. 2001, 24, 91–95. [Google Scholar] [CrossRef]
- Filmer, A.O.; Lawrence, P.R.; Hoffman, W.A. A Comparison of Cyanide, Thiourea, and Chlorine as Lixiviants for Gold. In Gold Mining, Metallurgy and Geology, Kalgoorlie; Australasian Institute of Mining and Metallurgy: Melbourne, Australia, 1984; pp. 279–287. [Google Scholar]
- Herreros, O.; Quiroz, R.; Viñals, J. Dissolution Kinetics of Copper, White Metal and Natural Chalcocite in Cl2/Cl− Media. Hydrometallurgy 1999, 51, 345–357. [Google Scholar] [CrossRef]
- Viñals, J.; Núñez, C.; Herreros, O. Kinetics of the Aqueous Chlorination of Gold in Suspended Particles. Hydrometallurgy 1995, 38, 125–147. [Google Scholar] [CrossRef]
- Kim, E.; Kim, M.; Lee, J.; Jeong, J.; Pandey, B.D. Leaching Kinetics of Copper from Waste Printed Circuit Boards by Electro-Generated Chlorine in HCl Solution. Hydrometallurgy 2011, 107, 124–132. [Google Scholar] [CrossRef]
- Kim, E.; Kim, M.; Lee, J.; Pandey, B.D. Selective Recovery of Gold from Waste Mobile Phone PCBs by Hydrometallurgical Process. J. Hazard. Mater. 2011, 198, 206–215. [Google Scholar] [CrossRef]
- Pilone, D.; Kelsall, G.H. Metal Recovery from Electronic Scrap by Leaching and Electrowinning IV. In Electrometallurgy and Environmental Hydrometallurgy; John Wiley & Sons, Inc.: Hoboken, NJ, USA, 2013; pp. 1565–1575. [Google Scholar]
- Zhao, J.; Liu, Z.; He, C.; Yang, Y.; Li, J.; Fujita, T.; Wang, G.; Shen, F. Improved Leaching of Cu, Sn, Pb, Zn, and Al from Waste Printed Circuit Boards by Electro-Generated Cl2 in HCl Solution. Waste Manag. 2022, 153, 386–396. [Google Scholar] [CrossRef]
- Ilyas, S.; Srivastava, R.R.; Kim, H. Gold Recovery from Secondary Waste of PCBs by Electro-Cl2 Leaching in Brine Solution and Solvo-Chemical Separation with Tri-Butyl Phosphate. J. Clean. Prod. 2021, 295, 126389. [Google Scholar] [CrossRef]
- Kim, M.; Lee, J.; Park, S.; Jeong, J.; Kumar, V. Dissolution Behaviour of Platinum by Electro-Generated Chlorine in Hydrochloric Acid Solution. J. Chem. Technol. Biotechnol. 2013, 88, 1212–1219. [Google Scholar] [CrossRef]
- Serga, V.; Zarkov, A.; Blumbergs, E.; Shishkin, A.; Baronins, J.; Elsts, E.; Pankratov, V. Leaching of Gold and Copper from Printed Circuit Boards under the Alternating Current Action in Hydrochloric Acid Electrolytes. Metals 2022, 12, 1953. [Google Scholar] [CrossRef]
- Serga, V.; Zarkov, A.; Shishkin, A.; Elsts, E.; Melnichuks, M.; Maiorov, M.; Blumbergs, E.; Pankratov, V. Study of Metal Leaching from Printed Circuit Boards by Improved Electrochemical Hydrochlorination Technique Using Alternating Current. Metals 2023, 13, 662. [Google Scholar] [CrossRef]
