Economic Benefits from the Use of Mass Trapping in the Management of Diamondback Moth, Plutella xylostella, in Central America
Abstract
:Simple Summary
Abstract
1. Introduction
2. Materials and Methods
2.1. Crop Cycle I
2.2. Crop Cycle II
2.3. Crop Cycle III
2.4. Crop Cycle IV
2.5. Analysis
3. Results
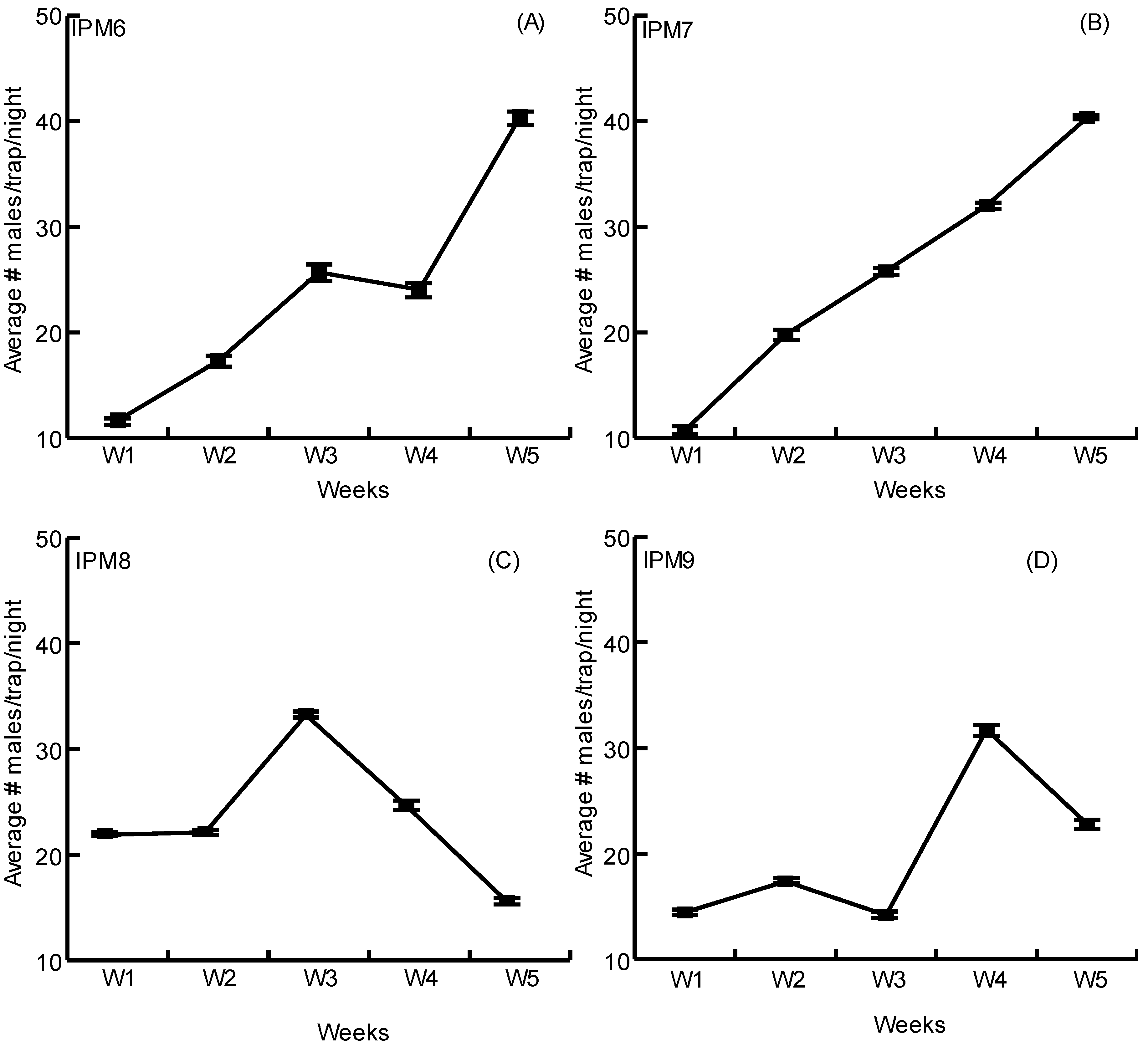
3.1. DBM Captures
3.2. Cabbage Damage Evaluation
3.3. Economic Analysis
4. Discussion
Supplementary Materials
Author Contributions
Funding
Data Availability Statement
Acknowledgments
Conflicts of Interest
References
- Food and Agriculture Organization of the United Nations FAOSTAT Statistical Database. Available online: https://www.fao.org/faostat/en/ (accessed on 1 October 2022).
