Quintessential Inflation: A Tale of Emergent and Broken Symmetries
Abstract
1. Introduction
- Inflation: This epoch provides a natural solution to the shortcomings of the hot Big Bang (hBB) model, being able to generate, without finetunings, a flat, homogeneous and isotropic Universe while removing unwanted relics such as monopoles or other topological defects. More importantly, it provides a causal mechanism for the generation of the primordial density perturbations seeding structure formation. These fluctuations are unavoidably created out of the quantum vacuum and stretched out to superhorizon scales, where they become classical. In the simplest realizations, they are also adiabatic, Gaussian and display a nearly scale-invariant spectrum at all observable scales. On top of that, they remain frozen outside the horizon until they reenter it again long after the end of inflation. When doing so, they generate the coherent set of oscillations we observe in the Cosmic Microwave Background (CMB) and seed the large-scale distribution of matter and galaxies in the Universe. Interestingly enough, the results of three decades of observations are remarkably consistent with the simplest incarnation of the inflationary paradigm: a canonical scalar field slowly rolling in a featureless potential and eventually approaching a global minimum, where oscillations are effectively damped by the quanta production of the fields coupled to it.Beyond temperature and density fluctuations, inflation predicts a so-far unobserved background of tensor perturbations displaying also a quasi scale-invariant spectrum. The main signature of this stochastic gravitational wave background is a curl-like pattern in the CMB polarization. These B-modes are the target of several ongoing and forthcoming initiatives, ranging from ground-based experiments to stratospheric balloons and space missions [1]. Its detection would constitute the first test of the quantum nature of spacetime, while providing an indirect window to fundamental physics all the way up to the unification scale.
- Dark energy: The discovery in the late 90’s of the current accelerated expansion of the Universe revolutionized modern cosmology [2,3]. Since then, this result has been indirectly confirmed, among others, by CMB observations [4,5] and large scale structure surveys [6,7,8]. In the context of General Relativity, the simplest mathematical explanation is a non-vanishing cosmological constant leading to a time-independent energy density of order . The inclusion of this everlasting component in a Universe where all other matter species redshift with expansion raises immediately two naturalness issues: (i) why is the cosmological constant so small as compared to all particle physics scales? and (ii) why did it start dominating precisely now? The lack of satisfactory answers to these questions has motivated a plethora of alternative explanations to the present accelerated expansion of the Universe, usually coined under the generic name of dark energy models. Many of these proposals involve a time-dependent (non-homogeneous) scalar field with an evolving equation of state different from that of baryons, neutrinos, dark matter, or radiation. This fifth or quintessential entity is generically designed to mimic, with sufficient accuracy, a de Sitter-like behaviour at the present cosmological epoch, in full analogy with the inflationary stage but at an energy scale many orders of magnitude lower. Interestingly enough, some quintessence scenarios involve appealing scaling solutions in which the dark energy density remains comparable to the dominant radiation and matter components for an extended period of time, eventually jumping out of this behaviour to drive the late-time acceleration. Provided that the event triggering this transition does not involve any additional tuning of times or scales, this alleviates the aforementioned “why now" problem.
2. Cosmological Evolution
2.1. Inflation
2.2. Kination
2.3. Heating
- Specific cases:
- In this scenario, the production of particles is purely associated to the expansion of the Universe, being essentially triggered by any rapid change in the Ricci scalar R [65,93,108]. This mechanism applies therefore to non-conformally coupled scalar fields only (), since the evolution equations of gauge bosons and chiral fermions in a conformally flat geometry are invariant under Weyl rescalings.For a light scalar field () in kinetic domination, the effective frequency in Equation (37) takes the formwith the condition in the last expression ensuring that is positive definite for all , such that the particle production is only due to adiabaticity violation and the Bogoliubov formalism presented above can be straightforwardly applied. The case with is analyzed in detail in Section 5.2.During a Hubble time in kinetic domination, the variation of the (relativistic) energy density per spectator field is of the order , with an efficiency parameter potentially depending on the non-minimal coupling [12,93] and typically much smaller that one. In consequence, the production of particles is only efficient during the first stages of kination [39], leading to a relatively small heating efficiency [39]with the number of light scalar degrees of freedom. Despite being quite natural, this gravitational heating mechanism suffers from several drawbacks. In particular, its low efficiency gives rise generically to a long-lasting period of kination, which makes difficult to satisfy the GW bound (27) unless a large number of species is introduced, . However, this solution can lead to the generation of sizeable isocurvature perturbations or secondary periods of inflation [97]. Another related possibility is to consider conformally-coupled particles with heavy masses, eventually decaying into lighter ones to recover the hBB era [109,110,111].
