The Effects of Physical and Mental Fatigue on Time Perception
Highlights
Abstract
1. Introduction
2. Methods
2.1. Participants
2.2. Experimental Design
3. Dependent Variables: Measures
3.1. Time Perception
3.2. Heart Rate and Tympanic Temperature
3.3. Rate of Perceived Exertion (RPE)
3.4. NASA-TLX
3.5. Independent Variable: Protocol
3.6. Maximal Incremental Cycling Test Protocol
3.7. Exhaustive Cycling Exercise Protocol
3.8. Stroop Task
3.9. Control Condition
4. Statistical Analysis
5. Results
5.1. Time Estimates
5.1.1. Five Seconds
5.1.2. Ten Seconds
5.1.3. Twenty Seconds
5.1.4. Thirty Seconds
5.2. Relative (%) Time Changes between Each Time Estimate
6. Heart Rate
7. Tympanic Temperature
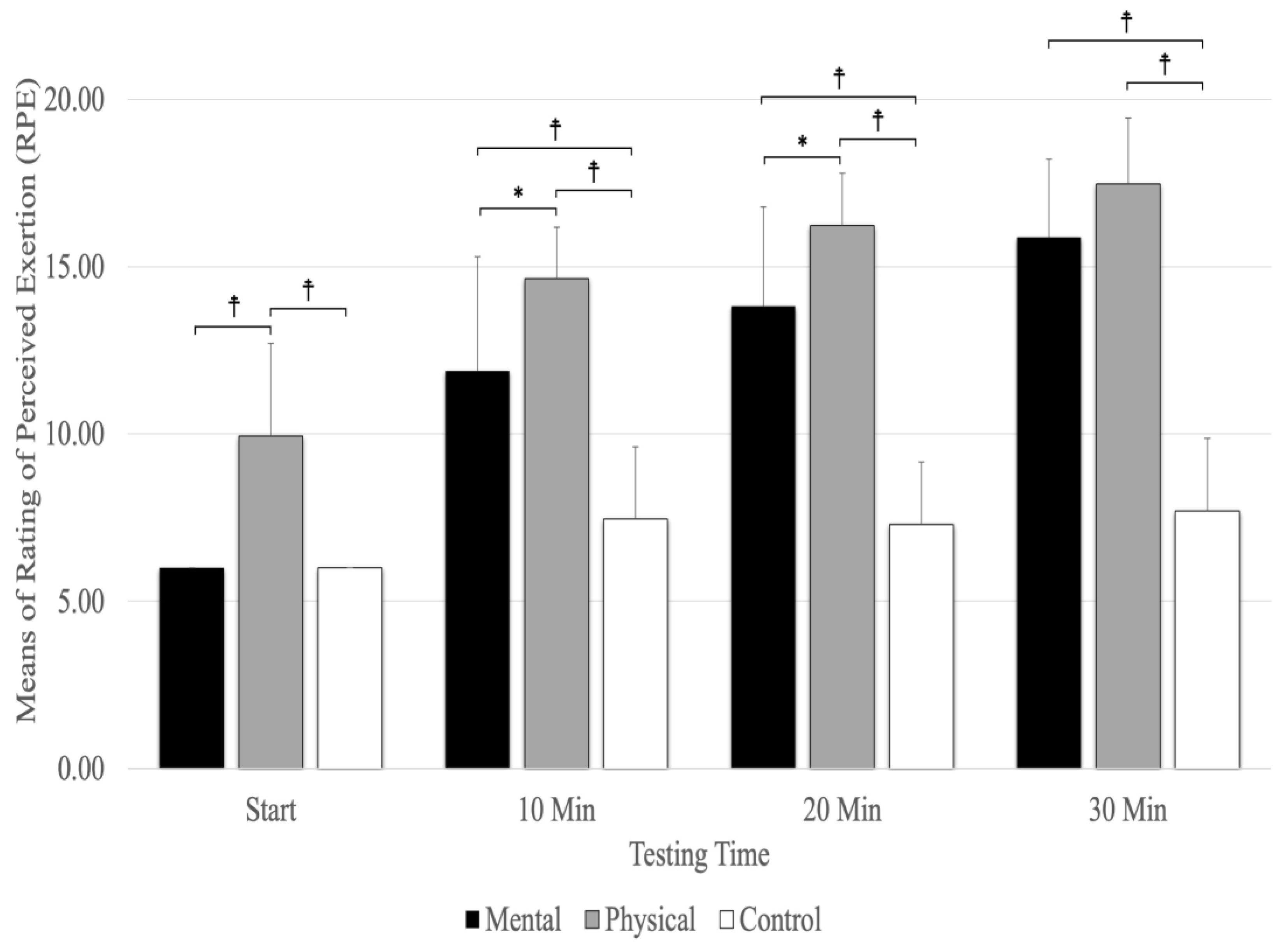
8. Rating of Perceived Exertion (RPE)
9. The NASA Task Load Index
9.1. Mental Demand
9.2. Physical Demand
10. Discussion
11. Limitations
12. Practical Applications
13. Conclusions
Author Contributions
Funding
Institutional Review Board Statement
Informed Consent Statement
Data Availability Statement
Conflicts of Interest
References
- Bunnag, A. The Concept of Time in Philosophy: A Comparative Study between Theravada Buddhist and Henri Bergson’s Concept of Time from Thai Philosophers’ Perspectives. Kasetsart J. Soc. Sci. 2019, 40, 179–185. [Google Scholar] [CrossRef]
- Wittmann, M. The Inner Experience of Time. Philos. Trans. R. Soc. B Biol. Sci. 2009, 364, 1955–1967. [Google Scholar] [CrossRef] [PubMed]
- Jia, B.; Zhang, Z.; Feng, T. Sports Experts’ Unique Perception of Time Duration Based on the Processing Principle of an Integrated Model of Timing. PeerJ 2020, 8, e8707. [Google Scholar] [CrossRef] [PubMed]
- Behm, D.G.; Carter, T.B. Effect of Exercise-Related Factors on the Perception of Time. Front. Physiol. 2020, 11, 770. [Google Scholar] [CrossRef] [PubMed]
- Eagleman, D.M. Distortions of Time during Rapid Eye Movements. Nat. Neurosci. 2005, 8, 850–851. [Google Scholar] [CrossRef] [PubMed]
- Gibbon, J.; Church, R.M.; Meck, W.H. Scalar Timing in Memory. Ann. N. Y. Acad. Sci. 1984, 423, 52–77. [Google Scholar] [CrossRef]
- Grondin, S. Timing and Time Perception: A Review of Recent Behavioral and Neuroscience Findings and Theoretical Directions. Atten. Percept. Psychophys. 2010, 72, 561–582. [Google Scholar] [CrossRef]
- Meck, W.H. Selective Adjustment of the Speed of Internal Clock and Memory Processes. J. Exp. Psychol. Anim. Behav. Process. 1983, 9, 171. [Google Scholar] [CrossRef]
