Kinetics Study on the Modification Process of Al2O3 Inclusions in High-Carbon Hard Wire Steel by Magnesium Treatment
Abstract
:1. Introduction
2. Experimental Method
2.1. Experiment Procedure
2.2. Detection and Analysis Method
3. Experimental Results and Analysis
3.1. Chemical Composition of Steel
3.2. Composition and Morphology of Inclusions
4. Dynamic Model Establishment
- (1)
- Before magnesium treatment, the shape of Al2O3 inclusion in the high-carbon hard wire molten steel is spherical.
- (2)
- The temperature of molten steel is very high, assuming that the interface reaction can quickly balance.
- (3)
- In order to simplify the discussion of the model, it is assumed that the concentrations of magnesium, aluminum, and oxygen in the molten steel are constant.
- (4)
- It is assumed that the diffusion of all substances in the magnesium aluminate layer is steady-state diffusion, which conforms to Fick’s first law, and the actual diffusion mechanism in molten steel is more complicated.
- (1)
- The Mg in the high-carbon hard wire molten steel diffuses to the Al2O3 layer/steel interface, and the reaction formula is:
- (2)
- [Mg] reacts with Al2O3 inclusions on the surface:
- (3)
- [Al] generated by the reaction diffuses outward through the MA layer and enters the molten steel.
4.1. The Diffusion of Al in the Magnesium Aluminate Layer Is the Limiting Link in the Modification Process of Inclusions
4.2. Assuming That the Diffusion of Mg in Inclusions Is the Limiting Link in the Modification Process
4.3. Determination of Kinetic Model Parameters
4.3.1. It Is Assumed That the Diffusion of Al in the Magnesium Aluminate Layer Is the Limiting Link in the Modification Process of Inclusions
4.3.2. It Is Assumed That the Diffusion of Mg in the Magnesium Aluminate Layer Is the Limiting Link in the Modification Process of Inclusions
4.4. Dynamic Model Results and Analysis
4.4.1. Determination of Restrictive Links
4.4.2. The Effect of Solute Element Content in Molten Steel on Modification Time
4.4.3. Influence of Inclusion Conversion Rate in High-Carbon Hard Wire Steel on Modification Time
4.4.4. The Relationship between the Radius of Inclusions and the Time of Modification
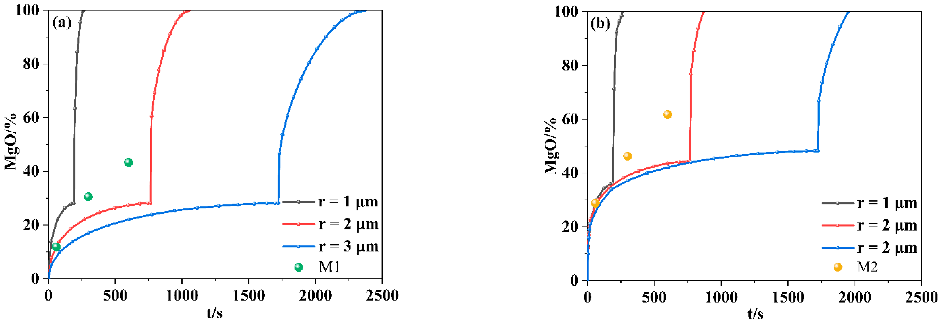
4.5. Model Validation
5. Conclusions
- (1)
- Through the analysis of the restrictive link, the influence of each step on the modification time of inclusions is determined, and it is concluded that the tf, when the diffusion of Mg in the MA layer is the limiting link, is greater than the tf when the diffusion of Al in the MA layer is the limiting link. Thus, it is considered that the diffusion of Mg in the inclusion layer is the limiting link in the modification process of the inclusion.
