Management Diversification Increases Habitat Availability for Lepidoptera Papilionoidea in the Torretes Biological Station (Spain)
Simple Summary
Abstract
1. Introduction
2. Materials and Methods
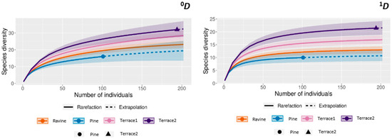
3. Results
4. Discussion
Supplementary Materials
Author Contributions
Funding
Data Availability Statement
Acknowledgments
Conflicts of Interest
References
- Aragón, P.; Sánchez-Fernández, D.; Hernando, C. Use of satellite images to characterize the spatio-temporal dynamics of primary productivity in hotspots of endemic Iberian butterflies. Ecol. Indic. 2019, 106, 105449. [Google Scholar] [CrossRef]
- Levente, S.; Ștefănescu, R.; Cernea, E. The Butterflies of Romania/Fluturii de zi din România; Editorial Brasov County Museum of History: Brașov, Romania, 2008; 305p. [Google Scholar]
- Boggs, C.L.; Watt, W.B.; Ehrlich, P.R. Butterflies. Ecology and Evolution Taking Flight; Editorial University of Chicago Press: Chicago, IL, USA, 2003; 739p. [Google Scholar]
- Kellert, S.R. Values and Perceptions of Invertebrates. Conserv. Biol. 1993, 7, 845–855. [Google Scholar] [CrossRef]
- Thomas, J.A.; Clarke, R.T. Extinction rates and butterflies. Science 2004, 325, 80–83. [Google Scholar] [CrossRef] [PubMed]
- Van Nieukerken, E.; Kaila, L.; Kitching, I.J.; Kristensen, N.P.; Lees, D.C.; Minet, J.; Mitter, C.; Mutanen, M.; Regier, J.C.; Simonsen, T.J.; et al. Order Lepidoptera Linnaeus, 1758. Zootaxa 2011, 3148, 212. [Google Scholar]
- Numa, C.; Van Swaay, C.; Wynhoff, I.; Wiemers, M.; Barrios, V.; Allen, D.; Sayer, C.; López Munguira, M.; Balletto, E.; Benyamini, D.; et al. The Status and Distribution of Mediterranean Butterflies; IUCN: Malaga, Spain, 2016; 32p. [Google Scholar]
- Ollerton, J.; Tarrant, S.; Winfree, R. How many flowering plants are pollinated by animals? Oikos 2011, 120, 321–326. [Google Scholar] [CrossRef]
- Pearson, D.L. Selecting indicator taxa for the quantitative assessment of biodiversity, Philosophical Transactions of the Royal Society of London. Ser. B Biol. Sci. 1994, 345, 75–79. [Google Scholar] [CrossRef]
- New, T.; Pyle, R.M.; Thomas, J.A.; Thomas, C.D.; Hammond, P.C. Butterfly conservation management. Annu. Rev. Entomol. 1995, 40, 57–83. [Google Scholar] [CrossRef]
- Blondel, J.; Aronson, J. Biology and Wildlife of the Mediterranean Region; Oxford University Press: Oxford, UK, 1999; 327p. [Google Scholar]
- Myers, N.; Mittermeier, R.A.; Mittermeier, C.G.; Da Fonseca, G.A.B.; Kent, J. Biodiversity hotspots for conservation priorities. Nature 2000, 403, 853–858. [Google Scholar] [CrossRef] [PubMed]
- Lucio, J.V.; Gómez Limón, J. Percepción de la diversidad paisajística. In La Diversidad Biológica de España; Pineda, F., De Miguel, J., Casado, M., Eds.; Prentice Hall: Madrid, Spain, 2002; pp. 101–110. [Google Scholar]
- Galante, E. Diversité entomologique et activité agro-sylvo-pastorale. In Conservation de la Biodiversité dans les Paysages Ruraux Européens; Lumaret, J.P., Jaulin, S., Soldati, F., Pinault, G., Dupont, P., Eds.; UPV/CIBIO/PNR de la Narbonnaise en Méditerranée/OPIE-LR: Montpellier, France, 2005; 185p. [Google Scholar]
- Galante, E.; Marcos-García, M.A. El Bosque Mediterráneo. Los Invertebrados. In La Red española de Parques Nacionales; García-Canseco, V., Asensio, B., Eds.; Ministerio de Medio Ambiente: Madrid, Spain, 2004; pp. 272–282. [Google Scholar]
- Galante, E.; Marcos-García, M.A. El bosque mediterráneo ibérico: Un mundo manejado y cambiante. In Los Insectos Saproxílicos del Parque Nacional de Cabañeros; Micó, E., Galante, E., Marcos-García, M.A., Eds.; Organismo Autónomo de Parques Nacionales Ministerio de Agricultura, Alimentación y Medio Ambiente: Madrid, Spain, 2013; pp. 12–32. [Google Scholar]
- Sundseth, K. Natura 2000 in the Mediterranean Region; Directorate General for the Environment (European Commission): Luxembourg, 2009; Available online: https://data.europa.eu/doi/10.2779/77695 (accessed on 15 January 2025).