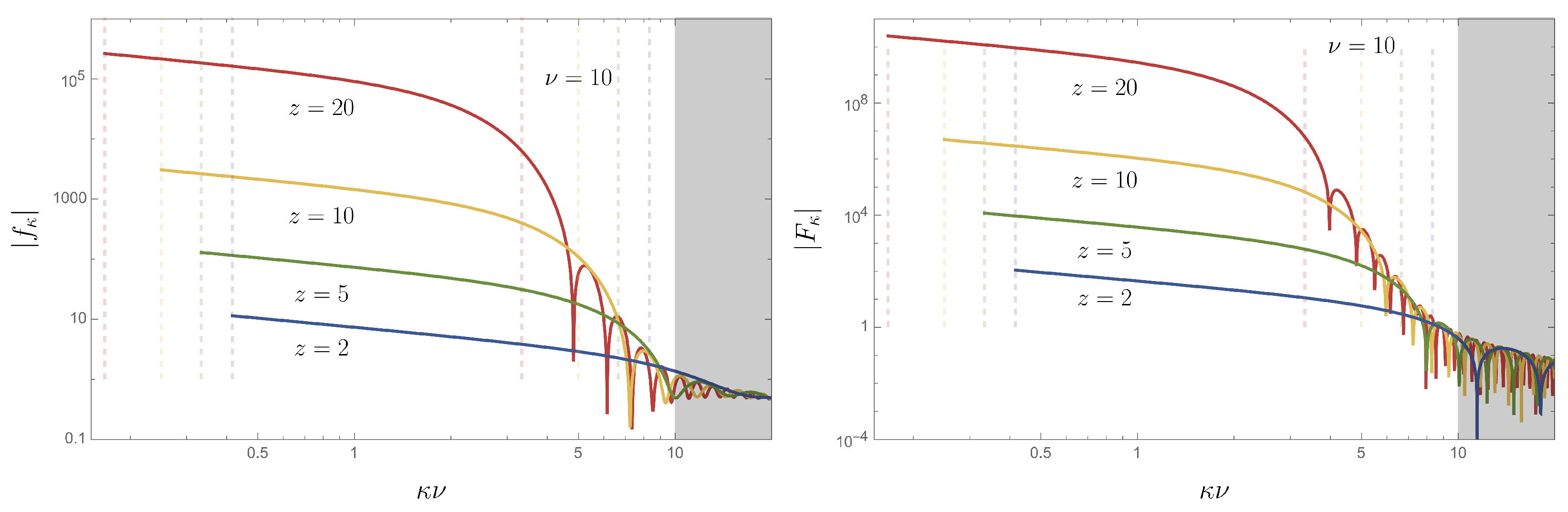
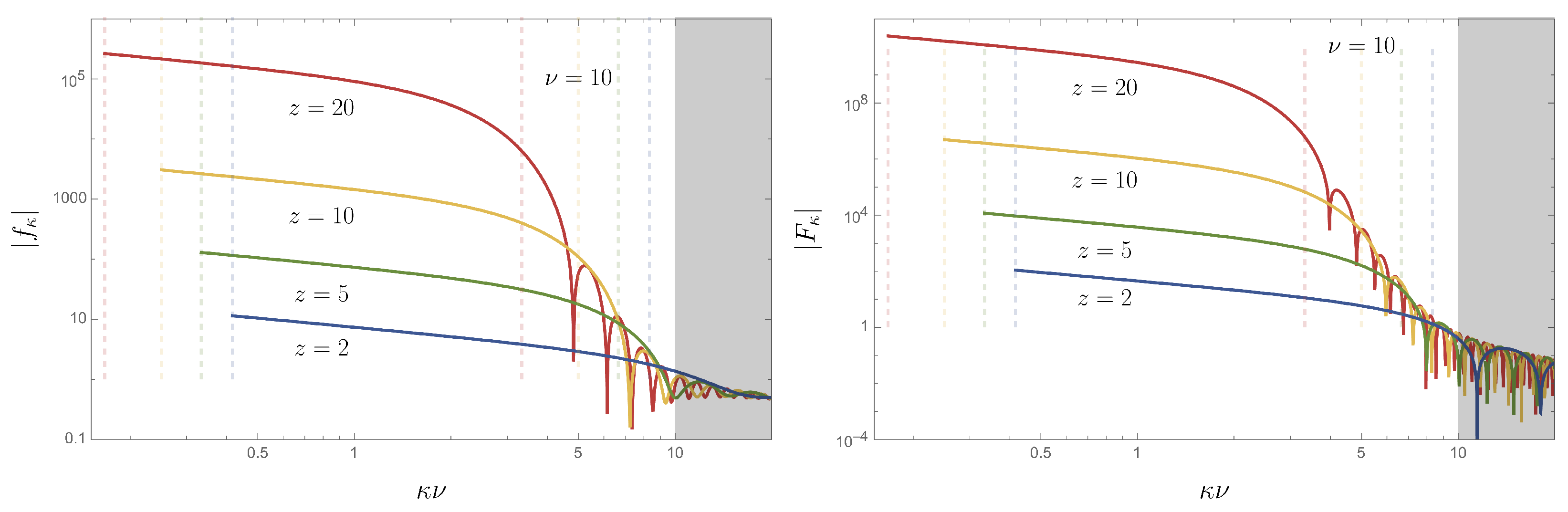
- In this type of scenario the auxiliary field is directly coupled to the cosmon via the effective mass function . A simple choice ensuring decoupling at late times is given for instance by [39,64,112]with g a dimensionless coupling constant and a constant mass parameter. This unconventional behaviour appears naturally in quintessential inflation models constructed on the basis of emergent scale symmetry in the vicinity of UV and IR fixed points [39,112], cf. Section 4. Alternative choices smoothing the transition between negative and positive field values or modifying its timing could be also considered without significantly changing the discussion below, see e.g., Ref. [39].Given the form (49), and omitting the subdominant gravitational contribution in Equation (47), the effective frequency (37) takes the formFor small values and , the condition for the violation of the adiabaticity can be safely approximated by , with the cosmon velocity at zero crossing. For sufficiently large couplings, particle production takes place in a very narrow interval around , being the process essentially instantaneous, , and independent of the particle spin. The momentum of the created particles follows directly from the uncertainty principle, . Provided it to significantly exceed the scale at positive cosmon values , (), the produced particles are relativistic and can trigger the onset of radiation domination. As shown in Ref. [64], the heating efficiency in this particular example takes the formAlternative symmetric-choices for the mass function could be also considered [64,96,97,98]. In this case, the energy transfer happens through a combination of adiabaticity violation at zero crossing and a rapid enhancement of the effective particle masses as the cosmon field evolves towards large positive values. Since in this case the created particles become rapidly non-relativistic, their energy density redshifts as matter, , meaning that, in order to recover the hBB epoch, they must eventually decay into light degrees of freedom. This decay can be induced, for instance, by a direct Yukawa coupling between the spectator field and some fermionic species . Since the mass of grows with after zero crossing, so it does the effective decay rate, , making this heating mechanism very efficient.
2.4. Hot Big Bang and Dark Energy
- Thawing models: In this type of scenarios the Hubble friction freezes the cosmon field evolution during radiation and early matter domination, being its energy density completely dominated by the potential term. This corresponds to the fixed point in Equation (52), which is, however, unstable for . In particular, as soon as the Hubble rate becomes smaller than the mass of the scalar field, the cosmon will start rolling down the potential, forcing the effective equation-of-state parameter to increase. The growth of at late times can be analytically computed in some specific limits. In particular, for approximately constant and , we have [114,116,117,118,119,120,121],witha monotonically increasing function smoothly interpolating between in the deep radiation and matter dominated eras and in the asymptotic dark energy dominated regime andwith the subscript 0 marking quantities evaluated today. The present value of the dark-energy equation-of-state parameter follows directly from Equation (56),Note that these scenarios require a fine tuning of the local curvature and amplitude of the potential in order to ensure that the scalar field starts evolving at the correct time while reproducing the observed cosmological constant energy density [114].
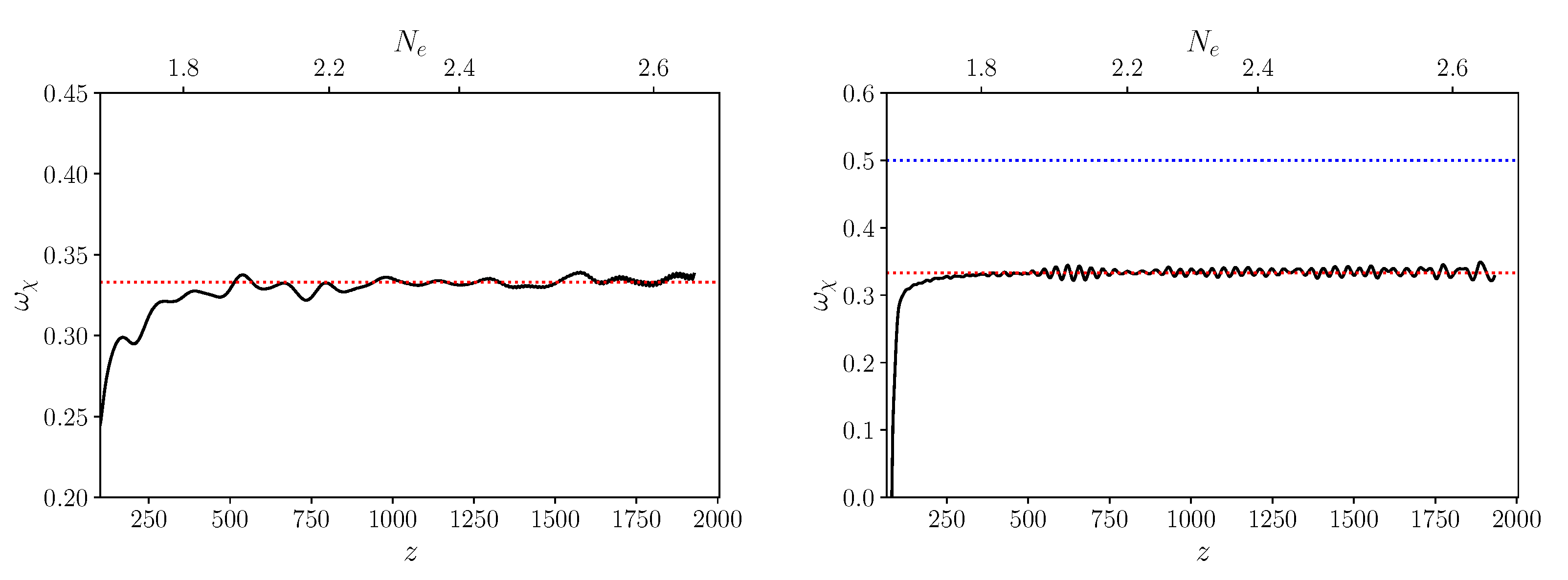
- Tracking freezing models: In this case the cosmon field is initially in slow-roll motion and comes to a halt due the increasing flatness of the potential after a certain critical value. This limit corresponds to a fixed pointwith constant . Since this configuration is stable, the scalar field trajectories will be dragged towards it for a large set of initial conditions, meaning that we are dealing with a tracker solution. If then [122,123], for which approaches 0, the cosmon energy density will grow to dominate the background evolution. Using the relationfollowing from Equation (60) together with Equations (53) and (54) in the limit 1, the effective field equation of state along the tracker is given byNote that, while the presence of the attractor alleviates the initial condition problem in this class of models, a certain degree of tuning is still required in order to recover the correct time at which the cosmon field starts to dominate the energy budget.
