Shape Memory Effect and Martensitic Transformation in Fe–Mn–Al–Ni Alloy
Abstract
1. Introduction
2. Materials and Methods
3. Results and Discussion
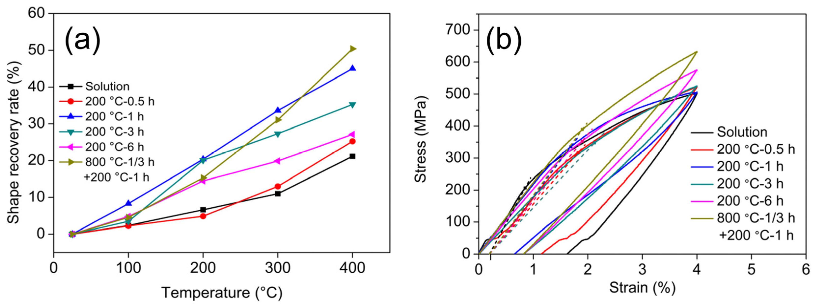
3.1. Shape Memory Effect
3.2. γ′→α Transformation Behavior
3.3. Investigation of Precipitation
4. Conclusions
Author Contributions
Funding
Institutional Review Board Statement
Informed Consent Statement
Data Availability Statement
Acknowledgments
Conflicts of Interest
References
- Dunne, D.P.; Wayman, C.M. The effect of austenite ordering on the martensite transformation in Fe-Pt alloys near the composition Fe3Pt: I. Morphology and transformation characteristics. Metall. Trans. 1973, 4, 137–145. [Google Scholar] [CrossRef]
- Guler, E.; Kirindi, T.; Aktas, H. Comparison of thermally induced and deformation induced martensite in Fe-29% Ni-2% Mn alloy. J. Alloy. Compd. 2007, 440, 168–172. [Google Scholar] [CrossRef]
- Oliver, E.C.; Mori, T.; Daymond, M.R.; Withers, P.J. Neutron diffraction study of stress-induced martensitic transformation and variant change in Fe-Pd. Acta Mater. 2003, 51, 6453–6464. [Google Scholar] [CrossRef]
- Maki, T.; Kobayashi, K.; Minato, M.; Tamura, I. Thermoelastic martensite in an ausaged Fe-Ni-Ti-Co alloy. Scr. Mater. 1984, 18, 1105–1109. [Google Scholar] [CrossRef]
- Abuzaid, W.; Sehitoglu, H. Superelasticity and functional fatigue of single crystalline FeNiCoAlTi iron-based shape memory alloy. Mater. Des. 2018, 160, 642–651. [Google Scholar] [CrossRef]
- Baruj, A.; Kikuchi, T.; Kajiwara, S.; Shinya, N. Improvement of shape memory properties of NbC containing Fe-Mn-Si based shape memory alloys by simple thermomechanical treatments. Mater. Sci. Eng. A 2004, 378, 333–336. [Google Scholar] [CrossRef]
- Maruyama, T.; Kurita, T.; Kozaki, S.; Andou, K.; Farjami, S.; Kubo, H. Innovation in producing crane rail fishplate using Fe-Mn-Si-Cr based shape memory alloy. Mater. Sci. Technol. 2008, 24, 908–912. [Google Scholar] [CrossRef]
- Omori, T.; Ando, K.; Okano, M.; Xu, X.; Tanaka, Y.; Ohnuma, I.; Kainuma, R.; Ishida, K. Superelastic Effect in Polycrystalline Ferrous Alloys. Science 2011, 333, 68–71. [Google Scholar] [CrossRef]
- Omori, T.; Nagasako, M.; Okano, M.; Endo, K.; Kainuma, R. Microstructure and martensitic transformation in the Fe-Mn-Al-Ni shape memory alloy with B2-type coherent fine particles. Appl. Phys. Lett. 2012, 101, 231907. [Google Scholar] [CrossRef]
- Ando, K.; Omori, T.; Ohnuma, I.; Kainuma, R.; Ishida, K. Ferromagnetic to weak-magnetic transition accompanied by bcc to fcc transformation in Fe-Mn-Al alloy. Appl. Phys. Lett. 2009, 95, 212504. [Google Scholar] [CrossRef]
- Omori, T.; Iwaizako, H.; Kainuma, R. Abnormal grain growth induced by cyclic heat treatment in Fe-Mn-Al-Ni superelastic alloy. Mater. Des. 2016, 101, 263–269. [Google Scholar] [CrossRef]
- Vollmer, M.; Krooß, P.; Karaman, I.; Niendorf, T. On the effect of titanium on quenching sensitivity and pseudoelastic response in Fe-Mn-Al-Ni-base shape memory alloy. Scr. Mater. 2017, 126, 20–23. [Google Scholar] [CrossRef]
- Tseng, L.W.; Ma, J.; Vollmer, M.; Krooß, P.; Niendorf, T.; Karaman, I. Effect of grain size on the superelastic response of a FeMnAlNi polycrystalline shape memory alloy. Scr. Mater. 2016, 125, 68–72. [Google Scholar] [CrossRef]
- Ozcan, H.; Ma, J.; Karaman, I.; Chumlyakov, Y.I.; Santamarta, R.; Brown, J.; Noebe, R.D. Microstructural design considerations in Fe-Mn-Al-Ni shape memory alloy wires: Effects of natural aging. Scr. Mater. 2018, 142, 153–157. [Google Scholar] [CrossRef]
- Ozcan, H.; Ma, J.; Wang, S.J.; Karaman, I.; Chumlyakov, Y.; Brown, J.; Noebe, R.D. Effects of cyclic heat treatment and aging on superelasticity in oligocrystalline Fe-Mn-Al-Ni shape memory alloy wires. Scr. Mater. 2017, 134, 66–70. [Google Scholar] [CrossRef]
- Xia, J.; Noguchi, Y.; Xu, X.; Odaira, T.; Kimura, Y.; Nagasako, M.; Omori, T.; Kainuma, R. Iron-based superelastic alloys with near-constant critical stress temperature dependence. Science 2020, 369, 855–858. [Google Scholar] [CrossRef] [PubMed]