- Blumbergs, E.; Serga, V.; Shishkin, A.; Goljandin, D.; Shishko, A.; Zemcenkovs, V.; Markus, K.; Baronins, J.; Pankratov, V. Selective Disintegration–Milling to Obtain Metal-Rich Particle Fractions from E-Waste. Metals 2022, 12, 1468. [Google Scholar] [CrossRef]
- Zolotov, Y.A.; Iofa, B.Z.; Chuchalin, L.K. Extraction of Metal Halide Complexes; Nauka: Moscow, Russia, 1973. (In Russian) [Google Scholar]
- Wang, B.; Ma, Y.; Xu, W.; Tang, K. A Novel S,N-Rich MOF for Efficient Recovery of Au(III): Performance and Mechanism. J. Hazard. Mater. 2023, 451, 131051. [Google Scholar] [CrossRef] [PubMed]
- Zalupski, P.R.; McDowell, R.; Dutech, G. The Adsorption of Gold, Palladium, and Platinum from Acidic Chloride Solutions on Mesoporous Carbons. Solvent Extr. Ion Exch. 2014, 32, 737–748. [Google Scholar] [CrossRef]
- Geng, Y.; Li, J.; Lu, W.; Wang, N.; Xiang, Z.; Yang, Y. Au(III), Pd(II) and Pt(IV) Adsorption on Amino-Functionalized Magnetic Sorbents: Behaviors and Cycling Separation Routines. Chem. Eng. J. 2019, 381, 122627. [Google Scholar] [CrossRef]
- Cohen, B.; Shipley, D.S.; Tong, A.R.; Casaroli, S.J.G.; Petrie, J.G. Precipitation of Iron from Concentrated Chloride Solutions: Literature Observations, Challenges and Preliminary Experimental Results. Miner. Eng. 2005, 18, 1344–1347. [Google Scholar] [CrossRef]
- Kasikov, A.G.; Sokolov, A.Y.; Glukhovskaja, I.V. Extraction of Iron {III) from Chloride Solutions with Aliphatic Ketones. Russ. J. Appl. Chem. 2005, 18, 1344–1347. (In Russian) [Google Scholar] [CrossRef]
- Chekanova, L.G.; Vaulina, V.N.; Kharitonova, A.V.; Radushev, A.V.; Trukhinov, D.K. Hydrazides of Versatic Acids (Fraction C15–C19) Are the Extraction Reagents of Non-Ferrous Metals from Acid and Ammonia Solutions. Russ. J. Appl. Chem. 2019, 9, 227–239. (In Russian) [Google Scholar]
- van Yken, J.; Cheng, K.Y.; Boxall, N.J.; Sheedy, C.; Nikoloski, A.N.; Moheimani, N.R.; Kaksonen, A.H. A Comparison of Methods for the Characterisation of Waste-Printed Circuit Boards. Metals 2021, 11, 1935. [Google Scholar] [CrossRef]
- Polyansky, N.G. Analytical Chemistry of Elements. Lead; Nauka: Moscow, Russia, 1986. [Google Scholar]






















| Raw Material Powder Fraction d < 90 µm | |||
|---|---|---|---|
| Component, Content | Raw Material 1 | Raw Material 2 | Raw Material 3 [39] |
| Fe, (%) | 33.38 | 12.37 | 7.56 |
| Sn, (%) | 2.82 | 2.52 | 4.76 |
| Al, (%) | 1.74 | 3.56 | 1.31 |
| Cu, (%) | 1.42 | 1.57 | 1.40 |
| Zn, (%) | 0.53 | 0.43 | 2.00 |
| Pb, (%) | 1.07 | 0.77 | 7.50 |
| Ni, (%) | 1.10 | 0.53 | 1.03 |
| Ti, (%) | 1.54 | 0.48 | 1.74 |
| Sb, ppm | 510 | 1790 | 1365 |
| Mn, ppm | n/a 2 | 760 | 1698 |