- Scaling freezing models: In this scenario the cosmon field reaches as well a tracking solution but this time with . A simple inspection of Equations (52) and (53) reveals the existence of a stable fixed point at [116,117,125,126]for constant . These conditions are verified for and correspond to an exponential potential , with a constant. Note that in this scenario the cosmon equation-of-state parameter follows that of the background component during the radiation and matter dominated eras, opening up a new line of attack to the coincidence problem. The recovery of the late time acceleration of the Universe requires, however, the introduction of an exit mechanism from this scaling regime. This can be triggered by several mechanisms such as double exponential potentials displaying two-late time attractors (one associated with the scaling solution and one where the cosmon field dominates the energy density) [117,127] or growing neutrino masses. The first option does not provide, however, a satisfactory solution to the ‘why now’ problem since the amplitudes of the two exponential potentials must be properly chosen to ensure that the transition happens at the appropriate time. This is not the case of the growing neutrino mass scenario, which we discuss in detail in Section 5.1.1.
3. Field Relativity
- Exponential basis. This formulation makes use of a fixed exponential form for the potentialwith M a constant, leaving the detailed model information for the kinetial [135,136,137,138]. This choice is particularly useful for model comparison since the relation between the scalar field value and the potential energy density is universal. On top of that, all frame-covariant inflationary observables in Appendix A become functions of only [138].
- α-attractor basis. This formulation assumes a singular function [40,41,99,139,140],with . This choice can be motivated either by invoking conformal symmetry or extended supergravity scenarios, where the positive constant describes the curvature of a hyperbolic Kähler manifold. For describing quintessential inflation, the potential in this setting is required to be asymmetric and non-singular, being the linear and exponential choices commonly used in the literature. Remarkably, the associated inflationary predictions are independent of the specific choice of , since this becomes exponentially stretched around the poles at when moving to canonically normalized variables. On top of that, for moderate values of , and in contrast with the canonical expectation (19), the field excursion during kination is , as required by swamplamp distance conjecture [141] (in case you take it seriously, of course). In spite of these positive aspects, -attractor models cannot solve the cosmological constant problem without invoking the inflationary landscape and anthropic considerations.
- Flattening basis. In this basis the theory defining functions are not singular, but satisfy the relationswith M a constant with the dimension of mass and a dimensionless runaway function of the cosmon field. This peculiar structure appears naturally in Palatini scalar-tensor and modified gravity scenarios involving Jordan-frame potentials proportional to the square of the non-minimal coupling to gravity [142] or corrections [143]. Given , this setting generates an inflationary plateau for , while reducing to the canonical form (1) for .
4. Symmetry Principles
4.1. Ultraviolet Regime
4.2. Crossover and Infrared Regimes
5. Phenomenology
5.1. Coupled Quintessence
5.1.1. Growing Neutrino Masses
5.1.2. Primordial Structure Formation
5.2. Hubble-Induced Phase Transitions
5.2.1. Spectator Field Dynamics
5.2.2. Applications
Heating
Gravitational Waves
Baryogenesis
Dark Matter
6. Discussion and Outlook
Author Contributions
Funding
Institutional Review Board Statement
Informed Consent Statement
Acknowledgments
Conflicts of Interest
Appendix A. Frame-Invariant Formulation of Inflation
Appendix B. A Workout Example of Crossover Regime
| 1 | Improved results accounting for as a perturbation to the zeroth-order solution can be found in Ref. [124]. |
| 2 | |
| 3 | |
| 4 | |
| 5 | Notice that this holds even if the potential is a sum of monomials with positive coefficients. The inclusion of negative coefficients in the power series could give rise, however, to the appearance of new local or global minima. |
| 6 | Alternative pictures involving first-order phase transitions could appear in the presence of multiple higher-dimensional operators with positive and negative coefficients. |
| 7 | Movies covering the whole simulation are available at https://www.youtube.com/playlist?list=PLl1K9-81ct6yHh6boyTiZAfNv_zlwux7- (accessed on 21 December 2021). |
| 8 | Notice that since here the symmetry is one needs to replace in the action (98) the real scalar field by a complex one, i.e., , being the complex conjugate of . |
| 9 | Notice that this does not violate causality as long as it is sub-horizon, meaning by this that no modes smaller than the inflationary particle horizon are considered [263]. |
References
- Kamionkowski, M.; Kovetz, E.D. The Quest for B Modes from Inflationary Gravitational Waves. Ann. Rev. Astron. Astrophys. 2016, 54, 227–269. [Google Scholar] [CrossRef]
- Perlmutter, S.; Aldering, G.; Valle, M.D.; Deustua, S.; Ellis, R.S.; Fabbro, S.; Fruchter, A.; Goldhaber, G.; Groom, D.E.; Hook, I.M.; et al. Discovery of a supernova explosion at half the age of the Universe and its cosmological implications. Nature 1998, 391, 51–54. [Google Scholar] [CrossRef]
- Riess, A.G.; Filippenko, A.V.; Challis, P.; Clocchiatti, A.; Diercks, A.; Garnavich, P.M.; Gilliland, R.L.; Hogan, C.J.; Jha, S.; Kirshner, R.P.; et al. Observational evidence from supernovae for an accelerating universe and a cosmological constant. Astron. J. 1998, 116, 1009–1038. [Google Scholar] [CrossRef]
- Akrami, Y.; Arroja, F.; Ashdown, M.; Aumont, J.; Baccigalupi, C.; Ballardini, M.; Banday, A.J.; Barreiro, R.B.; Bartolo, N.; Basak, S.; et al. Planck 2018 results. X. Constraints on inflation. Astron. Astrophys. 2020, 641, A10. [Google Scholar] [CrossRef]
