Effect of Temperature on the Kinetics of Localized Plasticity Autowaves in Lüders Deformation
Abstract
1. Introduction
2. Materials and Methods
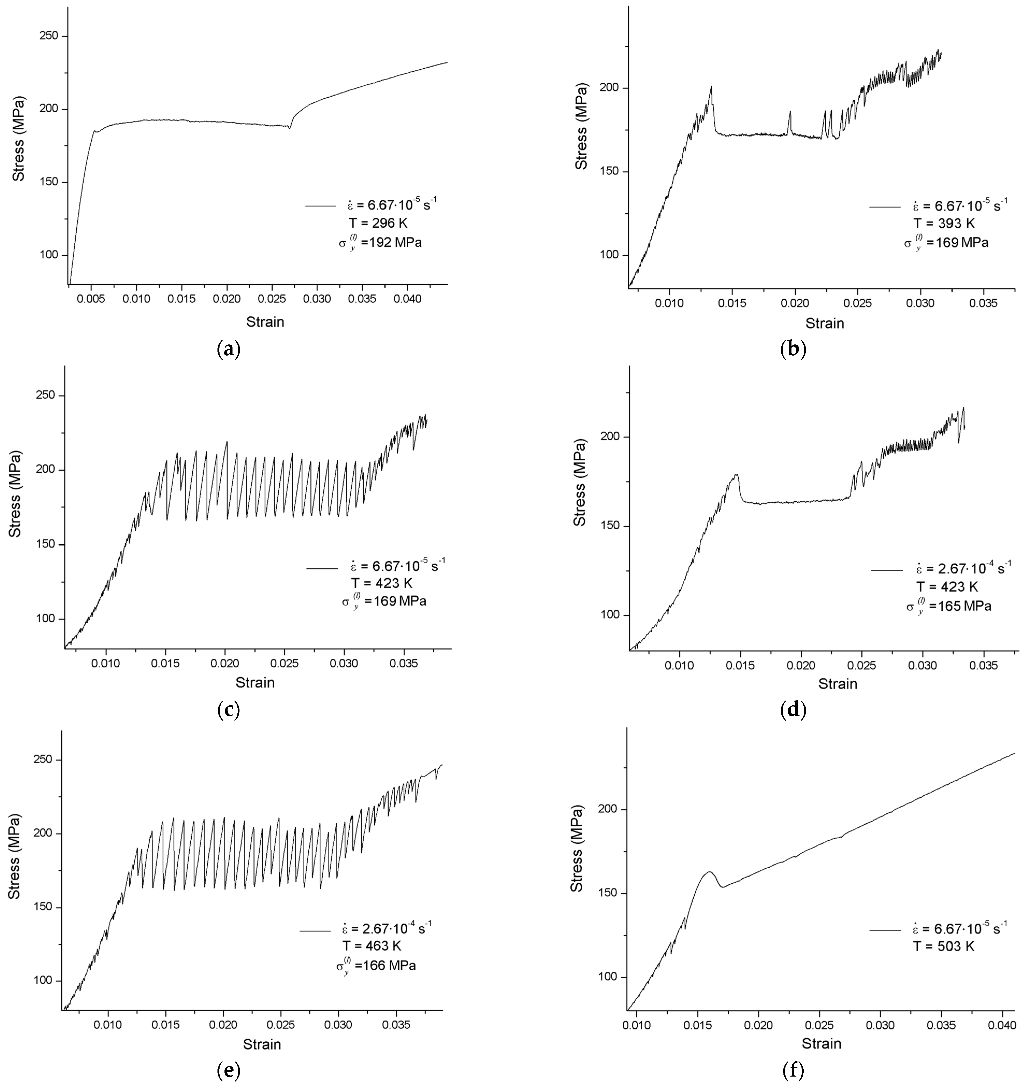
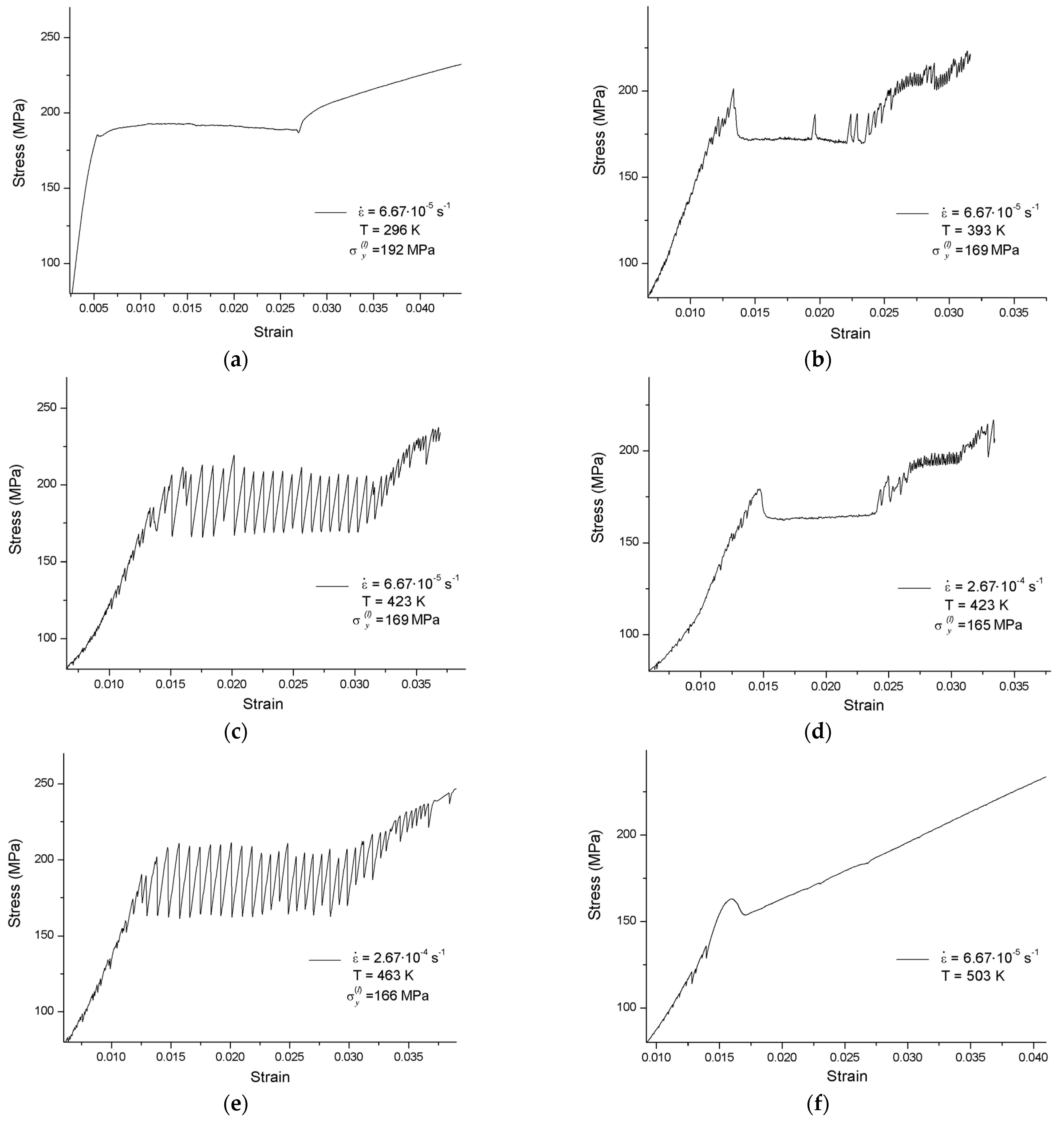
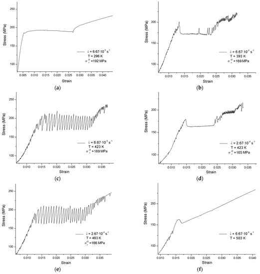
3. Results and Discussion
4. Conclusions
- At 296–393 K, the lower yield stress increases by a power law with an increase in the strain rate; that is, the rate sensitivity is normal. At these temperatures, the rate sensitivity index is lower than one.
- As the temperature is increased, the rate sensitivity index decreases linearly and becomes equal to zero at above 393 K. The normal rate sensitivity of the lower yield stress disappears.