| Cr, ppm | 504 | 144 | 188 |
| Co, ppm | 902 | 140 | 224 |
| V, ppm | 74 | 46 | 29 |
| Mo, ppm | n/a 2 | n/a 2 | 17 |
| Ag, ppm | 1734 | 906 | 8450 |
| Pd, ppm | BDL 1 | BDL 1 | 1550 |
| Au, ppm | 504 | 606 | 824 |
| Solid residue, % | 34.1 | 60.4 | 45.8 |
| Me | Leaching | ||||
|---|---|---|---|---|---|
| Chemical | Electrochemical | ||||
| Stage 1 | Stage 2 | ||||
| Metal Concentration in Leach Solution, CMe, mg/L | Metal Concentration in Electrolyte Solution, CMe, mg/L | Metal Content in Solid Residue, mMe, mg | Metal Concentration in Electrolyte Solution, CMe, mg/L | Metal Content in Solid Residue, mMe, mg | |
| Au | 4.320 | 0 | 1.512 | 3.18 | ~0.4 |
| Ag | 14.86 | 0 | 5.202 | 12.89 | ~0.7 |
| Pd | BDL 1 | BDL 1 | - | BDL 1 | - |
| Al | 149.2 | 96.25 | 18.52 | 27.74 | ~8.8 |
| Cu | 121.4 | 115.1 | 2.189 | 6.300 | 0 |
| Ni | 94.34 | 43.61 | 17.75 | 38.96 | ~4.1 |
| Pb | 91.34 | 85.29 | 2.117 | 5.020 | ~0.4 |
| Sn | 242.1 | 231.3 | 3.765 | 3.940 | ~2.4 |
| Ti | 132.4 | 116.7 | 5.481 | 9.150 | ~2.3 |
| Zn | 45.60 | 27.93 | 6.189 | 2.000 | ~5.5 |
| Fe | 2861 | 2024 | 293.0 | 837.0 | 0 |
| Me | Leaching | ||||
|---|---|---|---|---|---|
| Chemical | Electrochemical | ||||
| Experiment Duration | |||||
| tex = 2 h | tex = 6 h | ||||
| Metal Concentration in Leach Solution, CMe, mg/L | Metal Concentration in Electrolyte Solution, CMe, mg/L | Metal Content in Solid Residue, mMe, mg | Metal Concentration in Electrolyte Solution, CMe, mg/L | Metal Content in Solid Residue, mMe, mg | |
| Au | 4.320 | 0.350 | 1.389 | 3.35 | 0.339 |
| Ag | 14.86 | 8.820 | 0 | 14.87 | 0 |
| Pd | BDL 1 | BDL 1 | - | BDL 1 | - |
| Al | 149.2 | 141.7 | 2.611 | 149.3 | 0 |
| Cu | 121.4 | 121.5 | 0 | 121.5 | 0 |
| Ni | 94.34 | 86.85 | 2.620 | 94.34 | 0 |
| Pb | 91.34 | 91.36 | 0 | 91.35 | 0 |
| Sn | 242.1 | 242.3 | 0 | 242.2 | 0 |
| Ti | 132.4 | 126.8 | 1.946 | 132.5 | 0 |
| Zn | 45.60 | 32.29 | 4.654 | 43.17 | 0.850 |
| Fe | 2861 | 2861 | 0 | 2862 | 0 |
| Exp. Series Nº | Experimental Conditions | ||
|---|---|---|---|
| Number of Exp. | Raw Material | Exp. Duration, tex, h | |
| 1 | 3 | 1 | 1 |
| 2 | 4 | 1 | 3 |
| 3 | 3 | 1 | 5 |
| 4 | 3 | 2 | 1 |
| 5 | 3 | 2 | 2 |
| 6 | 3 | 2 | 5 |
| Me | Me, mg | |||||
|---|---|---|---|---|---|---|
| Exp. Series 1 | Exp. Series 2 | Exp. Series 3 | Exp. Series 4 | Exp. Series 5 | Exp. Series 6 | |
| Au | 0 | 0.209 ± 0.020 | 0.801 ± 0.075 | 0 | 0.554 ± 0.340 | 2.022 ± 0.050 |
| Ag | 0 | 3.986 ± 0.401 | 3.814 ± 0.220 | 1.668 ± 0.274 | 2.949 ± 0.166 | 3.306 ± 0.280 |
| Al | 32.771 ± 0.610 | 52.602 ± 0.605 | 51.280 ± 0.780 | 72.042 ± 0.765 | 89.460 ± 3.040 | 86.310 ± 0.423 |