- Talekar, N.S.; Shelton, A.M. Biology, ecology, and management of the Diamondback Moth. Annu. Rev. Entomol. 1993, 38, 275–301. [Google Scholar] [CrossRef]
- Zalucki, M.P.; Shabbir, A.; Silva, R.; Adamson, D.; Shu-Sheng, L.; Furlong, M.J. Estimating the economic cost of one of the world’s major insect pests, Plutella xylostella (Lepidoptera: Plutellidae): Just how long is a piece of string? J. Econ. Entomol. 2012, 105, 1115–1129. [Google Scholar] [CrossRef] [PubMed]
- Li, Z.; Feng, X.; Liu, S.-S.; You, M.; Furlong, M.J. Biology, ecology, and management of the Diamondback Moth in China. Annu. Rev. Entomol. 2016, 61, 277–296. [Google Scholar] [CrossRef]
- Zhou, H.; Lei, G.; Chen, Y.; You, M.; You, S. PxTret1-like affects the temperature adaptability of a cosmopolitan pest by altering trehalose tissue distribution. Int. J. Mol. Sci. 2022, 23, 9019. [Google Scholar] [CrossRef]
- Perez, C.J.; Shelton, A.M. Resistance of Plutella xylostella (Lepidoptera: Plutellidae) to Bacillus Thuringiensis Berliner in Central America. J. Econ. Entomol. 1997, 90, 87–93. [Google Scholar] [CrossRef]
- Sarfraz, M.; Keddie, B.A. Conserving the efficacy of insecticides against Plutella xylostella (L.) (Lep., Plutellidae). J. Entomol. Nematol. 2005, 129, 149–157. [Google Scholar] [CrossRef]
- Banazeer, A.; Afzal, M.B.S.; Hassan, S.; Ijaz, M.; Shad, S.A.; Serrão, J.E. Status of insecticide resistance in Plutella xylostella (Linnaeus) (Lepidoptera: Plutellidae) from 1997 to 2019: Cross-resistance, genetics, biological costs, underlying mechanisms, and implications for management. Phytoparasitica 2022, 50, 465–485. [Google Scholar] [CrossRef]
- Agboyi, L.K.; Ketoh, G.K.; Martin, T.; Glitho, I.A.; Tamò, M. Pesticide resistance in Plutella xylostella (Lepidoptera: Plutellidae) populations from Togo and Benin. Int. J. Trop. Insect. Sci. 2016, 36, 204–210. [Google Scholar] [CrossRef]
- Jiang, H.; Wenjun, W.U. Advance of studies on insecticide resistance to Diamondback Moth (Plutella xylostella L.). J. Guizhou Univ. Nat. Sci. 2003, 20, 97–104. [Google Scholar]
- Hama, H. Insecticide resistance of Diamondback Moth, Plutella xylostella in Japan. Japan Agric. Res. Quarter. 1990, 24, 23–30. [Google Scholar]
- Li, Z.; Furlong, M.J.; Yonow, T.; Kriticos, D.J.; Bao, H.; Yin, F.; Lin, Q.; Feng, X.; Zalucki, M.P. Management and population dynamics of Diamondback Moth (Plutella xylostella): Planting regimes, crop hygiene, biological control and timing of interventions. Bull. Entomol. Res. 2019, 109, 257–265. [Google Scholar] [CrossRef] [PubMed]
- Pérez, C.J.; Alvarado, P.; Narváez, C.; Miranda, F.; Hernández, L.; Vanegas, H.; Hruska, A.; Shelton, A.M. Assessment of insecticide resistance in five insect pests attacking field and vegetable crops in Nicaragua. J. Econ. Entomol. 2000, 93, 1779–1787. [Google Scholar] [CrossRef] [PubMed]
- Araya, L.; Monge, L.; Carazo, E.; Cartín, V. Diagnóstico del uso de insecticidas para el combate de Plutella xylostella en Costa Rica. Manejo Integrado de Plagas 1999, 52, 49–61. [Google Scholar]
- Nunez-Chacon, M. Un 65% de Los Alimentos Que se Consumen en el País Contiene Residuos de Agroquímicos. Available online: https://semanariouniversidad.com/pais/un-65-de-los-alimentos-que-se-consumen-en-el-pais-contiene-residuos-de-agroquimicos (accessed on 1 October 2022).