- At 393–503 K, the motion of Lüders bands is changed from steady to discrete. The higher the strain rate, the higher the temperature of transition to serrated Lüders deformation.
- The kinetics of Lüders fronts are controlled by the times tw and ta, being, respectively, the arrest time of dislocations at barriers which are overcome via thermal activation (effect of dynamic strain aging) and the time of carbon impurity precipitation at these dislocations. The motion of strain fronts becomes discrete under those temperature-rate conditions with which tw and ta are comparable, and the rate sensitivity of the lower yield stress is absent.
- When the motion of a strain front is discrete, the front represents an excitation autowave of localized plasticity whose refractory period is determined by the time of dynamic strain aging ta. At temperatures lower than 393 K, when ta >> tw, the front moves monotonically and represents a switching autowave of localized plasticity.
- At temperatures above 503 K, when tw ta, the yield plateau degenerates and the normal rate sensitivity is recovered.
Author Contributions
Funding
Institutional Review Board Statement
Informed Consent Statement
Data Availability Statement
Conflicts of Interest
References
- Bell, F.G. The Experimental Foundations of Solid Mechanics; Springer: Berlin/Heidelberg, Germany, 1973; p. 825. [Google Scholar]
- Rabotnov, Y.N. Elements of Lineal Mechanics of Solids; Nauka: Moscow, Russia, 1977; p. 384. (In Russian) [Google Scholar]
- Kelly, A.; Groves, G.W. Crystallography and Crystals Defects; Longman: London, UK, 1970; p. 428. [Google Scholar]
- Cottrell, A.H. Dislocation and Plastic Flow in Crystals; Oxford University Press: New York, NY, USA, 1953; p. 223. [Google Scholar]
- Messerschmidt, U. Dislocation Dynamics during Plastic Deformation; Springer: Berlin, Germany, 2010. [Google Scholar] [CrossRef]
- Hull, D.; Bacon, D.J. Introduction in Dislocations; Elsevier: Oxford, UK, 2011; p. 272. [Google Scholar]
- Seeger, A.; Frank, W. Nonlinear Phenomena in Materials Science; Trans Tech Publications: New York, NY, USA, 1988; pp. 125–137. [Google Scholar]
- Scott, A. Nonlinear Science. Emergence and Dynamics of Coherent Structures; Oxford University Press: Oxford, UK, 2003; p. 504. [Google Scholar]
- Panin, V.E. Dynamic gauge theory of waves in elastoplastic media. In Physical Mesomechanics of Heterogeneous Media and Computer-Aided Design of Materials; Panin, V.E., Ed.; Cambridge International Science Publishing Ltd.: Cambridge, UK, 1998; pp. 97–117. [Google Scholar]
- Panin, V.E.; Egorushkin, V.E. Basic physical mesomechanics of plastic deformation and fracture of solids as hierarchically organized nonlinear systems. Phys. Mesomech. 2015, 18, 377–390. [Google Scholar] [CrossRef]
- Ohashi, T.; Kawamukai, M.; Zbib, H.M. A multiscale approach for modeling scale-dependent yield stressing polycrystalline metals, Int. J. Plast. 2007, 23, 897–914. [Google Scholar] [CrossRef]
- Zuev, L.B. Using a crystal as a universal generator of localized plastic flow autowaves. Bull. Russ. Acad. Sci. Phys. 2014, 78, 957–964. [Google Scholar] [CrossRef]
- Zuev, L.B.; Barannikova, S.A.; Danilov, V.I.; Gorbatenko, V.V. Plasticity: From crystal lattice to macroscopic phenomena. Prog. Phys. Met. 2021, 22, 3–57. [Google Scholar] [CrossRef]
- Danilov, V.I.; Gorbatenko, V.V.; Zuev, L.B.; Orlova, D.V.; Danilova, L.V. Lüders deformation of low-carbon steel. Steel Transl. 2017, 47, 662–668. [Google Scholar] [CrossRef]