- Ade, P.A.R.; Ahmed, Z.; Amiri, M.; Barkats, D.; Basu Thakur, R.; Bischoff, C.A.; Beck, D.; Bock, J.J.; Boenish, H.; Bullock, E.; et al. Improved Constraints on Primordial Gravitational Waves using Planck, WMAP, and BICEP/Keck Observations through the 2018 Observing Season. Phys. Rev. Lett. 2021, 127, 151301. [Google Scholar] [CrossRef]
- Percival, W.J.; Baugh, C.M.; Bland-Hawthorn, J.; Bridges, T.; Cannon, R.; Cole, S.; Colless, M.; Collins, C.; Couch, W.; Dalton, G.; et al. The 2dF Galaxy Redshift Survey: The Power spectrum and the matter content of the Universe. Mon. Not. Roy. Astron. Soc. 2001, 327, 1297. [Google Scholar] [CrossRef]
- Efstathiou, G.; Moody, S.; Peacock, J.A.; Percival, W.J.; Baugh, C.; Bland-Hawthorn, J.; Bridges, T.; Cannon, R.; Cole, S.; Colless, M.; et al. Evidence for a non-zero lambda and a low matter density from a combined analysis of the 2dF Galaxy Redshift Survey and cosmic microwave background anisotropies. Mon. Not. Roy. Astron. Soc. 2002, 330, L29. [Google Scholar] [CrossRef]
- Eisenstein, D.J.; Zehavi1, I.; Hogg, D.W.; Scoccimarro, R.; Blanton, M.R.; Nichol, R.C.; Scranton, R.; Seo1, H.; Tegmark, M.; Zheng, Z.; et al. Detection of the Baryon Acoustic Peak in the Large-Scale Correlation Function of SDSS Luminous Red Galaxies. Astrophys. J. 2005, 633, 560–574. [Google Scholar] [CrossRef]
- Peccei, R.D.; Sola, J.; Wetterich, C. Adjusting the Cosmological Constant Dynamically: Cosmons and a New Force Weaker Than Gravity. Phys. Lett. B 1987, 195, 183–190. [Google Scholar] [CrossRef]
- Wali Hossain, M.; Myrzakulov, R.; Sami, M.; Saridakis, E.N. Unification of inflation and dark energy à la quintessential inflation. Int. J. Mod. Phys. D 2015, 24, 1530014. [Google Scholar] [CrossRef]
- de Haro, J.; Saló, L.A. A Review of Quintessential Inflation. Galaxies 2021, 9, 73. [Google Scholar] [CrossRef]
- Spokoiny, B. Deflationary universe scenario. Phys. Lett. 1993, B315, 40–45. [Google Scholar] [CrossRef]
- Peebles, P.J.E.; Vilenkin, A. Quintessential inflation. Phys. Rev. 1999, D59, 063505. [Google Scholar] [CrossRef]
- Peloso, M.; Rosati, F. On the construction of quintessential inflation models. J. High Energy Phys. 1999, 12, 26. [Google Scholar] [CrossRef]
- Dimopoulos, K.; Valle, J.W.F. Modeling quintessential inflation. Astropart. Phys. 2002, 18, 287–306. [Google Scholar] [CrossRef]
- Giovannini, M. Low scale quintessential inflation. Phys. Rev. D 2003, 67, 123512. [Google Scholar] [CrossRef]
- Brax, P.; Martin, J. Coupling quintessence to inflation in supergravity. Phys. Rev. 2005, D71, 063530. [Google Scholar] [CrossRef]
- Bueno Sanchez, J.C.; Dimopoulos, K. Trapped Quintessential Inflation. Phys. Lett. B 2006, 642, 294–301. [Google Scholar] [CrossRef][Green Version]
- Hossain, M.W.; Myrzakulov, R.; Sami, M.; Saridakis, E.N. Variable gravity: A suitable framework for quintessential inflation. Phys. Rev. 2014, D90, 023512. [Google Scholar] [CrossRef]
- Agarwal, A.; Myrzakulov, R.; Sami, M.; Singh, N.K. Quintessential inflation in a thawing realization. Phys. Lett. 2017, B770, 200–208. [Google Scholar] [CrossRef]
- Ahmad, S.; Myrzakulov, R.; Sami, M. Relic gravitational waves from Quintessential Inflation. Phys. Rev. D 2017, 96, 063515. [Google Scholar] [CrossRef]
- Geng, C.Q.; Lee, C.C.; Sami, M.; Saridakis, E.N.; Starobinsky, A.A. Observational constraints on successful model of quintessential Inflation. J. Cosmol. Astropart. Phys. 2017, 1706, 011. [Google Scholar] [CrossRef]
- Dimopoulos, K.; Markkanen, T. Dark energy as a remnant of inflation and electroweak symmetry breaking. J. High Energy Phys. 2019, 01, 029. [Google Scholar] [CrossRef]
- Dimopoulos, K.; Karčiauskas, M.; Owen, C. Quintessential inflation with a trap and axionic dark matter. Phys. Rev. D 2019, 100, 083530. [Google Scholar] [CrossRef]
- Benisty, D.; Guendelman, E.I. Lorentzian Quintessential Inflation. Int. J. Mod. Phys. D 2020, 29, 2042002. [Google Scholar] [CrossRef]
- Benisty, D.; Guendelman, E.I. Quintessential Inflation from Lorentzian Slow Roll. Eur. Phys. J. C 2020, 80, 577. [Google Scholar] [CrossRef]
- Karčiauskas, M.; Rusak, S.; Saez, A. Quintessential Inflation and the Non-Linear Effects of the Tachyonic Trapping Mechanism. arXiv 2021, arXiv:2112.11536. [Google Scholar]
- Dimopoulos, K.; Donaldson-Wood, L. Warm quintessential inflation. Phys. Lett. B 2019, 796, 26–31. [Google Scholar] [CrossRef]
- Feng, B.; Li, M.z. Curvaton reheating in nonoscillatory inflationary models. Phys. Lett. B 2003, 564, 169–174. [Google Scholar] [CrossRef]
- Kamali, V.; Motaharfar, M.; Ramos, R.O. Warm brane inflation with an exponential potential: A consistent realization away from the swampland. Phys. Rev. D 2020, 101, 023535. [Google Scholar] [CrossRef]
- Guendelman, E.; Herrera, R.; Labrana, P.; Nissimov, E.; Pacheva, S. Emergent Cosmology, Inflation and Dark Energy. Gen. Rel. Grav. 2015, 47, 10. [Google Scholar] [CrossRef]
- Guendelman, E.I.; Herrera, R. Curvaton reheating mechanism in a scale invariant two measures theory. Gen. Rel. Grav. 2016, 48, 3. [Google Scholar] [CrossRef]
- Aghanim, N.; Akrami, Y.; Ashdown, M.; Baccigalupi, C.; Ballardini, M.; Banday, A.; Barreiro, R.; Bond, J.; Bouchet, F.; Boulanger, F.; et al. Planck 2018 results. VI. Cosmological parameters. Astron. Astrophys. 2020, 641, A6. [Google Scholar] [CrossRef]
- Zyla, P.A.; Amsler, C.D.; Asner, D.M.; Bamett, J.; Beringer, P.; Carone, C.; Orin, I.D.; Giancarlo, D.; Dcgouvca, A.; Doscr, M.; et al. Review of Particle Physics. PTEP 2020, 2020, 083C01. [Google Scholar] [CrossRef]
- Chiba, T.; De Felice, A.; Tsujikawa, S. Observational constraints on quintessence: Thawing, tracker, and scaling models. Phys. Rev. 2013, D87, 083505. [Google Scholar] [CrossRef]
- Geng, C.Q.; Hossain, M.W.; Myrzakulov, R.; Sami, M.; Saridakis, E.N. Quintessential inflation with canonical and noncanonical scalar fields and Planck 2015 results. Phys. Rev. D 2015, 92, 023522. [Google Scholar] [CrossRef]
- Durrive, J.B.; Ooba, J.; Ichiki, K.; Sugiyama, N. Updated observational constraints on quintessence dark energy models. Phys. Rev. D 2018, 97, 043503. [Google Scholar] [CrossRef]
- Salopek, D.S.; Bond, J.R. Nonlinear evolution of long wavelength metric fluctuations in inflationary models. Phys. Rev. D 1990, 42, 3936–3962. [Google Scholar] [CrossRef]