- Machekano, H.; Mvumi, B.; Nyamukondiwa, C. Diamondback Moth, Plutella xylostella (L.) in Southern Africa: Research trends, challenges and insights on sustainable management options. Sustainability 2017, 9, 91. [Google Scholar] [CrossRef]
- Shakeel, M.; Farooq, M.; Nasim, W.; Akram, W.; Khan, F.Z.A.; Jaleel, W.; Zhu, X.; Yin, H.; Li, S.; Fahad, S.; et al. Environment polluting conventional chemical control compared to an environmentally friendly IPM approach for control of Diamondback Moth, Plutella xylostella (L.), in China: A Review. Environ. Sci. Pol. Res. 2017, 24, 14537–14550. [Google Scholar] [CrossRef]
- Baur, M.E.; Kaya, H.K.; Thurston, G.S. Factors affecting entomopathogenic nematode infection of Plutella xylostella on a leaf surface. Entomol. Exp. Appl. 1995, 77, 239–250. [Google Scholar] [CrossRef]
- Schuster, D.J.; Workman, R.B.; Chalfant, R.B. Evaluation of a visual damage threshold for management of Lepidopterous larvae on cabbage with pyrethroid insecticides. J. Agric. Entomol. 1984, 1, 318–322. [Google Scholar]
- Reddy, G.V. Comparative effect of integrated pest management and farmers standard pest control practice for managing insect pests on cabbage (Brassica Spp.). Pest. Manag. Sci. 2011, 67, 980–985. [Google Scholar] [CrossRef]
- Reddy, G.V.; Guerrero, A. Pheromone-based integrated pest management to control the Diamondback Moth Plutella xylostella in cabbage fields. Pest. Manag. Sci. 2000, 56, 882–888. [Google Scholar] [CrossRef]
- Macharia, I.; Löhr, B.; de Groote, H. Assessing the potential impact of biological control of Plutella xylostella (Diamondback Moth) in cabbage production in Kenya. J. Crop. Prot. 2005, 24, 981–989. [Google Scholar] [CrossRef]
- Reddy, G.; Urs, K. Mass trapping of Diamondback Moth Plutella xylostella in cabbage fields using synthetic pheromones. IPC 1997, 39, 125–126. [Google Scholar]
- Reddy, G.; Guerrero, A. Optimum timing of insecticide applications against Diamondback Moth Plutella xylostella in cole crops using threshold catches in sex pheromone traps. Pest Manag. Sci. 2001, 57, 90–94. [Google Scholar] [CrossRef] [PubMed]
- Topagi, S.C.; Bhanu, K.R.M.; Kumar, C.T.A. Mass trapping technique using pheromones: A standalone method for management of Diamondback Moth, Plutella xylostella (Linnaeus) (Plutellidae: Lepidoptera) in cabbage. Int. J. App. Sci. Eng. 2018, 15, 211–232. [Google Scholar] [CrossRef]
- Lohr, B.; Kfir, R. Diamondback Moth Plutella xylostella (L.) in Africa: A review with emphasis on biological control. In Proceedings of the International Symposium Improving Biocontrol of Plutella Xylostella, Montpellier, France, 21–24 October 2002; Kirk, A., Bordat, D., Eds.; CIRAD: Osaka, Japan, 2004; pp. 71–83. [Google Scholar]
- Morallo-Rejesus, B.; Inocencio, E.L.; Eusebio, J.E. Comparative effectiveness of IPM-DBM technology versus farmers’ control practice for Diamondback Moth, Plutella xylostella (L.) Control. Philippine Entomol. 1996, 10, 57–65. [Google Scholar]
- Tibugari, H.; Jowah, P.; Mandumbu, R.; Karavina, C. Tackling Diamondback Moth Plutella xylostella (L.) resistance: A review on the current research on vegetable integrated pest management in Zimbabwe. Arch. Phytopathol. Pflanzenschutz 2012, 45, 2445–2453. [Google Scholar] [CrossRef]
- Furlong, M.J.; Wright, D.J.; Dosdall, L.M. Diamondback Moth ecology and management: Problems, progress, and prospects. Annu. Rev. Entomol. 2013, 58, 517–541. [Google Scholar] [CrossRef] [PubMed]
- Furlong, M.J.; Zu-Hua, S.; Yin-Quan, L.; Shi-Jian, G.; Yao-Bin, L.; Shu-Sheng, L.; Zalucki, M.P. Experimental analysis of the influence of pest management practice on the efficacy of an endemic arthropod natural enemy complex of the Diamondback Moth. J. Econ. Entomol. 2004, 97, 1814–1827. [Google Scholar] [CrossRef]
- González-Fuentes, F.; Narváez-Niño, S.; Rodríguez-Chinchilla, C.; Vargas-Martínez, A.; González-Herrera, A. Trampeo masivo de Plutella xylostella: Una alternativa ambiental y económicamente beneficiosa para su control en Costa Rica. Revista Bionatura 2023, 8, 6. [Google Scholar]
- Salazar-Blanco, J.D.; Cadet-Piedra, E.; González-Fuentes, F. Monitoreo de Spodoptera Spp. en caña de azúcar: Uso de trampas con feromonas sexuales. Agron. Mesoam. 2020, 31, 445–459. [Google Scholar] [CrossRef]
- Hasheela, E.B.S.; Nderitu, J.H.; Olubayo, F.M.; Kasina, M. Evaluation of border crops against infestation and damage of cabbage by Diamondback Moth (Plutella xylostella). Tunis. J. Plant Prot. 2010, 5, 99–105. [Google Scholar]
- Asociación de Productores y Exportadores de Nicaragua. Información de Precios de Mercado. Available online: https://apen.org.ni/informacion-de-precios-de-mercados/ (accessed on 1 October 2022).