- Meck, W.H.; Church, R.M. A Mode Control Model of Counting and Timing Processes. J. Exp. Psychol. Anim. Behav. Process. 1983, 9, 320. [Google Scholar] [CrossRef] [PubMed]
- Allman, M.J.; Meck, W.H. Pathophysiological Distortions in Time Perception and Timed Performance. Brain 2012, 135, 656–677. [Google Scholar] [CrossRef] [PubMed]
- Merchant, H.; Harrington, D.L.; Meck, W.H. Neural Basis of the Perception and Estimation of Time. Annu. Rev. Neurosci. 2013, 36, 313–336. [Google Scholar] [CrossRef]
- Meck, W.H. Neuropsychology of Timing and Time Perception. Brain Cogn. 2005, 58, 1–8. [Google Scholar] [CrossRef]
- Matell, M.S.; Meck, W.H. Cortico-Striatal Circuits and Interval Timing: Coincidence Detection of Oscillatory Processes. Cogn. Brain Res. 2004, 21, 139–170. [Google Scholar] [CrossRef]
- Petzinger, G.M.; Holschneider, D.P.; Fisher, B.E.; McEwen, S.; Kintz, N.; Halliday, M.; Toy, W.; Walsh, J.W.; Beeler, J.; Jakowec, M.W. The Effects of Exercise on Dopamine Neurotransmission in Parkinson’s Disease: Targeting Neuroplasticity to Modulate Basal Ganglia Circuitry. Brain Plast. 2015, 1, 29–39. [Google Scholar] [CrossRef]
- Graham, A.P.; Gardner, H.; Chaabene, H.; Talpey, S.; Alizadeh, S.; Behm, D.G. Maximal and Submaximal Intensity Isometric Knee Extensions Induce an Underestimation of Time Estimates with Both Younger And Older Adults: A Randomized Crossover Trial. J. Sports Sci. Med. 2023, 22, 405–415. [Google Scholar] [CrossRef]
- Ivry, R.B.; Keele, S.; Diener, H. Dissociation of the Lateral and Medial Cerebellum in Movement Timing and Movement Execution. Exp. Brain Res. 1988, 73, 167–180. [Google Scholar] [CrossRef]
- Iannetta, D.; Zhang, J.; Murias, J.M.; Aboodarda, S.J. Neuromuscular and Perceptual Mechanisms of Fatigue Accompanying Task Failure in Response to Moderate-, Heavy-, Severe-, and Extreme-Intensity Cycling. J. Appl. Physiol. 2022, 133, 323–334. [Google Scholar] [CrossRef]
- Kennedy, A.; Hug, F.; Sveistrup, H.; Guével, A. Fatiguing Handgrip Exercise Alters Maximal Force-Generating Capacity of Plantar-Flexors. Eur. J. Appl. Physiol. 2013, 113, 559–566. [Google Scholar] [CrossRef]
- Krüger, R.L.; Aboodarda, S.J.; Jaimes, L.M.; Samozino, P.; Millet, G.Y. Cycling Performed on an Innovative Ergometer at Different Intensities–Durations in Men: Neuromuscular Fatigue and Recovery Kinetics. Appl. Physiol. Nutr. Metab. 2019, 44, 1320–1328. [Google Scholar] [CrossRef]