- Rubio, J.; Wetterich, C. Emergent scale symmetry: Connecting inflation and dark energy. Phys. Rev. 2017, D96, 063509. [Google Scholar] [CrossRef]
- Dimopoulos, K.; Owen, C. Quintessential Inflation with α-attractors. J. Cosmol. Astropart. Phys. 2017, 1706, 27. [Google Scholar] [CrossRef]
- Akrami, Y.; Kallosh, R.; Linde, A.; Vardanyan, V. Dark energy, α-attractors, and large-scale structure surveys. J. Cosmol. Astropart. Phys. 2018, 1806, 041. [Google Scholar] [CrossRef]
- Mukhanov, V.F.; Chibisov, G.V. Quantum Fluctuations and a Nonsingular Universe. JETP Lett. 1981, 33, 532–535. [Google Scholar]
- Guth, A.H.; Pi, S.Y. Fluctuations in the New Inflationary Universe. Phys. Rev. Lett. 1982, 49, 1110–1113. [Google Scholar] [CrossRef]
- Starobinsky, A.A. Dynamics of Phase Transition in the New Inflationary Universe Scenario and Generation of Perturbations. Phys. Lett. B 1982, 117, 175–178. [Google Scholar] [CrossRef]
- Hawking, S.W. The Development of Irregularities in a Single Bubble Inflationary Universe. Phys. Lett. B 1982, 115, 295. [Google Scholar] [CrossRef]
- Bardeen, J.M.; Steinhardt, P.J.; Turner, M.S. Spontaneous Creation of Almost Scale - Free Density Perturbations in an Inflationary Universe. Phys. Rev. D 1983, 28, 679. [Google Scholar] [CrossRef]
- Lesgourgues, J.; Polarski, D.; Starobinsky, A.A. Quantum to classical transition of cosmological perturbations for nonvacuum initial states. Nucl. Phys. B 1997, 497, 479–510. [Google Scholar] [CrossRef]
- Polarski, D.; Starobinsky, A.A. Semiclassicality and decoherence of cosmological perturbations. Class. Quant. Grav. 1996, 13, 377–392. [Google Scholar] [CrossRef]
- Kiefer, C.; Polarski, D.; Starobinsky, A.A. Quantum to classical transition for fluctuations in the early universe. Int. J. Mod. Phys. D 1998, 7, 455–462. [Google Scholar] [CrossRef]
- Kiefer, C.; Lesgourgues, J.; Polarski, D.; Starobinsky, A.A. The Coherence of primordial fluctuations produced during inflation. Class. Quant. Grav. 1998, 15, L67–L72. [Google Scholar] [CrossRef]
- Kiefer, C.; Polarski, D. Emergence of classicality for primordial fluctuations: Concepts and analogies. Annalen Phys. 1998, 7, 137–158. [Google Scholar] [CrossRef]
- Joyce, M. Electroweak Baryogenesis and the Expansion Rate of the Universe. Phys. Rev. D 1997, 55, 1875–1878. [Google Scholar] [CrossRef]
- Joyce, M.; Prokopec, T. Turning around the sphaleron bound: Electroweak baryogenesis in an alternative postinflationary cosmology. Phys. Rev. D 1998, 57, 6022–6049. [Google Scholar] [CrossRef]
- Bettoni, D.; Rubio, J. Quintessential Affleck-Dine baryogenesis with non-minimal couplings. Phys. Lett. B 2018, 784, 122–129. [Google Scholar] [CrossRef]
- Kamionkowski, M.; Turner, M.S. Thermal relics: Do we know their abundances? Phys. Rev. D 1990, 42, 3310–3320. [Google Scholar] [CrossRef]
- Salati, P. Quintessence and the relic density of neutralinos. Phys. Lett. B 2003, 571, 121–131. [Google Scholar] [CrossRef]
- Profumo, S.; Ullio, P. SUSY dark matter and quintessence. J. Cosmol. Astropart. Phys. 2003, 11, 6. [Google Scholar] [CrossRef]
- Chung, D.J.H.; Everett, L.L.; Matchev, K.T. Inflationary cosmology connecting dark energy and dark matter. Phys. Rev. D 2007, 76, 103530. [Google Scholar] [CrossRef]
- Visinelli, L.; Gondolo, P. Axion cold dark matter in non-standard cosmologies. Phys. Rev. D 2010, 81, 063508. [Google Scholar] [CrossRef]
- Redmond, K.; Erickcek, A.L. New Constraints on Dark Matter Production during Kination. Phys. Rev. D 2017, 96, 043511. [Google Scholar] [CrossRef]
- D’Eramo, F.; Fernandez, N.; Profumo, S. When the Universe Expands Too Fast: Relentless Dark Matter. J. Cosmol. Astropart. Phys. 2017, 5, 012. [Google Scholar] [CrossRef]
- D’Eramo, F.; Fernandez, N.; Profumo, S. Dark Matter Freeze-in Production in Fast-Expanding Universes. J. Cosmol. Astropart. Phys. 2018, 2, 046. [Google Scholar] [CrossRef]
- Visinelli, L. (Non-)thermal production of WIMPs during kination. Symmetry 2018, 10, 546. [Google Scholar] [CrossRef]
- Bernal, N.; Rubio, J.; Veermäe, H. Boosting Ultraviolet Freeze-in in NO Models. J. Cosmol. Astropart. Phys. 2020, 6, 47. [Google Scholar] [CrossRef]
- Giovannini, M. Gravitational waves constraints on postinflationary phases stiffer than radiation. Phys. Rev. D 1998, 58, 083504. [Google Scholar] [CrossRef]
- Giovannini, M. Production and detection of relic gravitons in quintessential inflationary models. Phys. Rev. D 1999, 60, 123511. [Google Scholar] [CrossRef]
- Tashiro, H.; Chiba, T.; Sasaki, M. Reheating after quintessential inflation and gravitational waves. Class. Quant. Grav. 2004, 21, 1761–1772. [Google Scholar] [CrossRef]
- Caprini, C.; Figueroa, D.G. Cosmological Backgrounds of Gravitational Waves. Class. Quant. Grav. 2018, 35, 163001. [Google Scholar] [CrossRef]
- Figueroa, D.G.; Tanin, E.H. Inconsistency of an inflationary sector coupled only to Einstein gravity. J. Cosmol. Astropart. Phys. 2019, 10, 50. [Google Scholar] [CrossRef]
- Figueroa, D.G.; Tanin, E.H. Ability of LIGO and LISA to probe the equation of state of the early Universe. J. Cosmol. Astropart. Phys. 2019, 8, 11. [Google Scholar] [CrossRef]
- Bernal, N.; Hajkarim, F. Primordial Gravitational Waves in Nonstandard Cosmologies. Phys. Rev. D 2019, 100, 063502. [Google Scholar] [CrossRef]
- Khlebnikov, S.Y.; Tkachev, I.I. Relic gravitational waves produced after preheating. Phys. Rev. D 1997, 56, 653–660. [Google Scholar] [CrossRef]
- Easther, R.; Lim, E.A. Stochastic gravitational wave production after inflation. J. Cosmol. Astropart. Phys. 2006, 4, 10. [Google Scholar] [CrossRef]
- Easther, R.; Giblin, J.T., Jr.; Lim, E.A. Gravitational Wave Production At The End Of Inflation. Phys. Rev. Lett. 2007, 99, 221301. [Google Scholar] [CrossRef]
- Dufaux, J.F.; Bergman, A.; Felder, G.N.; Kofman, L.; Uzan, J.P. Theory and Numerics of Gravitational Waves from Preheating after Inflation. Phys. Rev. D 2007, 76, 123517. [Google Scholar] [CrossRef]
- Garcia-Bellido, J.; Figueroa, D.G. A stochastic background of gravitational waves from hybrid preheating. Phys. Rev. Lett. 2007, 98, 061302. [Google Scholar] [CrossRef]