- Programa Integral de Mercadeo Agropecuario. Boletín de Precios del Mayorista al Minorista. Available online: https://pima.go.cr/wp-content/uploads/2020/05/SIMM_BOLETIN_PRECIOS_20200501.pdf (accessed on 1 October 2022).
- Sternlicht, M.; Barzakay, I.; Tamim, M. Management of Prays citri in lemon orchards by mass trapping of males. Entomol. Exp. Appl. 1990, 55, 59–67. [Google Scholar] [CrossRef]
- Larraín, P.; Guillon, M.; Kalazich, J.; Graña, F.; Vásquez, C. Effect of pheromone trap density on mass trapping of male potato tuber moth Phthorimaea operculella (Zeller)(Lepidoptera: Gelechiidae), and level of damage on potato tubers. Chil. J. Agric. Res. 2009, 69, 281–285. [Google Scholar] [CrossRef]
- Lobos, E.; Occhionero, M.; Werenitzky, D.; Fernandez, J.; Gonzalez, L.M.; Rodríguez, C.; Calvo, C.; López, G.; Oelshchlager, A.C. Optimization of a trap for Tuta absoluta Meyrick (Lepidoptera: Gelechiidae) and trials to determine the effectiveness of mass trapping. Neotrop Entomol. 2013, 42, 448–457. [Google Scholar] [CrossRef] [PubMed]



| Cycle | Plot Code | Size (ha) | Location | DBM Management | Number of Monitoring Traps | Number of Traps for Mass Trapping |
|---|---|---|---|---|---|---|
| I | IPM1 | 0.5 | Pacayas, Costa Rica | Mass trapping + ad libitum insecticide sprays | 20 | 30 |
| FCP1 | 0.5 | Pacayas, Costa Rica | Calendarized insecticide sprays (10 per cycle) | - | - | |
| II | IPM2 | 0.8 | Cipreses, Costa Rica | Mass trapping + ad libitum insecticide sprays | 20 | 48 |
| FCP2 * | 1 | Cipreses, Costa Rica | Calendarized insecticide sprays (10 per cycle) | - | - | |
| III | IPM3 | 0.7 | Capellades, Costa Rica | Mass trapping + ad libitum insecticide sprays | 6 | 42 |
| FCP3 | 0.3 | Capellades, Costa Rica | Calendarized insecticide sprays (10 per cycle) | 3 | - | |
| IPM4 | 0.7 | Capellades, Costa Rica | Mass trapping + ad libitum insecticide sprays | 6 | 42 | |
| FCP4 | 0.7 | Capellades, Costa Rica | Calendarized insecticide sprays (10 per cycle) | 6 | - | |
| IPM5 | 0.4 | Pacayas, Costa Rica | Mass trapping + ad libitum insecticide sprays | 6 | 23 | |
| FCP5 | 0.3 | Pacayas, Costa Rica | Calendarized insecticide sprays (10 per cycle) | 3 | - | |
| IV | IPM6 | 0.7 | Jinotega, Nicaragua | Mass trapping + ad libitum insecticide sprays | 20 | 30 |
| IPM7 | 0.7 | Jinotega, Nicaragua | Mass trapping + ad libitum insecticide sprays | 20 | 30 | |
| IPM8 | 0.7 | Estelí, Nicaragua | Mass trapping + ad libitum insecticide sprays | 20 | 30 | |
| IPM9 | 0.7 | Estelí, Nicaragua | Mass trapping + ad libitum insecticide sprays | 20 | 30 | |
| FCP6 * | 1 | Jinotega & Estelí, Nicaragua | Calendarized insecticide sprays (36 per cycle) | - | - |
| Score | Description |
|---|---|
| 1 | No damage, few holes in outer or lower leaves |
| 2 | Many holes but limited to outer or lower leaves |
| 3 | Considerable damage in outer or lower leaves with some damage to head, marketable after removal of damaged leaves |
| 4 | Outer or lower leaves destroyed, considerable head damage, marketable after significant removal of damaged leaves |