- Vollmer, M.; Bauer, A.; Frenck, J.M.; Krooß, P.; Wetzel, A.; Middendorf, B.; Fehling, E.; Niendorf, T. Novel prestressing applications in civil engineering structures enabled by Fe-Mn-Al-Ni shape memory alloys. Eng. Struct. 2021, 241, 112430. [Google Scholar] [CrossRef]
- Vollmer, M.; Bauer, A.; Kriegel, M.J.; Motylenko, M.; Niendorf, T. Functionally graded structures realized based on Fe-Mn-Al-Ni shape memory alloys. Scr. Mater. 2021, 194, 113619. [Google Scholar] [CrossRef]
- Mandel, M.; Kietov, V.; Hornig, R.; Vollmer, M.; Frenck, J.M.; Wustefeld, C.; Rafaja, D.; Niendorf, T.; Kruger, L. On the polarisation and Mott-Schottky characteristics of an Fe-Mn-Al-Ni shape-memory alloy and pure Fe in NaCl-free and NaCl-contaminated Ca(OH)2,sat solution-A comparative study. Corros. Sci. 2021, 179, 109172. [Google Scholar] [CrossRef]
- Popa, M.; Mihalache, E.; Cojocaru, V.D.; Gurau, C.; Gurau, G.; Cimpoesu, N.; Pricop, B.; Comaneci, R.I.; Vollmer, M.; Krooß, P.; et al. Effects of thermomechanical processing on the microstructure and mechanical properties of Fe-based alloys. J. Mater. Eng. Perform. 2020, 29, 2274–2282. [Google Scholar] [CrossRef]
- Huang, P.; Peng, H.B.; Wang, S.L.; Zhou, T.N.; Wen, Y.H. Relationship between martensitic reversibility and different nano-phases in a FeMnAlNi shape memory alloy. Mater. Charact. 2016, 118, 22–28. [Google Scholar] [CrossRef]
- Peng, H.B.; Huang, P.; Zhou, T.N.; Wang, S.L.; Wen, Y.H. Reverse shape memory effect related to α→γ transformation in a Fe-Mn-Al-Ni shape memory alloy. Mater. Trans. A 2017, 48, 2132–2139. [Google Scholar] [CrossRef]
- Kajiwara, S.; Liu, D.; Kikuchi, T.; Shinya, N. Remarkable improvement of shape memory effect in Fe-Mn-Si based shape memory alloys by producing NbC precipitates. Scr. Mater. 2001, 44, 2809–2814. [Google Scholar] [CrossRef]
- Baruj, A.; Kikuchi, T.; Kajiwara, S. TEM observation of the internal structures in NbC containing Fe–Mn–Si-based shape memory alloys subjected to pre-deformation above room temperature. Mater. Sci. Eng. A 2004, 378, 337–342. [Google Scholar] [CrossRef]
- Stanford, N.; Dunne, D.P. Effect of NbC and TiC precipitation on shape memory in an iron-based alloy. J. Mater. Sci. 2006, 41, 4883–4891. [Google Scholar] [CrossRef]
- Stanford, N.; Dunne, D.P. Effect of second-phase particles on shape memory in Fe-Mn-Si-based alloys. Mater. Sci. Eng. A 2007, 454, 407–415. [Google Scholar] [CrossRef]
- Ogawa, K.; Sawaguchi, T.; Kikuchi, T.; Kajiwara, S. Mechanism of improvement of shape memory effect in NbC containing Fe-Mn-Si-based shape memory alloys. J. Jpn. Inst. Met. 2006, 70, 25–33. [Google Scholar] [CrossRef][Green Version]





| Fe | Mn | Al | Ni | Nb | C |
|---|---|---|---|---|---|
| 41.03 | 35.4 | 14.8 | 7.9 | 0.8 | 0.07 |
Publisher’s Note: MDPI stays neutral with regard to jurisdictional claims in published maps and institutional affiliations. |
© 2022 by the authors. Licensee MDPI, Basel, Switzerland. This article is an open access article distributed under the terms and conditions of the Creative Commons Attribution (CC BY) license (https://creativecommons.org/licenses/by/4.0/).
Share and Cite
Zhang, R.; Sun, D.; Ji, C.; Chen, Y.; Zhang, X.; Dong, Z. Shape Memory Effect and Martensitic Transformation in Fe–Mn–Al–Ni Alloy. Metals 2022, 12, 247. https://doi.org/10.3390/met12020247
Zhang R, Sun D, Ji C, Chen Y, Zhang X, Dong Z. Shape Memory Effect and Martensitic Transformation in Fe–Mn–Al–Ni Alloy. Metals. 2022; 12(2):247. https://doi.org/10.3390/met12020247
Chicago/Turabian StyleZhang, Rui, Deshan Sun, Chunmeng Ji, Yulin Chen, Xin Zhang, and Zhizhong Dong. 2022. "Shape Memory Effect and Martensitic Transformation in Fe–Mn–Al–Ni Alloy" Metals 12, no. 2: 247. https://doi.org/10.3390/met12020247
APA StyleZhang, R., Sun, D., Ji, C., Chen, Y., Zhang, X., & Dong, Z. (2022). Shape Memory Effect and Martensitic Transformation in Fe–Mn–Al–Ni Alloy. Metals, 12(2), 247. https://doi.org/10.3390/met12020247