- Place, N.; Bruton, J.D.; Westerblad, H. Mechanisms of Fatigue Induced by Isometric Contractions in Exercising Humans and in Mouse Isolated Single Muscle Fibres. Clin. Exp. Pharmacol. Physiol. 2009, 36, 334–339. [Google Scholar] [CrossRef]
- Job, R.S.; Dalziel, J. Defining Fatigue as a Condition of the Organism and Distinguishing It from Habituation, Adaptation, and Boredom. In Stress, Workload, and Fatigue; CRC Press: Boca Raton, FL, USA, 2000; pp. 466–476. ISBN 1-4106-0044-0. [Google Scholar] [CrossRef]
- Mehta, R.K.; Parasuraman, R. Effects of Mental Fatigue on the Development of Physical Fatigue: A Neuroergonomic Approach. Hum. Factors 2014, 56, 645–656. [Google Scholar] [CrossRef]
- Nobrega, A.C.; O’Leary, D.; Silva, B.M.; Marongiu, E.; Piepoli, M.F.; Crisafulli, A. Neural Regulation of Cardiovascular Response to Exercise: Role of Central Command and Peripheral Afferents. BioMed Res. Int. 2014, 2014, 478965. [Google Scholar] [CrossRef]
- Helm, A.F. Mental Fatigue: Examining Cognitive Performance and Driving Behavior in Young Adults. Ph.D. Thesis, University of Massachusetts Amherst, Amherst, MA, USA, 2021. [Google Scholar] [CrossRef]
- González-Alonso, J.; Teller, C.; Andersen, S.L.; Jensen, F.B.; Hyldig, T.; Nielsen, B. Influence of Body Temperature on the Development of Fatigue during Prolonged Exercise in the Heat. J. Appl. Physiol. 1999, 86, 1032–1039. [Google Scholar] [CrossRef]
- Tamm, M.; Jakobson, A.; Havik, M.; Timpmann, S.; Burk, A.; Ööpik, V.; Allik, J.; Kreegipuu, K. Effects of Heat Acclimation on Time Perception. Int. J. Psychophysiol. 2015, 95, 261–269. [Google Scholar] [CrossRef]
- Tamm, M.; Jakobson, A.; Havik, M.; Burk, A.; Timpmann, S.; Allik, J.; Ööpik, V.; Kreegipuu, K. The Compression of Perceived Time in a Hot Environment Depends on Physiological and Psychological Factors. Q. J. Exp. Psychol. 2014, 67, 197–208. [Google Scholar] [CrossRef]
- Tonelli, A.; Lunghi, C.; Gori, M. Moderate Physical Activity Alters the Estimation of Time, but Not Space. Front. Psychol. 2022, 13, 1004504. [Google Scholar] [CrossRef]
- Gardner, H.R.; Konrad, A.; Alizadeh, S.; Graham, A.; Behm, D.G. Temporal Perception Is Distorted by Submaximal and Maximal Isometric Contractions of the Knee Extensors in Young Healthy Males and Females. Front. Sports Act. Living 2023, 5, 1185480. [Google Scholar] [CrossRef]
- Borg, G. Borg’s Perceived Exertion and Pain Scales; Human kinetics: Champaign, IL, USA, 1998; ISBN 0-88011-623-4. [Google Scholar]