- Van Swaay, C.A.M.; Warren, M.S. Red Data Book of European Butterflies (Rhopalocera); Nature and Environment, 99; Council of Europe Publishing: Strasbourg, France, 1999; Available online: https://www.researchgate.net/publication/234022271 (accessed on 1 November 2024).
- García-Barros, E.; Romo, H.; Monteys, V.; Munguira, M.L.; Baixeras, J.; Moreno, A.V.; Yela García, J.L. Clase Insecta. Orden Lepidoptera. Rev. IDE@-SEA 2015, 65, 1–21. [Google Scholar]
- Asociación Zerynthia. Mariposas de España. Listado de Especies de las Mariposas de España. 2023. Available online: https://www.asociacion-zerynthia.org/especies (accessed on 1 April 2025).
- Galante, E. Los Insectos, esos pequeños seres imprescindibles para nuestra vida. In Bases Técnicas para la Conservación de los Lepidópteros Amenazados en España; Jubete, F., Barea-Azcón, J.M., Escobés, R., Galante, E., Gómez-Calmaestra, R., Manceñido, D.C., Monasterio, Y., Mora, A., Munguira, M.L., Stefanescu, C., et al., Eds.; Asociación de Naturalistas Palentinos: Palencia, Spain, 2019; pp. 15–25. [Google Scholar]
- Cardoso, P.; Barton, P.H.S.; Birkhofer, K.; Chichorro, F.; Deacon, C.H.; Fartmann, T.H.; Fukushima, C.S.; Gaigher, R.; Habel, J.C.; Hallmann, C.A.; et al. Scientists’ warning to humanity on insect extinctions. Biol. Conserv. 2020, 242, 108426. [Google Scholar] [CrossRef]
- Raven, P.H.; Wagner, D.L. Agricultural intensification and climate change are rapidly decreasing insect diversity. Proc. Natl. Acad. Sci. USA 2020, 11, e2002548117. [Google Scholar] [CrossRef]
- Köthe, S.; Bakanov, N.; Brühl, C.A.; Eichler, L.; Fickel, T.; Gemeinholzer, B.; Hörren, T.; Jurewicz, A.; Lux, A.; Meinel, G.; et al. Recommendations for effective insect conservation in nature protected areas based on a transdisciplinary project in Germany. Environ. Sci. Eur. 2023, 35, 102. [Google Scholar] [CrossRef]
- Parmesan, C.; Ryrholm, N.; Stefanescu, C.; Hill, J.K.; Thomas, C.D.; Descimon, H.; Huntley, B.R.; Kaila, L.; Kullberg, J.; Tammaru, T.; et al. Poleward shifts in geographical ranges of butterfly species associated with regional warming. Nature 1999, 399, 579–583. [Google Scholar] [CrossRef]
- Wilson, R.J.; Gutiérrez, D.; Gutiérrez, J.; Monserrat, V.J. An elevational shift in butterfly species richness and composition accompanying recent climate change. Glob. Change Biol. 2007, 13, 1873–1887. [Google Scholar] [CrossRef]
- Settele, J.; Kudrna, O.; Harpke, A.; Kühn, I.; Van Swaay, C.; Verovnik, R.; Warren, M.; Wiemers, M.; Hanspach, J.; Hickler, T.H.; et al. Climatic Risk Atlas of European Butterflies; Pensift Publishers: Sofia, Bulgaria, 2008; 172p. [Google Scholar] [CrossRef]
- Devictor, V.; Van Swaay, C.; Brereton, T.; Brotons, L.; Chamberlain, D.; Heliölä, J.; Herrando, S.; Julliard, R.; Kuussaari, M.; Lindström, Å.; et al. Differences in the climate debts of birds and butterflies at a continental scale. Nat. Clim. Change 2012, 2, 121–124. [Google Scholar] [CrossRef]
- Rödder, D.; Schmitt, T.H.; Gross, P.; Ulrich, W.; Habel, J.C. Climate change drives mountain butterfies towards the summits. Sci. Rep. 2021, 11, 14382. [Google Scholar] [CrossRef]
- Dades Climatològiques de Ibi Torretes/Font Roja, Avamet, Asociación Valenciana de Meteorología. 2023. Available online: https://www.avamet.org/mx-clima.php?id=c27m079e09&var=resum# (accessed on 10 November 2024).