- Tsagrakis, I.; Aifantis, C. On the effect of strain gradient on adiabatic shear banding. Metall. Mater. Trans. A 2015, 46, 44–59. [Google Scholar] [CrossRef]
- Zaiser, M.; Aifantis, E.C. Randomness and slip avalanches in gradient plasticity. Int. J. Plast. 2006, 22, 1432–1455. [Google Scholar] [CrossRef]
- Aifantis, E.C. Gradient material mechanics: Perspectives and Prospects. Acta Mech. 2014, 225, 999–1012. [Google Scholar] [CrossRef]
- Shibkov, A.A.; Zolotov, A.E.; Gasanov, M.F.; Denisov, A.A.; Koltsov, R.Y.; Kochegarov, S.S. Nonlinear dynamics of an individual Portevin—Le Chatelier deformation bands. Phys. Solid State 2022, 64, 1583–1593. [Google Scholar] [CrossRef]
- Asharia, A.; Beaudoin, A.; Miller, R. New perspectives in plasticity Theory: Dislocation nucleation, waves, and partial continuaty of plastic strain rate. Math. Mech. Solids 2008, 13, 292–315. [Google Scholar] [CrossRef]
- Tretyakov, M.P.; Wildemann, V.E.; Tretyakova, T.V.; Safronov, S.A. Computational and experimental study of strain localization processes on the postcritical stage of deformation. Proced. Struct. Integr. 2021, 33, 871–877. [Google Scholar] [CrossRef]
- Borg, U. Strain gradient crystal plasticity effects on flow localization. Int. J. Plast. 2007, 23, 1400–1416. [Google Scholar] [CrossRef]
- Hall, E.O. Yield Point Phenomena in Metals and Alloys; Plenum Press: New York, NY, USA, 1970; p. 296. [Google Scholar]
- Fridel, J. Dislocations; Pergamon Press: New York, NY, USA, 1964; p. 491. [Google Scholar]
- Jacobs, T.R.; Matlock, D.K.; Findley, K.O. Characterization of localized plastic deformation behaviors associated with dynamic strain aging in pipeline steels using digital image correlation. Int. J. Plast. 2019, 123, 70–85. [Google Scholar] [CrossRef]
- Sun, H.B.; Yoshida, F.; Ohmori, M.; Ma, X. Effect of strain rate on Lüders band propagating velocity and Lüders strain forannealed mild steel under uniaxial tension. Mater. Lett. 2003, 57, 4535–4539. [Google Scholar] [CrossRef]
- Plekhov, O.A.; Naimark, O.B.; Saintier, N.; Palin-Luc, T. Elastic-plastic transition in iron: Structural and thermodynamic features. Tech. Phys. 2009, 54, 1141–1146. [Google Scholar] [CrossRef]
- Liu, W.; Lian, J. Stress-state dependence of dynamic strain aging: Thermal hardening and blue brittleness. Int. J. Miner. Metall. Mater. 2021, 28, 854–866. [Google Scholar] [CrossRef]
- Prokhorov, A.; Vshivkov, A.; Plekhov, O.; Kashaev, N.; Fomin, F.; Ozerov, M.; Zherebtsov, S. The effect of LSP on the structure evolution and self-heating of ARMCO-iron under cyclic loading. Metals 2021, 11, 1198. [Google Scholar] [CrossRef]
- Varanasi, R.S.; Zaefferer, S.; Sun, B.; Ponge, D. Localized deformation inside the Lüders front of a medium manganese steel. J. Mater. Sci. Eng. A 2021, 824, 141816. [Google Scholar] [CrossRef]
- Sutton, M.A.; Orteu, J.-J.; Schreier, H.W. Image Correlation for Shape, Motion and Deformation Measurements—Basic Concepts, Theory and Applications; Springer: Berlin, Germany, 2009; p. 317. [Google Scholar] [CrossRef]
- Erbeck, R.; Merzkirch, W. Speckle photographic measurements of turbulence in an air stream with fluctuating temperature. Exp. Fluids 1988, 6, 89–93. [Google Scholar] [CrossRef]
- Briers, J.D.; Webster, S. Quasi real-time digital version of single-exposure speckle photography for full-field monitoring of velocity or flow fields. Opt. Commun. 1995, 116, 36–42. [Google Scholar] [CrossRef]
