Microstructure, Mechanical Properties and Deformation Behavior of Fe-28.7Mn-10.2Al-1.06C High Specific Strength Steel
Abstract
:1. Introduction
2. Materials and Methods
3. Results and Discussion
3.1. Microstructure
3.2. Mechanical Properties
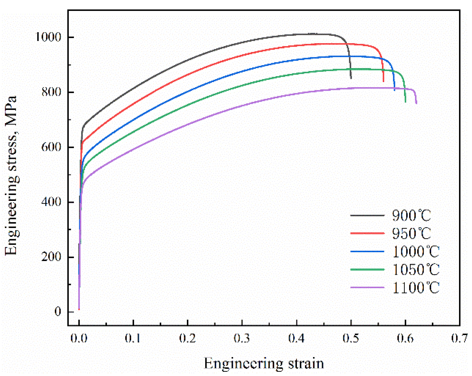
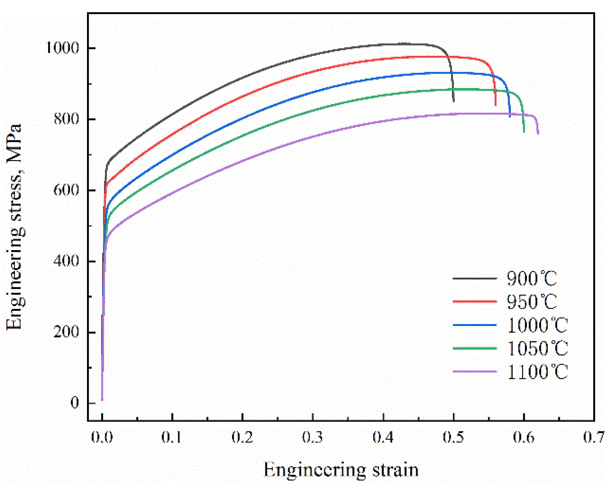
3.3. Deformation Behavior
4. Conclusions
Author Contributions
Funding
Data Availability Statement
Acknowledgments
Conflicts of Interest
References
- Bouaziz, O.; Zurob, H.; Huang, M. Driving Force and Logic of Development of Advanced High Strength Steels for Automotive Applications. Steel Res. Int. 2013, 84, 937–947. [Google Scholar] [CrossRef]
- Zhao, J.; Jiang, Z. Thermomechanical processing of advanced high strength steels. Prog. Mater. Sci. 2018, 94, 174–242. [Google Scholar] [CrossRef]
- Kuziak, R.; Kawalla, R.; Waengler, S. Advanced high strength steels for automotive industry. Arch. Civ. Mech. Eng. 2008, 8, 103–117. [Google Scholar] [CrossRef]
- Chen, S.; Rana, R.; Haldar, A.; Ray, R. Current state of Fe-Mn-Al-C low density steels. Prog. Mater. Sci. 2017, 89, 345–391. [Google Scholar] [CrossRef]
- Park, K.-T.; Hwang, S.W.; Son, C.Y.; Lee, J.-K. Effects of Heat Treatment on Microstructure and Tensile Properties of a Fe-27Mn-12Al-0.8C Low-Density Steel. JOM 2014, 66, 1828–1836. [Google Scholar] [CrossRef]
- Zhang, J.; Hu, C.; Zhang, Y.; Li, J.; Song, C.; Zhai, Q. Microstructures, mechanical properties and deformation of near-rapidly solidified low-density Fe-20Mn-9Al-1.2C-xCr steels. Mater. Des. 2020, 186, 307. [Google Scholar] [CrossRef]
- Ren, P.; Chen, X.P.; Wang, C.Y.; Zhou, Y.X.; Cao, W.Q.; Liu, Q. Evolution of microstructure, texture and mechanical properties of Fe–30Mn–11Al–1.2C low-density steel during cold rolling. Mater. Charact. 2021, 174, 111013. [Google Scholar] [CrossRef]
- Gutierrez-Urrutia, I. Low Density Steels. Ref. Modul. Mater. Sci. Mat. Eng. 2022, 2, 106–114. [Google Scholar] [CrossRef]
- Piston, M.; Bartlett, L.; Limmer, K.R.; Field, D.M. Microstructural Influence on Mechanical Properties of a Lightweight Ultrahigh Strength Fe-18Mn-10Al-0.9C-5Ni (wt%) Steel. Materials 2020, 10, 1305. [Google Scholar] [CrossRef]
- Raabe, D.; Springer, H.; Gutierrez-Urrutia, I.; Roters, F.; Bausch, M.; Seol, J.-B.; Koyama, M.; Choi, P.-P.; Tsuzaki, K. Alloy Design, Combinatorial Synthesis, and Microstructure-Property Relations for Low-Density Fe-Mn-Al-C Austenitic Steels. JOM 2014, 66, 1845–1856. [Google Scholar] [CrossRef]
- Mondal, A.; Pilone, D.; Brotzu, A.; Felli, F. Effect of heat treatment on mechanical properties of FeMnAlC alloys. Procedia Struct. Integr. 2021, 33, 237–244. [Google Scholar] [CrossRef]
- Kim, M.S.; Kang, Y.B. Development of thermodynamic database for high Mn–high Al steels: Phase equilibria in the Fe–Mn–Al–C system by experiment and thermodynamic modeling. Calphad 2015, 51, 89–103. [Google Scholar] [CrossRef]