- Ríos, S.; Martínez-Francés, V.; Eslava, A.; Poyatos, R. Guía de la Estación Biológica. Jardín Botánico de Torretes; Editorial Publicaciones de la Universidad de Alicante: San Vicente del Raspeig, Alicante, Spain, 2021; 61p. [Google Scholar]
- Pollard, E.; Yates, T.J. Monitoring Butterflies for Ecology and Conservation: The British Butterfly Monitoring Scheme; Editorial Springer Science & Business Media: Berlin/Heidelberg, Germany, 1993; 274p. [Google Scholar]
- Chao, A.; Jost, L. Coverage-based rarefaction and extrapolation: Standardizing samples by completeness rather than size. Ecology 2012, 93, 2533–2547. [Google Scholar] [CrossRef]
- Jost, L.; González-Oreja, A. Midiendo la diversidad biológica: Más allá del índice de Shannon. Acta Zool. Lilloana 2012, 56, 3–14. [Google Scholar]
- Cumming, G.; Fidler, F.; Vaux, D.L. Error bars in experimental biology. J. Cell Biol. 2007, 177, 7–11. [Google Scholar] [CrossRef]
- Chao, A.; Gotelli, N.J.; Hsieh, T.C.; Sander, E.L.; Ma, K.H.; Colwell, R.K.; Ellison, A.M. Rarefaction and extrapolation with Hill numbers: A framework for sampling and estimation in species diversity studies. Ecol. Monogr. 2014, 84, 45–67. [Google Scholar] [CrossRef]
- Chao, A.; Ma, K.H.; Hsieh, T.C. iNEXT Online: Software for Interpolation and Extrapolation of Species Diversity. Program and User’s Guide Published. 2016. Available online: http://chao.stat.nthu.edu.tw/wordpress/software_download/inextonline/ (accessed on 10 October 2024).
- Bray, J.R.; Curtis, J.T. An Ordination of the Upland Forest Communities of Southern Wisconsin. Ecol. Monogr. 1957, 27, 325–349. [Google Scholar] [CrossRef]
- Clarke, K.R.; Gorley, R.N. PRIMER v7; PRIMER-E: Plymouth’. UK, 2015. Available online: https://www.primer-e.com/our-software/primer-version-7/ (accessed on 10 October 2024).
- Castaño, F.; Galante, E. Mariposas diurnas (Lepidoptera) de la Estación Biológica de Torretes (Ibi, Alicante). Cuad. De Biodivers. 2018, 55, 41–53. [Google Scholar] [CrossRef]
- Robert, J.H.; Escarré, A.; García, T.; Martínez, P. Fauna Alicantina IV. Lepidópteros Ropalóceros, sus Plantas Nutricias y su Distribución Geográfica en la Provincia de Alicante; Editorial Instituto de Estudios Alicantinos: Alicante, Spain, 1983; 435p. [Google Scholar]
- Viejo, J.L.; Llorente, J.J.; Martín, J.; Sánchez, C. Patrones de distribución de las mariposas de Alicante (Lepidoptera, Papilionoidea y Hesperoidea). Ecología 1994, 8, 453–458. [Google Scholar]
- Montagud, S.; García-Alamá, J.A. Mariposas Diurnas de la Comunidad Valenciana (Papilionoidea & Hesperoidea); Colección Biodiversidad 17; Conselleria de Medio Ambient, Aigua, Urbanismei Habotatge, Generalitat Valenciana: Valencia, Spain, 2010; 472p. [Google Scholar]
- García-Barros, E.; Munguira, M.L.; Martín Cano, J.; Romo Benito, H.; Garcia-Pereira, P.; Maravalhas, S. Atlas de las Mariposas Diurnas de la Península Ibérica e Islas Baleares (Lepidoptera: Papilionoidea & Hesperioidea) Atlas of the Butterflies of the Iberian Peninsula and Balearic Islands (Lepidoptera: Papilionoidea & Hesperioidea); MONOGRAFÍAS SEA 11; Sociedad Entomológica Aragonesa (SEA): Zaragoza, Spain, 2004; 231p. [Google Scholar]
- Atauri, J.A.; De Lucio, J.V. The role of landscape structure in species richness distribution of birds, amphibians, reptiles and lepidopterans in Mediterranean landscapes. Landsc. Ecol. 2001, 16, 147–159. [Google Scholar] [CrossRef]