- Colligan, L.; Potts, H.W.; Finn, C.T.; Sinkin, R.A. Cognitive Workload Changes for Nurses Transitioning from a Legacy System with Paper Documentation to a Commercial Electronic Health Record. Int. J. Med. Inform. 2015, 84, 469–476. [Google Scholar] [CrossRef]
- Hart, S.G.; Staveland, L.E. Development of NASA-TLX (Task Load Index): Results of Empirical and Theoretical Research. In Advances in Psychology; Elsevier: Amsterdam, The Netherlands, 1988; Volume 52, pp. 139–183. ISBN 0166-4115. [Google Scholar] [CrossRef]
- Barzegarpoor, H.; Amoozi, H.; Rajabi, H.; Button, D.; Fayazmilani, R. The Effects of Performing Mental Exertion during Cycling Exercise on Fatigue Indices. Int. J. Sports Med. 2020, 41, 846–857. [Google Scholar] [CrossRef]
- Stroop, J.R. Studies of Interference in Serial Verbal Reactions. J. Exp. Psychol. 1935, 18, 643. [Google Scholar] [CrossRef]
- Smith, M.R.; Coutts, A.J.; Merlini, M.; Deprez, D.; Lenoir, M.; Marcora, S.M. Mental Fatigue Impairs Soccer-Specific Physical and Technical Performance. Med. Sci. Sports Exerc. 2016, 48, 267–276. [Google Scholar] [CrossRef]
- Slimani, M.; Znazen, H.; Bragazzi, N.L.; Zguira, M.S.; Tod, D. The Effect of Mental Fatigue on Cognitive and Aerobic Performance in Adolescent Active Endurance Athletes: Insights from a Randomized Counterbalanced, Cross-over Trial. J. Clin. Med. 2018, 7, 510. [Google Scholar] [CrossRef]
- Stoet, G. PsyToolkit: A Software Package for Programming Psychological Experiments Using Linux. Behav. Res. Methods 2010, 42, 1096–1104. [Google Scholar] [CrossRef]
- Stoet, G. PsyToolkit: A Novel Web-Based Method for Running Online Questionnaires and Reaction-Time Experiments. Teach. Psychol. 2017, 44, 24–31. [Google Scholar] [CrossRef]
- Cohen, J. Statistical Power Analysis for the Behavioral Sciences; Academic press: Cambridge, MA, USA, 2013; ISBN 1-4832-7648-1. [Google Scholar]
- Edwards, A.M.; McCormick, A. Time Perception, Pacing and Exercise Intensity: Maximal Exercise Distorts the Perception of Time. Physiol. Behav. 2017, 180, 98–102. [Google Scholar] [CrossRef]
- Piéron, H.I. Les Problèmes Psycho-Physiologiques de La Perception Du Temps. L’Année Psychol. 1923, 24, 1–25. [Google Scholar] [CrossRef]
- van Maanen, L.; Van der Mijn, R.; van Beurden, M.H.; Roijendijk, L.M.; Kingma, B.R.; Miletić, S.; Van Rijn, H. Core Body Temperature Speeds up Temporal Processing and Choice Behavior under Deadlines. Sci. Rep. 2019, 9, 10053. [Google Scholar] [CrossRef]
- Daanen, H. Infrared Tympanic Temperature and Ear Canal Morphology. J. Med. Eng. Technol. 2006, 30, 224–234. [Google Scholar] [CrossRef]