- (2)
- As the magnesium content in the molten steel increases, the time for complete modification of inclusions is significantly shortened. The content of Al and O in molten steel increases, and the complete modification time increases slightly, but the change is small. The Mg concentration in molten steel has the greatest influence on the modification time of inclusions. The high Mg environment in molten steel facilitates the transformation of Al2O3 inclusions into MgO·Al2O3 inclusions.
- (3)
- When the inclusions are initially denatured, the modification rate is faster, and as the reaction progresses, the modification rate gradually slows down. Therefore, in the late stage of modification of inclusions, the stirring rate should be increased to promote modification of inclusions and reduce the time of modification.
- (4)
- The complete modification time of the inclusions increases with the increase of the radius of the inclusions. When the radius of the inclusions is the same, the modification time required for the Al2O3 inclusions to be transformed into MgO·Al2O3 inclusions is the longest.
- (5)
- According to the boundary conditions and the parameters of the unreacted core model, the MgO content in the inclusions of different radius was calculated over time, and the experimental results were essentially consistent with the calculation results of the kinetic model.
Author Contributions
Funding
Institutional Review Board Statement
Informed Consent Statement
Data Availability Statement
Conflicts of Interest
References
- Pilarczyk, J.W.; Muskalski, Z.; Dyja, P.; Golis, B. Influence of non-metallic inclusions on drawability of high carbon steel wire rod. Wire J. Int. 2002, 35, 81–85. [Google Scholar]
- Ji, S.I.; Lee, K.H.; Yang, Y.S.; Lee, C.Y.; Bae, C.M.; Kim, B.M. The Effects of Non-Metallic Inclusion on Ductile Damage of High Carbon Steel Wire in Multi-Pass Dry Drawing Process. Key Eng. Mater. 2014, 622, 155–161. [Google Scholar] [CrossRef]
- Tanaka, Y.; Pahlevani, F.; Kitamura, S.-Y.; Privat, K.; Sahajwalla, V. Behaviour of Sulphide and Non-alumina-Based Oxide Inclusions in Ca-Treated High-Carbon Steel. Met. Mater. Trans. A 2020, 51, 1384–1394. [Google Scholar] [CrossRef]
- Chen, L.; Chen, W.; Hu, Y.; Chen, Z.; Xu, Y.; Yan, W. Effects of K2CO3 Addition on Inclusions in High-Carbon Steel for Saw Wire. High Temp. Mater. Process. 2018, 37, 701–709. [Google Scholar] [CrossRef]
- Khurana, B.; Spooner, S.; Rao, M.B.V.; Roy, G.G.; Srirangam, P. In situ Observation of Calcium Oxide Treatment of Inclusions in Molten Steel by Confocal Microscopy. Met. Mater. Trans. A 2017, 48, 1409–1415. [Google Scholar] [CrossRef] [Green Version]
- Bejjani, R.; Collin, M.; Thersleff, T.; Odelros, S. Multi-scale study of initial tool wear on textured alumina coating, and the effect of inclusions in low-alloyed steel. Tribol. Int. 2016, 100, 204–212. [Google Scholar] [CrossRef]
- Dub, A.V.; Volkov, V.G.; Romashkin, A.N.; Gordeev, Y.V.; Shvetsov, G.G. Controlling the composition and quantity of oxide inclusions in a chromium steel. Russ. Met. 2007, 2007, 585–590. [Google Scholar] [CrossRef]