| Cu | 41.720 ± 0.720 | 42.893 ± 0.614 | 46.120 ± 0.270 | 46.877 ± 0.260 | 45.768 ± 1.288 | 40.413 ± 0.244 |
| Ni | 17.617 ± 1.360 | 29.159 ± 0.419 | 31.960 ± 0.400 | 12.025 ± 0.721 | 13.012 ± 0.454 | 11.516 ± 0.146 |
| Pb | 29.808 ± 0.190 | 31.608 ± 0.343 | 33.130 ± 0.400 | 23.211 ± 0.140 | 22.502 ± 0.845 | 19.109 ± 0.209 |
| Sn | 83.055 ± 1.260 | 84.626 ± 0.825 | 88.840 ± 1.180 | 76.988 ± 0.375 | 73.780 ± 3.261 | 61.577 ± 0.427 |
| Ti | 41.008 ± 0.120 | 45.855 ± 0.931 | 46.630 ± 0.470 | 10.935 ± 0.051 | 11.202 ± 0.339 | 10.414 ± 0.017 |
| Zn | 9.828 ± 0.150 | 11.544 ± 0.436 | 12.720 ± 0.031 | 9.093 ± 0.111 | 8.940 ± 0.260 | 8.222 ± 0.177 |
| Fe | 788.900 ± 45.130 | 960.15 ± 17.934 | 1150.70 ± 27.16 | 297.700 ± 16.145 | 375.900 ± 20.127 | 356.533 ± 1.345 |
Disclaimer/Publisher’s Note: The statements, opinions and data contained in all publications are solely those of the individual author(s) and contributor(s) and not of MDPI and/or the editor(s). MDPI and/or the editor(s) disclaim responsibility for any injury to people or property resulting from any ideas, methods, instructions or products referred to in the content. |
© 2024 by the authors. Licensee MDPI, Basel, Switzerland. This article is an open access article distributed under the terms and conditions of the Creative Commons Attribution (CC BY) license (https://creativecommons.org/licenses/by/4.0/).
Share and Cite
Serga, V.; Zarkov, A.; Shishkin, A.; Melnichuks, M.; Pankratov, V. Investigation of the Impact of Electrochemical Hydrochlorination Process Parameters on the Efficiency of Noble (Au, Ag) and Base Metals Leaching from Computer Printed Circuit Boards. Metals 2024, 14, 65. https://doi.org/10.3390/met14010065
Serga V, Zarkov A, Shishkin A, Melnichuks M, Pankratov V. Investigation of the Impact of Electrochemical Hydrochlorination Process Parameters on the Efficiency of Noble (Au, Ag) and Base Metals Leaching from Computer Printed Circuit Boards. Metals. 2024; 14(1):65. https://doi.org/10.3390/met14010065
Chicago/Turabian StyleSerga, Vera, Aleksej Zarkov, Andrei Shishkin, Maksims Melnichuks, and Vladimir Pankratov. 2024. "Investigation of the Impact of Electrochemical Hydrochlorination Process Parameters on the Efficiency of Noble (Au, Ag) and Base Metals Leaching from Computer Printed Circuit Boards" Metals 14, no. 1: 65. https://doi.org/10.3390/met14010065
APA StyleSerga, V., Zarkov, A., Shishkin, A., Melnichuks, M., & Pankratov, V. (2024). Investigation of the Impact of Electrochemical Hydrochlorination Process Parameters on the Efficiency of Noble (Au, Ag) and Base Metals Leaching from Computer Printed Circuit Boards. Metals, 14(1), 65. https://doi.org/10.3390/met14010065