- Zhao, C.; Song, R.; Zhang, L.; Yang, F.; Kang, T. Effect of annealing temperature on the microstructure and tensile properties of Fe–10Mn–10Al–0.7C low-density steel. Mater. Des. 2016, 91, 348–360. [Google Scholar] [CrossRef]
- Yoo, J.D.; Si, W.H.; Park, K.T. Factors Influencing the Tensile Behavior Of A Fe-28Mn-9Al-0.8C Steel. Mater. Sci. Eng. A 2009, 508, 234–240. [Google Scholar] [CrossRef]
- Frommeyer, G.; Brüx, U. Microstructures and mechanical properties of high-strength Fe-Mn-Al-C light-weight TRIPLEX steels. Steel Res. Int. 2006, 77, 627–633. [Google Scholar] [CrossRef]
- Welsch, E.; Ponge, D.; Haghighat, S.M.H.; Sandlöbes, S.; Choi, P.; Herbig, M.; Zaefferer, S.; Raabe, D. Strain hardening by dynamic slip band refinement in a high-Mn lightweight steel. Acta Mater. 2016, 116, 188–199. [Google Scholar] [CrossRef]
- Sutou, Y.; Kamiya, N.; Umino, R.; Ohnuma, I.; Ishida, K. High-strength Fe–20Mn–Al–C-based Alloys with Low Density. ISIJ Int. 2010, 50, 893–899. [Google Scholar] [CrossRef] [Green Version]
- Field, D.M.; Limmer, K.R.; Hornbuckle, B.C. On the Grain Growth Kinetics of a Low Density Steel. Materials 2019, 9, 997. [Google Scholar] [CrossRef] [Green Version]
- Shaozun, L.; Yong, L.; Chunxu, W.; Shunzhe, H.; Shun, H.; Xianmin, L. Effect of Solution Treatment on Microstructure and Properties of Fe-Mn-Al-C Low Density Steel. Heat Treat. Met. 2015, 40, 5. [Google Scholar] [CrossRef]
- Jian, C.; Fei, H.; Hanlin, D.; Guohui, Z.; Qiwei, C.; Guangping, C.; Zijian, W. Effect of heat treatment on microstructure and properties of ultra-high strength 20Mn2Cr automobile steel. J. Mater. Heat Treat. 2021, 42, 9. [Google Scholar]
- Etienne, A.; Massardier-Jourdan, V.; Cazottes, S.; Garat, X.; Soler, M.; Zuazo, I.; Kleber, X. Ferrite Effects in Fe-Mn-Al-C Triplex Steels. Metall. Mater. Trans. A 2014, 45, 324–334. [Google Scholar] [CrossRef]
- Shi, Y.; Zhang, Y.Y.; Liu, F.; Jin, X.M.; Guo, X.X. Research progress of face-centered cubic metal grain boundary engineering technology. Hot Work. Process. 2020, 49, 5. [Google Scholar] [CrossRef]
- Castañeda, J.A.; Zambrano, O.A.; Alcázar, G.A.; Rodríguez, S.A.; Coronado, J.J. Stacking Fault Energy Determination in Fe-Mn-Al-C Austenitic Steels by X-ray Diffraction. Metals 2021, 11, 1701. [Google Scholar] [CrossRef]
- Zhang, X.F.; Leng, D.P.; Zhang, L.; Zhenyi, H.; Guang, C. Effect of Al content on stacking fault energy and deformation twins of Fe-Mn-Al-C low density steel. J. Mat. Heat Treat. 2015, 36, 6. [Google Scholar]
- Jin, J.E.; Lee, Y.K. Effects of Al on microstructure and tensile properties of C-bearing high Mn TWIP steel. Acta Mater. 2012, 60, 1680–1688. [Google Scholar] [CrossRef]