- Das, N.K.; Sen, N.; Ghosh, M.; Sau, R. Effect of simultaneous addition of CaO-Al2O3 flux and CaSi on the modification of inclusions in aluminium-killed steel. Scand. J. Met. 2005, 34, 276–282. [Google Scholar] [CrossRef]
- Li, X.; Jiang, Z.; Geng, X.; Chen, M.; Cui, S. Effect of Rare Earth–Magnesium Alloy on Inclusion Evolution in Industrial Production of Die Steel. Steel Res. Int. 2019, 90, 1900103. [Google Scholar] [CrossRef]
- Zhang, Q.; Min, Y.; Xu, H.; Xu, J.; Liu, C. Formation and Evolution of Silicate Inclusions in Molten Steel by Magnesium Treatment. ISIJ Int. 2019, 59, 391–397. [Google Scholar] [CrossRef] [Green Version]
- Pistorius, P.C. Steel-Slag Reactions in Ladle Metallurgy: Mass Transfer and Steel Cleanliness. In Proceedings of the International Congress on the Science & Technology of Steelmaking, Beijing, China, 12–14 May 2015. [Google Scholar]
- Zhang, T.S.; Wang, D.Y.; Liu, C.W.; Jiang, M.F.; Ming, L.Ü.; Bo, W.A.; Zhang, S.X. Modification of Inclusions in Liquid Iron by Mg Treatment. J. Iron Steel Res. Int. 2014, 21 (Suppl. S1), 99–103. [Google Scholar] [CrossRef]
- Yang, S.F.; Li, J.S.; Wang, Z.F.; Li, J.; Lin, L. Modification of MgO·Al2O3 spinel inclusions in Al-killed steel by Ca-treatment. Int. J. Miner. Metall. Mater. 2011, 18, 18–23. [Google Scholar] [CrossRef]
- Feng, J.; Bao, Y.; Cui, H. Effect of Magnesium on Modification of Inclusions in Low Carbon Aluminium-Killed Steel SPHC. Teshugang 2010, 31, 16–20. [Google Scholar]
- Zheng, H.Y.; Guo, S.Q.; Qiao, M.R.; Qin, L.B.; Zou, X.J.; Ren, Z.M. Study on the Modification of Inclusions by Mg Treatment in GCr18Mo Bearing Steel. Adv. Manuf. 2019, 7, 438–447. [Google Scholar] [CrossRef]
- Peng, Q.; Lei, Q.; Jian, Z. Effect of calcium treatment on inclusions in the steel LG510 and its thermodynamic analysis. J. Wuhan Univ. Sci. Technol. 2014, 37, 401–405. [Google Scholar]
- Sun, W.; Wang, J.S.; Cao, L.J.; Xue, Q.G. Thermodynamic analysis on inclusion modification of magnesium treatment in bearing steel. Liangang 2010, 26, 41–43. [Google Scholar]
- Tang, H.Y.; Li, J.S. Thermodynamic analysis on the formation mechanism of MgO·Al2O3 spinel type inclusions in casing steel. Int. J. Miner. Metall. Mater. 2010, 17, 34–40. [Google Scholar] [CrossRef]
- Yang, J.; Yamasaki, T.; Kuwabara, M. Behavior of Inclusions in Deoxidation Process of Molten Steel with in Situ Produced Mg Vapor. ISIJ Int. 2007, 47, 699–708. [Google Scholar] [CrossRef] [Green Version]
- Ma, W.; Bao, Y.; Wang, M.; Zhao, L. Effect of Mg and Ca Treatment on Behavior and Particle Size of Inclusions in Bearing Steels. ISIJ Int. 2014, 54, 536–542. [Google Scholar] [CrossRef] [Green Version]
- Yu, Z.; Liu, C. Evolution Mechanism of Inclusions in Medium-Manganese Steel by Mg Treatment with Different Aluminum Contents. Met. Mater. Trans. A 2019, 50, 772–781. [Google Scholar] [CrossRef]
- Takata, R.; Yang, J.; Kuwabara, M. Characteristics of Inclusions Generated during Al–Mg Complex Deoxidation of Molten Steel. ISIJ Int. 2007, 47, 1379–1386. [Google Scholar] [CrossRef] [Green Version]