- Garcia-Bellido, J.; Figueroa, D.G.; Sastre, A. A Gravitational Wave Background from Reheating after Hybrid Inflation. Phys. Rev. D 2008, 77, 043517. [Google Scholar] [CrossRef]
- Cui, Y.; Lewicki, M.; Morrissey, D.E.; Wells, J.D. Cosmic Archaeology with Gravitational Waves from Cosmic Strings. Phys. Rev. D 2018, 97, 123505. [Google Scholar] [CrossRef]
- Cui, Y.; Lewicki, M.; Morrissey, D.E.; Wells, J.D. Probing the pre-BBN universe with gravitational waves from cosmic strings. J. High Energy Phys. 2019, 1, 81. [Google Scholar] [CrossRef]
- Bettoni, D.; Domènech, G.; Rubio, J. Gravitational waves from global cosmic strings in quintessential inflation. J. Cosmol. Astropart. Phys. 2019, 2, 34. [Google Scholar] [CrossRef]
- Chang, C.F.; Cui, Y. Stochastic Gravitational Wave Background from Global Cosmic Strings. Phys. Dark Univ. 2020, 29, 100604. [Google Scholar] [CrossRef]
- Gouttenoire, Y.; Servant, G.; Simakachorn, P. BSM with Cosmic Strings: Heavy, up to EeV mass, Unstable Particles. J. Cosmol. Astropart. Phys. 2020, 7, 16. [Google Scholar] [CrossRef]
- Chang, C.F.; Cui, Y. Gravitational Waves from Global Cosmic Strings and Cosmic Archaeology. arXiv 2021, arXiv:2106.09746. [Google Scholar]
- Chung, D.J.H.; Zhou, P. Gravity Waves as a Probe of Hubble Expansion Rate During An Electroweak Scale Phase Transition. Phys. Rev. D 2010, 82, 024027. [Google Scholar] [CrossRef]
- Allahverdi, R.; Amin, M.; Berlin, A.; Bernal, N.; Byrnes, T.; Delos, S.; Erickcek, A.; Escudero, M.; Figueroa, D.; Freese, K.; et al. The First Three Seconds: A Review of Possible Expansion Histories of the Early Universe. arXiv 2020, arXiv:2006.16182. [Google Scholar] [CrossRef]
- Maggiore, M. Gravitational wave experiments and early universe cosmology. Phys. Rept. 2000, 331, 283–367. [Google Scholar] [CrossRef]
- Mangano, G.; Miele, G.; Pastor, S.; Pinto, T.; Pisanti, O.; Serpico, P.D. Relic neutrino decoupling including flavor oscillations. Nucl. Phys. B 2005, 729, 221–234. [Google Scholar] [CrossRef]
- Cyburt, R.H.; Fields, B.D.; Olive, K.A.; Yeh, T.H. Big Bang Nucleosynthesis: 2015. Rev. Mod. Phys. 2016, 88, 15004. [Google Scholar] [CrossRef]
- Gouttenoire, Y.; Servant, G.; Simakachorn, P. Kination cosmology from scalar fields and gravitational-wave signatures. arXiv 2021, arXiv:2111.01150. [Google Scholar]
- Bassett, B.A.; Tsujikawa, S.; Wands, D. Inflation dynamics and reheating. Rev. Mod. Phys. 2006, 78, 537–589. [Google Scholar] [CrossRef]
- Allahverdi, R.; Brandenberger, R.; Cyr-Racine, F.Y.; Mazumdar, A. Reheating in Inflationary Cosmology: Theory and Applications. Ann. Rev. Nucl. Part. Sci. 2010, 60, 27–51. [Google Scholar] [CrossRef]
- Kofman, L.; Linde, A.D.; Starobinsky, A.A. Towards the theory of reheating after inflation. Phys. Rev. D 1997, 56, 3258–3295. [Google Scholar] [CrossRef]
- Ford, L.H. Gravitational Particle Creation and Inflation. Phys. Rev. D 1987, 35, 2955. [Google Scholar] [CrossRef] [PubMed]
- Ade, P.A.R.; Aghanim, N.; Arnaud, M.; Arroja, F.; Ashdown, M.; Aumont, J.; Baccigalupi, C.; Ballardini, M.; Banday, A.J.; Barreiro, R.B.; et al. Planck 2015 results. XX. Constraints on inflation. Astron. Astrophys. 2016, 594, A20. [Google Scholar] [CrossRef]
- Chun, E.J.; Scopel, S.; Zaballa, I. Gravitational reheating in quintessential inflation. J. Cosmol. Astropart. Phys. 2009, 7, 22. [Google Scholar] [CrossRef]
- Felder, G.N.; Kofman, L.; Linde, A.D. Instant preheating. Phys. Rev. D 1999, 59, 123523. [Google Scholar] [CrossRef]
- Felder, G.N.; Kofman, L.; Linde, A.D. Inflation and preheating in NO models. Phys. Rev. D 1999, 60, 103505. [Google Scholar] [CrossRef]
- Campos, A.H.; Reis, H.C.; Rosenfeld, R. Preheating in quintessential inflation. Phys. Lett. B 2003, 575, 151–156. [Google Scholar] [CrossRef][Green Version]
- Dimopoulos, K.; Donaldson Wood, L.; Owen, C. Instant preheating in quintessential inflation with α-attractors. Phys. Rev. D 2018, 97, 063525. [Google Scholar] [CrossRef]
- Bueno Sanchez, J.C.; Dimopoulos, K. Curvaton reheating allows TeV Hubble scale in NO inflation. J. Cosmol. Astropart. Phys. 2007, 11, 007. [Google Scholar] [CrossRef]
- Dimopoulos, K.; Markkanen, T. Non-minimal gravitational reheating during kination. J. Cosmol. Astropart. Phys. 2018, 6, 21. [Google Scholar] [CrossRef]
- Opferkuch, T.; Schwaller, P.; Stefanek, B.A. Ricci Reheating. J. Cosmol. Astropart. Phys. 2019, 7, 16. [Google Scholar] [CrossRef]
- Bettoni, D.; Lopez-Eiguren, A.; Rubio, J. Hubble-induced phase transitions on the lattice with applications to Ricci reheating. J. Cosmol. Astropart. Phys. 2022, 1, 2. [Google Scholar] [CrossRef]
- Birrell, N.D.; Davies, P.C.W. Quantum Fields in Curved Space; Cambridge Monographs on Mathematical Physics, Cambridge University Press: Cambridge, UK, 1984. [Google Scholar] [CrossRef]
- Mukhanov, V.; Winitzki, S. Introduction to Quantum Effects in Gravity; Cambridge University Press: Cambridge, UK, 2007. [Google Scholar]
- Micha, R.; Tkachev, I.I. Relativistic turbulence: A Long way from preheating to equilibrium. Phys. Rev. Lett. 2003, 90, 121301. [Google Scholar] [CrossRef] [PubMed]
- Micha, R.; Tkachev, I.I. Turbulent thermalization. Phys. Rev. D 2004, 70, 043538. [Google Scholar] [CrossRef]
- Damour, T.; Vilenkin, A. String theory and inflation. Phys. Rev. D 1996, 53, 2981–2989. [Google Scholar] [CrossRef] [PubMed]
- Haro, J. Different reheating mechanisms in quintessence inflation. Phys. Rev. D 2019, 99, 043510. [Google Scholar] [CrossRef]
- Haro, J.; Yang, W.; Pan, S. Reheating in quintessential inflation via gravitational production of heavy massive particles: A detailed analysis. J. Cosmol. Astropart. Phys. 2019, 1, 23. [Google Scholar] [CrossRef]
- Saló, L.A.; de Haro, J. Gravitational particle production of superheavy massive particles in Quintessential Inflation: A numerical analysis. Phys. Rev. 2021, D104, 083544. [Google Scholar] [CrossRef]
- Wetterich, C. Inflation, quintessence, and the origin of mass. Nucl. Phys. B 2015, 897, 111–178. [Google Scholar] [CrossRef]
- Wetterich, C. Cosmology with varying scales and couplings. In Proceedings of the 5th Internationa Conference on Strong and Electroweak Matter (SEWM 2002), Heidelberg, Germany, 2–5 October 2002; pp. 230–249. [Google Scholar] [CrossRef]