- Song, W.; Ingendahl, T.; Bleck, W. Control of Strain Hardening Behavior in High-Mn Austenitic Steels. Acta Metall. Sin. 2014, 27, 546–556. [Google Scholar] [CrossRef]
- Hua, D.; Dong, H.; Zhang, J.; Cai, Z.; Wu, Z.; Cai, M. Tensile deformation behavior analysis of low density Fe–18Mn–10Al–xC steels. Mat. Sci. Eng. A 2016, 652, 69–76. [Google Scholar] [CrossRef]
- Huo, Y.-T.; He, Y.-L.; Zhu, N.-Q.; Ding, M.-L.; Liu, R.-D.; Zhang, Y. Deformation Mechanism Investigation on Low Density 18Mn Steels under Different Solid Solution Treatments. Metals 2021, 11, 1497. [Google Scholar] [CrossRef]
- Pang, J.; Zhou, Z.; Zhao, Z.; Tang, D.; Liang, J.; He, Q. Tensile Behavior and Deformation Mechanism of Fe-Mn-Al-C Low Density Steel with High Strength and High Plasticity. Metals 2019, 9, 897. [Google Scholar] [CrossRef] [Green Version]








| 900 °C | 950 °C | 1000 °C | 1050 °C | 1100 °C |
|---|---|---|---|---|
| 22 ± 2 μm | 30 ± 5 μm | 42 ± 4 μm | 81 ± 6 μm | 156 ± 13 μm |
| Temperature | YS/MPa | UTS/MPa | TEL | PSE/(GPa%) | Specific Strength/ N·m/kg |
|---|---|---|---|---|---|
| 900 °C | 680.7 ± 5.3 | 1012.4 ± 6.5 | 50.2 ± 0.2% | 50.82 | 1.54 × 105 |
| 950 °C | 619.2 ± 3.1 | 977.2 ± 4.2 | 56.1 ± 0.3% | 54.82 | 1.48 × 105 |
| 1000 °C | 559.4 ± 4.7 | 931.6 ± 4.1 | 58.3 ± 0.4% | 54.31 | 1.41 × 105 |
| 1050 °C | 525.1 ± 5.4 | 884.6 ± 6.3 | 60.4 ± 0.2% | 53.43 | 1.34 × 105 |
| 1100 °C | 473.6 ± 1.6 | 816.7 ± 0.9 | 62.1 ± 0.5% | 50.72 | 1.24 × 105 |
Publisher’s Note: MDPI stays neutral with regard to jurisdictional claims in published maps and institutional affiliations. |
© 2022 by the authors. Licensee MDPI, Basel, Switzerland. This article is an open access article distributed under the terms and conditions of the Creative Commons Attribution (CC BY) license (https://creativecommons.org/licenses/by/4.0/).
Share and Cite
Ma, L.; Tang, Z.; You, Z.; Guan, G.; Ding, H.; Misra, D. Microstructure, Mechanical Properties and Deformation Behavior of Fe-28.7Mn-10.2Al-1.06C High Specific Strength Steel. Metals 2022, 12, 602. https://doi.org/10.3390/met12040602
Ma L, Tang Z, You Z, Guan G, Ding H, Misra D. Microstructure, Mechanical Properties and Deformation Behavior of Fe-28.7Mn-10.2Al-1.06C High Specific Strength Steel. Metals. 2022; 12(4):602. https://doi.org/10.3390/met12040602
Chicago/Turabian StyleMa, Liang, Zhengyou Tang, Zeyu You, Guofu Guan, Hua Ding, and Devesh Misra. 2022. "Microstructure, Mechanical Properties and Deformation Behavior of Fe-28.7Mn-10.2Al-1.06C High Specific Strength Steel" Metals 12, no. 4: 602. https://doi.org/10.3390/met12040602
APA StyleMa, L., Tang, Z., You, Z., Guan, G., Ding, H., & Misra, D. (2022). Microstructure, Mechanical Properties and Deformation Behavior of Fe-28.7Mn-10.2Al-1.06C High Specific Strength Steel. Metals, 12(4), 602. https://doi.org/10.3390/met12040602