- Brinnel, H.; Cabanac, M. Tympanic Temperature Is a Core Temperature in Humans. J. Therm. Biol. 1989, 14, 47–53. [Google Scholar] [CrossRef]
- Smith, M.R.; Chai, R.; Nguyen, H.T.; Marcora, S.M.; Coutts, A.J. Comparing the Effects of Three Cognitive Tasks on Indicators of Mental Fatigue. J. Psychol. 2019, 153, 759–783. [Google Scholar] [CrossRef]
- Wascher, E.; Rasch, B.; Sänger, J.; Hoffmann, S.; Schneider, D.; Rinkenauer, G.; Heuer, H.; Gutberlet, I. Frontal Theta Activity Reflects Distinct Aspects of Mental Fatigue. Biol. Psychol. 2014, 96, 57–65. [Google Scholar] [CrossRef]
- Wang, C.; Trongnetrpunya, A.; Samuel, I.B.H.; Ding, M.; Kluger, B.M. Compensatory Neural Activity in Response to Cognitive Fatigue. J. Neurosci. 2016, 36, 3919–3924. [Google Scholar] [CrossRef]
- Vrijkotte, S.; Meeusen, R.; Vandervaeren, C.; Buyse, L.; Van Cutsem, J.; Pattyn, N.; Roelands, B. Mental Fatigue and Physical and Cognitive Performance during a 2-Bout Exercise Test. Int. J. Sports Physiol. Perform. 2018, 13, 510–516. [Google Scholar] [CrossRef]
- Edwards, A.; Polman, R. Pacing and Awareness: Brain Regulation of Physical Activity. Sports Med. 2013, 43, 1057–1064. [Google Scholar] [CrossRef] [PubMed]
- Gil, S.; Droit-Volet, S. Emotional Time Distortions: The Fundamental Role of Arousal. Cogn. Emot. 2012, 26, 847–862. [Google Scholar] [CrossRef]
- Lambourne, K. The Effects of Acute Exercise on Temporal Generalization. Q. J. Exp. Psychol. 2012, 65, 526–540. [Google Scholar] [CrossRef]
- Zakay, D.; Block, R.A. Temporal Cognition. Curr. Dir. Psychol. Sci. 1997, 6, 12–16. [Google Scholar] [CrossRef]
- Dormal, V.; Heeren, A.; Pesenti, M.; Maurage, P. Time Perception Is Not for the Faint-Hearted? Physiological Arousal Does Not Influence Duration Categorisation. Cogn. Process. 2018, 19, 399–409. [Google Scholar] [CrossRef]






| Participants | Age (Years) | Mass (kg) | Height (cm) |
|---|---|---|---|
| Male (n = 14) | 28.57 ± 4.92 | 80.46 ± 11.22 | 175.71 ± 2.65 |
| Female (n = 3) | 24 ± 2.64 | 69.06 ± 10.96 | 157.33 ± 2.30 |
| Time Estimates | Mental Fatigue (M ± SD) | Physical Fatigue (M ± SD) | Control (M ± SD) |
|---|---|---|---|
| Deviation from chronological time for 5 s estimates | |||
| Pre-test | −0.059 ± 0.416 | −0.011 ± 0.288 | 0.121 ± 0.478 |
| Post-test | 0.155 ± 0.751 | −0.550 ± 0.255 * | 0.026 ± 0.500 |
| Follow-up | 0.240 ± 0.677 | −0.601 ± 0.314 * | 0.096 ± 0.483 |
| Deviation from chronological time for 10 s estimates | |||