- Scherrer, R.J.; Sen, A.A. Thawing quintessence with a nearly flat potential. Phys. Rev. 2008, D77, 083515. [Google Scholar] [CrossRef]
- Caldwell, R.R.; Linder, E.V. The Limits of quintessence. Phys. Rev. Lett. 2005, 95, 141301. [Google Scholar] [CrossRef] [PubMed]
- Wetterich, C. Cosmology and the Fate of Dilatation Symmetry. Nucl. Phys. 1988, B302, 668–696. [Google Scholar] [CrossRef]
- Copeland, E.J.; Liddle, A.R.; Wands, D. Exponential potentials and cosmological scaling solutions. Phys. Rev. 1998, D57, 4686–4690. [Google Scholar] [CrossRef]
- Ferreira, P.G.; Joyce, M. Cosmology with a primordial scaling field. Phys. Rev. 1998, D58, 023503. [Google Scholar] [CrossRef]
- Casas, S.; Pauly, M.; Rubio, J. Higgs-dilaton cosmology: An inflation–dark-energy connection and forecasts for future galaxy surveys. Phys. Rev. 2018, D97, 043520. [Google Scholar] [CrossRef]
- Dutta, S.; Scherrer, R.J. Hilltop Quintessence. Phys. Rev. D 2008, 78, 123525. [Google Scholar] [CrossRef]
- Chiba, T. Slow-Roll Thawing Quintessence. Phys. Rev. D 2009, 79, 083517, Erratum in Phys. Rev. D 2009, 80, 109902. [Google Scholar] [CrossRef]
- Zlatev, I.; Wang, L.M.; Steinhardt, P.J. Quintessence, cosmic coincidence, and the cosmological constant. Phys. Rev. Lett. 1999, 82, 896–899. [Google Scholar] [CrossRef]
- Steinhardt, P.J.; Wang, L.M.; Zlatev, I. Cosmological tracking solutions. Phys. Rev. D 1999, 59, 123504. [Google Scholar] [CrossRef]
- Chiba, T. The Equation of State of Tracker Fields. Phys. Rev. D 2010, 81, 023515. [Google Scholar] [CrossRef]
- Wetterich, C. The Cosmon model for an asymptotically vanishing time dependent cosmological ‘constant’. Astron. Astrophys. 1995, 301, 321–328. [Google Scholar]
- Ratra, B.; Peebles, P.J.E. Cosmological Consequences of a Rolling Homogeneous Scalar Field. Phys. Rev. 1988, D37, 3406. [Google Scholar] [CrossRef] [PubMed]
- Barreiro, T.; Copeland, E.J.; Nunes, N.J. Quintessence arising from exponential potentials. Phys. Rev. D 2000, 61, 127301. [Google Scholar] [CrossRef]
- Wang, P.Y.; Chen, C.W.; Chen, P. Confronting Tracker Field Quintessence with Data. J. Cosmol. Astropart. Phys. 2012, 2, 16. [Google Scholar] [CrossRef][Green Version]
- Tsujikawa, S. Quintessence: A Review. Class. Quant. Grav. 2013, 30, 214003. [Google Scholar] [CrossRef]
- Langlois, D. Dark energy and modified gravity in degenerate higher-order scalar–tensor (DHOST) theories: A review. Int. J. Mod. Phys. D 2019, 28, 1942006. [Google Scholar] [CrossRef]
- Sotiriou, T.P.; Faraoni, V. f(R) Theories Of Gravity. Rev. Mod. Phys. 2010, 82, 451–497. [Google Scholar] [CrossRef]
- Flanagan, E.E. The Conformal frame freedom in theories of gravitation. Class. Quant. Grav. 2004, 21, 3817. [Google Scholar] [CrossRef]
- Järv, L.; Kuusk, P.; Saal, M.; Vilson, O. Invariant quantities in the scalar-tensor theories of gravitation. Phys. Rev. D 2015, 91, 024041. [Google Scholar] [CrossRef]
- Burns, D.; Karamitsos, S.; Pilaftsis, A. Frame-Covariant Formulation of Inflation in Scalar-Curvature Theories. Nucl. Phys. B 2016, 907, 785–819. [Google Scholar] [CrossRef]
- Wetterich, C. Cosmon inflation. Phys. Lett. B 2013, 726, 15–22. [Google Scholar] [CrossRef][Green Version]
- Wetterich, C. Variable gravity Universe. Phys. Rev. D 2014, 89, 024005. [Google Scholar] [CrossRef]
- Hebecker, A.; Wetterich, C. Natural quintessence? Phys. Lett. B 2001, 497, 281–288. [Google Scholar] [CrossRef]
- Wetterich, C. Quantum scale symmetry. arXiv 2019, arXiv:1901.04741. [Google Scholar]
- García-García, C.; Linder, E.V.; Ruíz-Lapuente, P.; Zumalacárregui, M. Dark energy from α-attractors: Phenomenology and observational constraints. J. Cosmol. Astropart. Phys. 2018, 1808, 22. [Google Scholar] [CrossRef]
- Aresté Saló, L.; Benisty, D.; Guendelman, E.I.; de Haro, J. α-attractors in quintessential inflation motivated by supergravity. Phys. Rev. D 2021, 103, 123535. [Google Scholar] [CrossRef]
- Palti, E. The Swampland: Introduction and Review. Fortsch. Phys. 2019, 67, 1900037. [Google Scholar] [CrossRef]
- Kallosh, R.; Linde, A.; Roest, D. Universal Attractor for Inflation at Strong Coupling. Phys. Rev. Lett. 2014, 112, 011303. [Google Scholar] [CrossRef]
- Dimopoulos, K.; Sánchez López, S. Quintessential inflation in Palatini f(R) gravity. Phys. Rev. D 2021, 103, 043533. [Google Scholar] [CrossRef]
- Henz, T.; Pawlowski, J.M.; Rodigast, A.; Wetterich, C. Dilaton Quantum Gravity. Phys. Lett. B 2013, 727, 298–302. [Google Scholar] [CrossRef]
- Wetterich, C. Graviton fluctuations erase the cosmological constant. Phys. Lett. B 2017, 773, 6–19. [Google Scholar] [CrossRef]
- Luty, M.A.; Polchinski, J.; Rattazzi, R. The a-theorem and the Asymptotics of 4D Quantum Field Theory. J. High Energy Phys. 2013, 1, 152. [Google Scholar] [CrossRef][Green Version]
- Dymarsky, A.; Komargodski, Z.; Schwimmer, A.; Theisen, S. On Scale and Conformal Invariance in Four Dimensions. J. High Energy Phys. 2015, 10, 171. [Google Scholar] [CrossRef]
- Wetterich, C. Eternal Universe. Phys. Rev. D 2014, 90, 043520. [Google Scholar] [CrossRef]
- Adelberger, E.G.; Gundlach, J.H.; Heckel, B.R.; Hoedl, S.; Schlamminger, S. Torsion balance experiments: A low-energy frontier of particle physics. Prog. Part. Nucl. Phys. 2009, 62, 102–134. [Google Scholar] [CrossRef]
- Uzan, J.P. Varying Constants, Gravitation and Cosmology. Living Rev. Rel. 2011, 14, 2. [Google Scholar] [CrossRef]
- Shaposhnikov, M.; Zenhausern, D. Scale invariance, unimodular gravity and dark energy. Phys. Lett. 2009, B671, 187–192. [Google Scholar] [CrossRef]
- Garcia-Bellido, J.; Rubio, J.; Shaposhnikov, M.; Zenhausern, D. Higgs-Dilaton Cosmology: From the Early to the Late Universe. Phys. Rev. D 2011, 84, 123504. [Google Scholar] [CrossRef]
- Ferreira, P.G.; Hill, C.T.; Ross, G.G. No fifth force in a scale invariant universe. Phys. Rev. 2017, D95, 064038. [Google Scholar] [CrossRef]
- Burrage, C.; Copeland, E.J.; Millington, P.; Spannowsky, M. Fifth forces, Higgs portals and broken scale invariance. arXiv 2018, arXiv:1804.07180. [Google Scholar] [CrossRef]