- Curtis, R.J.; Brereton, T.M.; Dennis, R.L.H.; Carbone, C.; Isaac, N.J.B. Butterfly abundance is determined by food availability and is mediated by species traits. J. Appl. Ecol. 2015, 52, 1676–1684. [Google Scholar] [CrossRef]
- Wix, N.; Reich, M.; Schaarschmidt, F. Butterfly richness and abundance in flower strips and field margins: The role of local habitat quality and landscape context. Heliyon 2019, 5, e01636. [Google Scholar] [CrossRef]
- Clench, H.K. Behavioral Thermoregulation in Butterflies. Ecology 1966, 47, 1021–1034. [Google Scholar] [CrossRef]
- Barranco, M.N. Factores que Influyen en la Diversidad y Distribución de Lepidópteros en el Parque Estatal Flor del Bosque, Puebla, México. Ph.D. Thesis, División de Ciencias Ambientales del Instituto Potosino de Investigación Científica y Tecnológica, Instituto Potosino de Investigación Científica y Tecnológica A.C., San Luis Potosí, México, 2016; 96p. [Google Scholar]
- Bellmann, H. Guía de las Mariposas de Europa; Editorial Omega: Barcelona, Spain, 2017; 448p. [Google Scholar]
- Niell, L.E. Effects of Environmental Factors on Butterfly Species in an Urban Setting. Ph.D. Thesis, University of Nevada, Reno, NV, USA, 2007; 46p. [Google Scholar]
- Wiklund, C.; Persson, A. Fecundity and the relation of egg weight variation to offspring fitness in the speckled wood butterfly Pararge aegeria, or why don’t butterfly females lay more eggs? Oikos 1983, 40, 53–63. [Google Scholar] [CrossRef]
- Merckx, T.; Van Dyck, H. Mate location behaviour of the butterfly Pararge aegeria in woodland and fragmented landscapes. Anim. Behav. 2005, 70, 411–416. [Google Scholar] [CrossRef]
- González, F. Mariposas Diurnas del Parque Regional de Sierra Espuña; Editorial Consejería de Desarrollo Sostenible y Ordenación del Territorio: Málaga, Spain, 2008; 228p. [Google Scholar]
- Moreno-Benítez, J.M. Mariposas Diurnas de la Gran Senda de Málaga|Fichas Descriptivas; Editorial Diputación de Málaga/Equipo Gran Senda de Málaga: Málaga, Spain, 2017; 11p. [Google Scholar]
- Pérez, J.L.; Zeledón, F.O. Diversidad de Lepidópteros Diurnos: Papilionidae, Pieridae y Nymphalidae en 11 Hábitats de la Zona Núcleo de la Reserva Natural El Tisey, Estelí, Nicaragua, 2013. Bachelor Thesis, Universidad Nacional Agraria, Managua, Nicaragua, 2014; 88p. [Google Scholar]
- Samu, F.; Szabóky, C.; Hováth, N.D.; Tóth, M. Traits in Lepidoptera assemblages are differently influenced by local and landscape scale factors in farmland habitats islands. Community Ecol. 2016, 17, 28–39. [Google Scholar] [CrossRef][Green Version]
- Dennis, R.L.H. A Resource-Based Habitat View for Conservation: Butterflies in the British Landscape; Wiley-Blackwell: Chichester, UK, 2010; 420p. [Google Scholar]
- Thomas, J.A.; Simcox, D.J.; Hovestadt, T. Evidence based conservation of butterflies. J. Insect. Conserv. 2011, 15, 41–258. [Google Scholar] [CrossRef]
- Cantó, J.L.; Acosta, J.A.; Sanchís, M.J. Mariposas diurnas del Carrascal de la Font Roja (Papilionoidea y Heperoidea). Iberis 2017, 9, 27–30. [Google Scholar]




| Family | Species | Abundance |
|---|---|---|
| Hesperiidae | Carcharodus alceae (Esper, 1780) | 1 |
| Erynnis tages (Linnaeus, 1758) | 1 | |
| Muschampia proto (Ochsenheimer, 1808) | 4 | |
| Lycaenidae | Aricia cramera (Eschscholtz, 1821) | 7 |
| Callophrys rubi (Linnaeus, 1758) | 54 | |