| Pre-test | 0.360 ± 0.734 | 0.301 ± 0.549 | 0.555 ± 0.927 |
| Post-test | 0.669 ± 1.228 | −0.942 ± 0.350 * | 0.423 ± 0.898 |
| Follow-up | 1.061 ± 1.446 | −1.006 ± 0.524 * | 0.603 ± 1.040 |
| Deviation from chronological time for 20 s estimates | |||
| Pre-test | 0.581 ± 1.154 | 0.417 ± 1.136 | 1.014 ± 1.542 |
| Post-test | 1.458 ± 2.219 | −1.958 ± 0.538 * | 0.748 ± 1.502 |
| Follow-up | 1.830 ± 2.570 | −1.896 ± 0.898 * | 0.748 ± 1.502 |
| Deviation from chronological time for 30 s estimates | |||
| Pre-test | 0.846 ± 1.938 | 0.452 ± 1.733 | 1.281 ± 2.322 |
| Post-test | 1.815 ± 3.459 | −2.947 ± 0.839 * | 0.881 ± 2.042 |
| Follow-up | 2.461 ± 3.790 | −2.756 ± 1.413 * | 0.943 ± 2.175 |
| Conditions | Mental Demand Mean ± SD | Physical Demand Mean ± SD |
|---|---|---|
| Mental fatigue | 80 ± 18.28 * | 14.41 ± 14.45 |
| Physical fatigue | 34.11 ± 20.63 | 81.17 ± 14.09 * |
| Control | 23.23 ± 25.18 | 11.67 ± 17.31 |
Disclaimer/Publisher’s Note: The statements, opinions and data contained in all publications are solely those of the individual author(s) and contributor(s) and not of MDPI and/or the editor(s). MDPI and/or the editor(s) disclaim responsibility for any injury to people or property resulting from any ideas, methods, instructions or products referred to in the content. |
© 2024 by the authors. Licensee MDPI, Basel, Switzerland. This article is an open access article distributed under the terms and conditions of the Creative Commons Attribution (CC BY) license (https://creativecommons.org/licenses/by/4.0/).
Share and Cite
Goudini, R.; Zahiri, A.; Alizadeh, S.; Drury, B.; Anvar, S.H.; Daneshjoo, A.; Behm, D.G. The Effects of Physical and Mental Fatigue on Time Perception. Sports 2024, 12, 59. https://doi.org/10.3390/sports12020059
Goudini R, Zahiri A, Alizadeh S, Drury B, Anvar SH, Daneshjoo A, Behm DG. The Effects of Physical and Mental Fatigue on Time Perception. Sports. 2024; 12(2):59. https://doi.org/10.3390/sports12020059
Chicago/Turabian StyleGoudini, Reza, Ali Zahiri, Shahab Alizadeh, Benjamin Drury, Saman Hadjizadeh Anvar, Abdolhamid Daneshjoo, and David G. Behm. 2024. "The Effects of Physical and Mental Fatigue on Time Perception" Sports 12, no. 2: 59. https://doi.org/10.3390/sports12020059
APA StyleGoudini, R., Zahiri, A., Alizadeh, S., Drury, B., Anvar, S. H., Daneshjoo, A., & Behm, D. G. (2024). The Effects of Physical and Mental Fatigue on Time Perception. Sports, 12(2), 59. https://doi.org/10.3390/sports12020059