- Xi, Z.; Li, C.; Wang, L. A Kinetic Model for the Modification of Al2O3 Inclusions during Calcium Treatment in High-Carbon Hard Wire Steel. Materials 2021, 14, 1305. [Google Scholar] [CrossRef] [PubMed]
- Itoh, H.; Hino, M.; Ban-Ya, S. Thermodynamics on the formation of spinel nonmetallic inclusion in liquid steel. Metall. Mater. Trans. B 1997, 28, 953–956. [Google Scholar] [CrossRef]
- Gong, W.; Jiang, Z.; Zhang, L.; Chen, C.; Dong, Y. Influence of Mg addition on inclusions and mechanical properties of Cr12Mo1V1 steel under high pressure. Mater. Sci. Eng. A 2020, 791, 139410. [Google Scholar] [CrossRef]













| Raw Material | Fe | Si | Mn | S | C | Mg | Ni | Al | Others |
|---|---|---|---|---|---|---|---|---|---|
| Industrial pure iron | 99.7 | 0.02 | 0.03 | 0.0002 | 0.0018 | - | - | 0.001 | 0.2445 |
| electrolytic manganese | - | - | 99.999 | - | - | - | - | - | 0.001 |
| Si-Fe alloy | 21 | 78 | 0.4 | 0.02 | 0.1 | - | - | - | 0.48 |
| Al alloy | 0.7 | 0.8 | 0.15 | - | - | - | - | 96.94 | 1.41 |
| Mg-Ni alloy | 0.01 | 0.01 | 20.44 | 0.01 | - | 21.41 | 58.12 | - | - |
| QT400 | 95.8 | 0.17 | 0.5 | 0.01 | 3.45 | - | - | - | 0.07 |
| Number | C | Si | Mn | S | O | Al | Mg |
|---|---|---|---|---|---|---|---|
| M1 | 0.652 | 0.183 | 0.312 | 0.0021 | 0.0057 | 0.0048 | 0.001 |
| M2 | 0.652 | 0.183 | 0.300 | 0.0017 | 0.0045 | 0.0051 | 0.0018 |
| C | Si | Mn | S | O | Al | Mg | |
|---|---|---|---|---|---|---|---|
| O | −0.42 | −0.066 | −0.021 | −0.13 | −0.17 | −1.17 | −1.98 |
| Al | 0.091 | 0.056 | −0.004 | 0.0035 | −1.98 | 0.0043 | −0.13 |
| Mg | −0.31 | −0.088 | - | - | −3 | −0.12 | - |
| Number | aMg | aAl |
|---|---|---|
| M1 | 0.000581 | 0.005473 |
| M2 | 0.001054 | 0.005846 |
Publisher’s Note: MDPI stays neutral with regard to jurisdictional claims in published maps and institutional affiliations. |
© 2021 by the authors. Licensee MDPI, Basel, Switzerland. This article is an open access article distributed under the terms and conditions of the Creative Commons Attribution (CC BY) license (https://creativecommons.org/licenses/by/4.0/).
Share and Cite
Xiong, X.; Li, C.; Xi, Z.; Chen, L. Kinetics Study on the Modification Process of Al2O3 Inclusions in High-Carbon Hard Wire Steel by Magnesium Treatment. Metals 2021, 11, 1560. https://doi.org/10.3390/met11101560
Xiong X, Li C, Xi Z, Chen L. Kinetics Study on the Modification Process of Al2O3 Inclusions in High-Carbon Hard Wire Steel by Magnesium Treatment. Metals. 2021; 11(10):1560. https://doi.org/10.3390/met11101560
Chicago/Turabian StyleXiong, Xingqiang, Changrong Li, Zuobing Xi, and Lu Chen. 2021. "Kinetics Study on the Modification Process of Al2O3 Inclusions in High-Carbon Hard Wire Steel by Magnesium Treatment" Metals 11, no. 10: 1560. https://doi.org/10.3390/met11101560
APA StyleXiong, X., Li, C., Xi, Z., & Chen, L. (2021). Kinetics Study on the Modification Process of Al2O3 Inclusions in High-Carbon Hard Wire Steel by Magnesium Treatment. Metals, 11(10), 1560. https://doi.org/10.3390/met11101560
