Can CMB Surveys Help the AGN Community?
Abstract
:1. Introduction
2. Some Methods and Properties of CMB Experiments
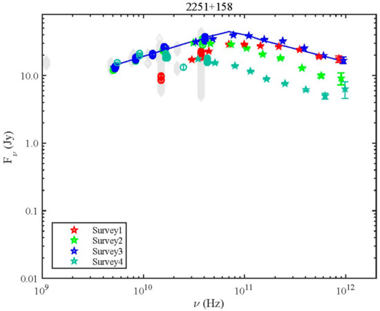
3. What Do Such Source Lists Offer?
4. Polarization
Author Contributions
Conflicts of Interest
References
- Planck Collaboration; Ade, P.A.R.; Aghanim, N.; Arnaud, M.; Ashdown, M.; Aumont, J.; Baccigalupi, C.; Banday, A.J.; Barreiro, R.B.; Bartlett, J.G.; et al. Planck Collaboration XIII. Planck 2015 Results. XIII. Cosmological Parameters. arXiv, 2016; arXiv:1502.01589arXiv:1502.01589. [Google Scholar]
- Louis, T.; Addison, G.E. The Atacama Cosmology Telescope: Cross correlation with Planck maps. J. Cosmol. Astropart. Phys. 2014, 7, 16–29. [Google Scholar] [CrossRef]
- Gralla, M.; ACT Team. The Atacama Cosmology Telescope: DSFGs and AGN in the equatorial survey. 2017; in preparation. [Google Scholar]
- Planck Collaboration; Ade, P.A.R.; Aghanim, N.; Argüeso, F.; Arnaud, M.; Ashdown, M.; Aumont, J.; Baccigalupi, C.; Banday, A.J.; Barreiro, R.B.; et al. Planck Collaboration XXVI. Planck 2015 Results. XXVI. The Second Planck Catalogue of Compact Sources. arXiv, 2016; arXiv:1507.02058arXiv:1507.02058. [Google Scholar]
- Herranz, D.; Planck Team. The Planck multi-frequency catalogue of non-thermal sources. 2017; in preparation. [Google Scholar]
- Mocanu, L.M.; Crawford, T.M.; Vieira, J.D.; Aird, K.A.; Aravena, M.; Austermann, J.E.; Benson, B.A.; Béthermin, M.; Bleem, L.E.; Bothwell, M.; et al. Extragalactic Millimeter-wave Point Source Catalog number counts and statistics from 771 deg2 of the spt-sz survey. Astrophys. J. 2013, 779, 61–82. [Google Scholar] [CrossRef]
- Planck Collaboration; Aatrokoski, J.; Ade, P.A.R.; Aghanim, N.; Aller, H.D.; Aller, M.F.; Angelakis, E.; Arnaud, M.; Ashdown, M.; Aumont, J.; et al. Planck Collaboration XV. Planck early results. XV. Spectral energy distributions of extragalactic radio sources. arXiv, 2011; arXiv:1101.2047arXiv:1101.2047. [Google Scholar]
- Chen, X.; Rachen, J.P. Long-term variability of extragalactic radio sources in the Planck Early Release Compact Source Catalogue. arXiv, 2013; arXiv:1302.2114arXiv:1302.2114. [Google Scholar]
- Whitehorn, N.; Natoli, T.; Ade, P.A.R.; Austermann, J.E.; Beall, J.A.; Bender, A.N.; Benson, B.A.; Bleem, L.E.; Carlstrom, J.E.; Chang, C.L.; et al. Millimeter Transient Point Sources in SPTPol 100 Square Degree Survey. Astrophys. J. 2016, 830, 143. [Google Scholar] [CrossRef]
- Datta, R.; the ACT Team. The Atacama Cosmology Telescope: Point Sources and their Polarization. 2017; in preparation. [Google Scholar]
- Bonavera, L.; Gonzalez-Nuevo, J.; Argüeso, F.; Toffolatti, L. Statistics of the fractional polarization of compact radio sources in Planck maps. Mon. Not. Roy. Astron. Soc. 2017, 469, 2401–2411. [Google Scholar] [CrossRef]




| Frequency, GHz | Experiment | Approx. | |
|---|---|---|---|
| Sensitivity | Beam Size | ||
| mJy | arcmin | ||
| 70 | Planck | 450 | 13 |
| 95 | SPT | 2 | 1.7 |
| 100 | Planck | 250 | 9.7 |
| 143 | Planck | 160 | 7.3 |
| 148 | ACT | 1.8 | 1.4 |
| 150 | SPT | 1.2 | 1.2 |
| 217 | Planck | 140 | 5.0 |
| 218 | ACT | 3 | 1.2 |
| 220 | SPT | 4 | 1.0 |
| 353 | Planck | 270 | 4.9 |
© 2017 by the authors. Licensee MDPI, Basel, Switzerland. This article is an open access article distributed under the terms and conditions of the Creative Commons Attribution (CC BY) license (http://creativecommons.org/licenses/by/4.0/).
Share and Cite
Partridge, B.; Bonavera, L.; López-Caniego, M.; Datta, R.; Gonzalez-Nuevo, J.; Gralla, M.; Herranz, D.; Lähteenmäki, A.; Mocanu, L.; Prince, H.; et al. Can CMB Surveys Help the AGN Community? Galaxies 2017, 5, 47. https://doi.org/10.3390/galaxies5030047
Partridge B, Bonavera L, López-Caniego M, Datta R, Gonzalez-Nuevo J, Gralla M, Herranz D, Lähteenmäki A, Mocanu L, Prince H, et al. Can CMB Surveys Help the AGN Community? Galaxies. 2017; 5(3):47. https://doi.org/10.3390/galaxies5030047
Chicago/Turabian StylePartridge, Bruce, Laura Bonavera, Marcos López-Caniego, Rahul Datta, Joaquin Gonzalez-Nuevo, Megan Gralla, Diego Herranz, Anne Lähteenmäki, Laura Mocanu, Heather Prince, and et al. 2017. "Can CMB Surveys Help the AGN Community?" Galaxies 5, no. 3: 47. https://doi.org/10.3390/galaxies5030047
APA StylePartridge, B., Bonavera, L., López-Caniego, M., Datta, R., Gonzalez-Nuevo, J., Gralla, M., Herranz, D., Lähteenmäki, A., Mocanu, L., Prince, H., Vieira, J., Whitehorn, N., & Zhang, L. (2017). Can CMB Surveys Help the AGN Community? Galaxies, 5(3), 47. https://doi.org/10.3390/galaxies5030047