- Zuev, L.B.; Gorbatenko, V.V.; Pavlichev, K.V. Elaboration of speckle photography techniques for plastic flow analysis. Measure Sci. Technol. 2010, 21, 054014. [Google Scholar] [CrossRef]
- Campbell, J.D.; Ferguson, W.G. The temperature and strain-rate dependence of the shear strength of mild steel. Phil. Mag. 1970, 21, 63–82. [Google Scholar] [CrossRef]
- Lloyd, D.; Court, S.A.; Gatenby, K.M. Lüders elongation in Al-Mg alloy AA5182. Mater. Sci. Technol. 1997, 13, 660–666. [Google Scholar] [CrossRef]
- Jin, H.; Lloyd, D.J. Effect of a duplex grain size on the tensile ductility of an ultra-fine grained Al-Mg alloy, AA5754, produced by asymmetric rolling and annealing. Scr. Mater. 2004, 50, 1319–1323. [Google Scholar] [CrossRef]
- Cai, Y.L.; Yang, S.L.; Fu, S.H.; Zhang, Q.C. The influence of specimen thickness on the Lüders effect of a 5456 Al-based alloy: Experimental observations. Metals 2016, 6, 120. [Google Scholar] [CrossRef]
- Danilov, V.I.; Gorbatenko, V.V.; Danilova, L.V.; Orlova, D.V. Features of localized plasticity autowaves in an FCC-alloy. Russ. Phys. J. 2021, 64, 397–403. [Google Scholar] [CrossRef]
- Estrin, Y.; Kubin, L.P. Collective dislocation behaviour in dilute alloys and the Portevin—Le Chatelier effect. J. Mech. Behavior Mater. 1989, 2, 255–292. [Google Scholar] [CrossRef]
- Mikhailov, A.S.; Loskutov, A.Y. Foundations of Synergetics II; Springer: Berlin/Heidelberg, Germany, 1991; p. 212. [Google Scholar] [CrossRef]
- McCormick, P.G. A model for Portevin-Le Chatelier effect in substitutional alloys. Acta Met. 1972, 20, 351–354. [Google Scholar] [CrossRef]
- Wert, G. Modern Research Techniques in Physical Metallurgy; American Society for Metals: Cleveland, OH, USA, 1952; p. 335. [Google Scholar]




| Elements | C | Si | Cu | Mn | S | P | Fe |
|---|---|---|---|---|---|---|---|
| wt. % | 0.025 | 0.05 | 0.05 | 0.035 | 0.01 | 0.01 | balance |
Disclaimer/Publisher’s Note: The statements, opinions and data contained in all publications are solely those of the individual author(s) and contributor(s) and not of MDPI and/or the editor(s). MDPI and/or the editor(s) disclaim responsibility for any injury to people or property resulting from any ideas, methods, instructions or products referred to in the content. |
© 2023 by the authors. Licensee MDPI, Basel, Switzerland. This article is an open access article distributed under the terms and conditions of the Creative Commons Attribution (CC BY) license (https://creativecommons.org/licenses/by/4.0/).
Share and Cite
Danilov, V.I.; Orlova, D.V.; Gorbatenko, V.V.; Danilova, L.V. Effect of Temperature on the Kinetics of Localized Plasticity Autowaves in Lüders Deformation. Metals 2023, 13, 773. https://doi.org/10.3390/met13040773
Danilov VI, Orlova DV, Gorbatenko VV, Danilova LV. Effect of Temperature on the Kinetics of Localized Plasticity Autowaves in Lüders Deformation. Metals. 2023; 13(4):773. https://doi.org/10.3390/met13040773
Chicago/Turabian StyleDanilov, Vladimir I., Dina V. Orlova, Vadim V. Gorbatenko, and Lidiya V. Danilova. 2023. "Effect of Temperature on the Kinetics of Localized Plasticity Autowaves in Lüders Deformation" Metals 13, no. 4: 773. https://doi.org/10.3390/met13040773
APA StyleDanilov, V. I., Orlova, D. V., Gorbatenko, V. V., & Danilova, L. V. (2023). Effect of Temperature on the Kinetics of Localized Plasticity Autowaves in Lüders Deformation. Metals, 13(4), 773. https://doi.org/10.3390/met13040773