| Celastrina argiolus (Linnaeus, 1758) | 2 | |
| Glaucopsyche alexis (Poda, 1761) | 4 | |
| Glaucopsyche melanops (Boisduval 1828) | 8 | |
| Lampides boeticus (Linnaeus, 1767) | 65 | |
| Leptotes pirithous (Linnaeus, 1767) | 82 | |
| Lycaena phlaeas (Linnaeus, 1761) | 1 | |
| Polyommatus bellargus (Rottemburg, 1775) | 3 | |
| Polyommatus icarus (Rottemburg, 1775) | 2 | |
| Pseudophilotes panoptes (Hübner, 1813) | 24 | |
| Satyrium spini (Denis y Schiffermüller, 1775) | 2 | |
| Nymphalidae | Hipparchia fidia (Linnaeus, 1767) | 7 |
| Hipparchia semele (Linnaeus, 1758) | 3 | |
| Hipparchia statilinus (Hufnagel, 1766) | 3 | |
| Lasiommata maera (Linnaeus, 1758) | 8 | |
| Lasiommata megera (Linnaeus, 1767) | 83 | |
| Maniola jurtina (Linnaeus, 1758) | 2 | |
| Melanargia ines (Hoffmannsegg, 1804) | 4 | |
| Melanargia occitanica (Esper, 1793) | 1 | |
| Melitaea deione (Geyer, 1832) | 6 | |
| Melitaea phoebe (Denis y Schiffermüller, 1775) | 27 | |
| Nymphalis polychloros (Linnaeus, 1758) | 3 | |
| Pararge aegeria (Linnaeus, 1758) | 73 | |
| Pyronia bathseba (Fabricius, 1793) | 70 | |
| Vanessa atalanta (Linnaeus, 1758) | 1 | |
| Vanessa cardui (Linnaeus, 1758) | 29 | |
| Papilionidae | Iphiclides feisthamelii (Duponchel, 1832) | 11 |
| Papilio machaon Linnaeus, 1758 | 8 | |
| Zerynthia rumina (Linnaeus, 1758) | 1 | |
| Pieridae | Anthocharis euphenoides Staudinger, 1869 | 42 |
| Euchloe crameri (Butler,1869) | 3 | |
| Colias croceus (Geoffroy, 1785) | 55 | |
| Gonepteryx cleopatra (Linnaeus, 1767) | 69 | |
| Leptidea sinapis (Linnaeus, 1758) | 7 | |
| Pieris brassicae (Linnaeus, 1758) | 32 | |
| Pieris mannii (Mayer, 1851) | 8 | |
| Pieris rapae (Linnaeus, 1758) | 16 | |
| * Pieris sp. Schrank, 1801 | 61 | |
| Pontia daplidice (Linnaeus, 1758) | 69 | |
| Total | 962 |
Disclaimer/Publisher’s Note: The statements, opinions and data contained in all publications are solely those of the individual author(s) and contributor(s) and not of MDPI and/or the editor(s). MDPI and/or the editor(s) disclaim responsibility for any injury to people or property resulting from any ideas, methods, instructions or products referred to in the content. |
© 2025 by the authors. Licensee MDPI, Basel, Switzerland. This article is an open access article distributed under the terms and conditions of the Creative Commons Attribution (CC BY) license (https://creativecommons.org/licenses/by/4.0/).
Share and Cite
Quinto, J.; Espín, E.; Galante, E. Management Diversification Increases Habitat Availability for Lepidoptera Papilionoidea in the Torretes Biological Station (Spain). Insects 2025, 16, 683. https://doi.org/10.3390/insects16070683
Quinto J, Espín E, Galante E. Management Diversification Increases Habitat Availability for Lepidoptera Papilionoidea in the Torretes Biological Station (Spain). Insects. 2025; 16(7):683. https://doi.org/10.3390/insects16070683
Chicago/Turabian StyleQuinto, Javier, Elena Espín, and Eduardo Galante. 2025. "Management Diversification Increases Habitat Availability for Lepidoptera Papilionoidea in the Torretes Biological Station (Spain)" Insects 16, no. 7: 683. https://doi.org/10.3390/insects16070683
APA StyleQuinto, J., Espín, E., & Galante, E. (2025). Management Diversification Increases Habitat Availability for Lepidoptera Papilionoidea in the Torretes Biological Station (Spain). Insects, 16(7), 683. https://doi.org/10.3390/insects16070683