| 5 | Severe attack of the head leading to unmarketable product |
| Plot Code | Cost per Insecticide Application (USD) | Number of Insecticide Applications | Total Cost of Insecticide Applications (USD, incl. Labor, Machinery, Insecticide Cost) | Total Cost of Mass Trapping (USD, incl. Pheromone, Traps, Labor) | Total Cost in DBM Management (USD) |
|---|---|---|---|---|---|
| IPM1 | 80 | 7 | 560 | 142 | 702 |
| FCP1 | 80 | 10 | 800 | 0 | 800 |
| IPM2 | 80 | 7 | 560 | 230 | 790 |
| FCP2 * | 80 | 10 | 800 | 0 | 800 |
| IPM3 | 208 | 5 | 1039 | 64 | 1103 |
| FCP3 | 128 | 10 | 1280 | 0 | 1280 |
| IPM4 | 341 | 7 | 2387 | 128 | 2515 |
| FCP4 | 305 | 10 | 3054 | 0 | 3054 |
| IPM5 | 113 | 9 | 1022 | 66 | 1088 |
| FCP5 | 109 | 10 | 1090 | 0 | 1090 |
| IPM6-IPM9 | 50 | 13 | 650 | 200 | 850 |
| FCP6 * | 35 | 36 | 1260 | 0 | 1260 |
| Indicator | IPM1 | FCP1 | IPM2 | FCP2 | IPM3 | FCP3 | IPM4 | FCP4 | IPM5 | FCP5 |
|---|---|---|---|---|---|---|---|---|---|---|
| Expected yield (tons/ha) * | 33 | 33 | 33 | 33 | 33 | 33 | 33 | 33 | 33 | 33 |
| Obtained yield (tons/ha) | 28 | 28 | 37 | 30 | 22 | 37 | 44 | 28 | 39 | 38 |
| Gross profit (USD/ha) | 13,720 | 13,720 | 18,208 | 14,700 | 10,927 | 18,228 | 21,560 | 13,720 | 19,355 | 19,012 |
| Net profit (USD/ha) | 12,220 | 12,120 | 17,220 | 13,700 | 9351 | 14,453 | 17,966 | 9357 | 16,422 | 15,019 |
Disclaimer/Publisher’s Note: The statements, opinions and data contained in all publications are solely those of the individual author(s) and contributor(s) and not of MDPI and/or the editor(s). MDPI and/or the editor(s) disclaim responsibility for any injury to people or property resulting from any ideas, methods, instructions or products referred to in the content. |
© 2023 by the authors. Licensee MDPI, Basel, Switzerland. This article is an open access article distributed under the terms and conditions of the Creative Commons Attribution (CC BY) license (https://creativecommons.org/licenses/by/4.0/).
Share and Cite
Gonzalez, F.; Rodríguez, C.; Oehlschlager, C. Economic Benefits from the Use of Mass Trapping in the Management of Diamondback Moth, Plutella xylostella, in Central America. Insects 2023, 14, 149. https://doi.org/10.3390/insects14020149
Gonzalez F, Rodríguez C, Oehlschlager C. Economic Benefits from the Use of Mass Trapping in the Management of Diamondback Moth, Plutella xylostella, in Central America. Insects. 2023; 14(2):149. https://doi.org/10.3390/insects14020149
Chicago/Turabian StyleGonzalez, Francisco, Carlos Rodríguez, and Cam Oehlschlager. 2023. "Economic Benefits from the Use of Mass Trapping in the Management of Diamondback Moth, Plutella xylostella, in Central America" Insects 14, no. 2: 149. https://doi.org/10.3390/insects14020149
APA StyleGonzalez, F., Rodríguez, C., & Oehlschlager, C. (2023). Economic Benefits from the Use of Mass Trapping in the Management of Diamondback Moth, Plutella xylostella, in Central America. Insects, 14(2), 149. https://doi.org/10.3390/insects14020149