- Casas, S.; Karananas, G.K.; Pauly, M.; Rubio, J. Scale-invariant alternatives to general relativity. III. The inflation-dark energy connection. Phys. Rev. 2019, D99, 063512. [Google Scholar] [CrossRef]
- Zee, A. A Broken Symmetric Theory of Gravity. Phys. Rev. Lett. 1979, 42, 417. [Google Scholar] [CrossRef]
- Wetterich, C. Universe without expansion. Phys. Dark Univ. 2013, 2, 184–187. [Google Scholar] [CrossRef]
- Wetterich, C. Primordial cosmic fluctuations for variable gravity. J. Cosmol. Astropart. Phys. 2016, 5, 41. [Google Scholar] [CrossRef][Green Version]
- Karam, A.; Pappas, T.; Tamvakis, K. Frame-dependence of higher-order inflationary observables in scalar-tensor theories. Phys. Rev. D 2017, 96, 064036. [Google Scholar] [CrossRef]
- Minkowski, P. μ→eγ at a Rate of One Out of 109 Muon Decays? Phys. Lett. B 1977, 67, 421–428. [Google Scholar] [CrossRef]
- Yanagida, T. Horizontal gauge symmetry and masses of neutrinos. Conf. Proc. C 1979, 7902131, 95–99. [Google Scholar]
- Gell-Mann, M.; Ramond, P.; Slansky, R. Complex Spinors and Unified Theories. Conf. Proc. C 1979, 790927, 315–321. [Google Scholar]
- Magg, M.; Wetterich, C. Neutrino Mass Problem and Gauge Hierarchy. Phys. Lett. B 1980, 94, 61–64. [Google Scholar] [CrossRef]
- Lazarides, G.; Shafi, Q.; Wetterich, C. Proton Lifetime and Fermion Masses in an SO(10) Model. Nucl. Phys. B 1981, 181, 287–300. [Google Scholar] [CrossRef]
- Mohapatra, R.N.; Senjanovic, G. Neutrino Masses and Mixings in Gauge Models with Spontaneous Parity Violation. Phys. Rev. D 1981, 23, 165. [Google Scholar] [CrossRef]
- Wetterich, C. Growing neutrinos and cosmological selection. Phys. Lett. B 2007, 655, 201–208. [Google Scholar] [CrossRef]
- Amendola, L.; Baldi, M.; Wetterich, C. Quintessence cosmologies with a growing matter component. Phys. Rev. D 2008, 78, 023015. [Google Scholar] [CrossRef]
- Will, C.M. The Confrontation between general relativity and experiment. Living Rev. Rel. 2006, 9, 3. [Google Scholar] [CrossRef]
- Elder, B.; Vardanyan, V.; Akrami, Y.; Brax, P.; Davis, A.C.; Decca, R.S. Classical symmetron force in Casimir experiments. Phys. Rev. D 2020, 101, 064065. [Google Scholar] [CrossRef]
- Brax, P.; Davis, A.C.; Elder, B.; Wong, L.K. Constraining screened fifth forces with the electron magnetic moment. Phys. Rev. D 2018, 97, 084050. [Google Scholar] [CrossRef]
- Uzan, J.P. The Fundamental Constants and Their Variation: Observational Status and Theoretical Motivations. Rev. Mod. Phys. 2003, 75, 403. [Google Scholar] [CrossRef]
- Clifton, T.; Ferreira, P.G.; Padilla, A.; Skordis, C. Modified Gravity and Cosmology. Phys. Rept. 2012, 513, 1–189. [Google Scholar] [CrossRef]
- Ishak, M. Testing General Relativity in Cosmology. Living Rev. Rel. 2019, 22, 1. [Google Scholar] [CrossRef]
- Joyce, A.; Jain, B.; Khoury, J.; Trodden, M. Beyond the Cosmological Standard Model. Phys. Rept. 2015, 568, 1–98. [Google Scholar] [CrossRef]
- Amendola, L. Coupled quintessence. Phys. Rev. D 2000, 62, 043511. [Google Scholar] [CrossRef]
- Farrar, G.R.; Peebles, P.J.E. Interacting dark matter and dark energy. Astrophys. J. 2004, 604, 1–11. [Google Scholar] [CrossRef]
- Amendola, L. Linear and non-linear perturbations in dark energy models. Phys. Rev. D 2004, 69, 103524. [Google Scholar] [CrossRef]
- Koivisto, T. Growth of perturbations in dark matter coupled with quintessence. Phys. Rev. D 2005, 72, 043516. [Google Scholar] [CrossRef]
- Amendola, L.; Camargo Campos, G.; Rosenfeld, R. Consequences of dark matter-dark energy interaction on cosmological parameters derived from SNIa data. Phys. Rev. D 2007, 75, 083506. [Google Scholar] [CrossRef]
- Boehmer, C.G.; Caldera-Cabral, G.; Lazkoz, R.; Maartens, R. Dynamics of dark energy with a coupling to dark matter. Phys. Rev. D 2008, 78, 023505. [Google Scholar] [CrossRef]
- Baldi, M.; Pettorino, V.; Robbers, G.; Springel, V. Hydrodynamical N-body simulations of coupled dark energy cosmologies. Mon. Not. Roy. Astron. Soc. 2010, 403, 1684–1702. [Google Scholar] [CrossRef]
- Baldi, M. Time dependent couplings in the dark sector: From background evolution to nonlinear structure formation. Mon. Not. Roy. Astron. Soc. 2011, 411, 1077. [Google Scholar] [CrossRef]
- Gleyzes, J.; Langlois, D.; Mancarella, M.; Vernizzi, F. Effective Theory of Interacting Dark Energy. J. Cosmol. Astropart. Phys. 2015, 8, 54. [Google Scholar] [CrossRef]
- Fardon, R.; Nelson, A.E.; Weiner, N. Dark energy from mass varying neutrinos. J. Cosmol. Astropart. Phys. 2004, 10, 5. [Google Scholar] [CrossRef]
- Brookfield, A.W.; van de Bruck, C.; Mota, D.F.; Tocchini-Valentini, D. Cosmology of mass-varying neutrinos driven by quintessence: Theory and observations. Phys. Rev. D 2006, 73, 083515, Erratum in Phys. Rev. D 2007, 76, 049901. [Google Scholar] [CrossRef]
- Mota, D.F.; Pettorino, V.; Robbers, G.; Wetterich, C. Neutrino clustering in growing neutrino quintessence. Phys. Lett. B 2008, 663, 160–164. [Google Scholar] [CrossRef]
- Pettorino, V.; Mota, D.F.; Robbers, G.; Wetterich, C. Clustering in growing neutrino cosmologies. AIP Conf. Proc. 2009, 1115, 291–296. [Google Scholar] [CrossRef]
- Wintergerst, N.; Pettorino, V.; Mota, D.F.; Wetterich, C. Very large scale structures in growing neutrino quintessence. Phys. Rev. D 2010, 81, 063525. [Google Scholar] [CrossRef]
- Ayaita, Y.; Weber, M.; Wetterich, C. Structure Formation and Backreaction in Growing Neutrino Quintessence. Phys. Rev. D 2012, 85, 123010. [Google Scholar] [CrossRef]
- Nunes, N.J.; Schrempp, L.; Wetterich, C. Mass freezing in growing neutrino quintessence. Phys. Rev. D 2011, 83, 083523. [Google Scholar] [CrossRef]
- Ayaita, Y.; Weber, M.; Wetterich, C. Neutrino lump fluid in growing neutrino quintessence. Phys. Rev. D 2013, 87, 043519. [Google Scholar] [CrossRef]
- Ayaita, Y.; Baldi, M.; Führer, F.; Puchwein, E.; Wetterich, C. Nonlinear growing neutrino cosmology. Phys. Rev. D 2016, 93, 063511. [Google Scholar] [CrossRef]
- Führer, F.; Wetterich, C. Backreaction in Growing Neutrino Quintessence. Phys. Rev. D 2015, 91, 123542. [Google Scholar] [CrossRef]
- Casas, S.; Pettorino, V.; Wetterich, C. Dynamics of neutrino lumps in growing neutrino quintessence. Phys. Rev. D 2016, 94, 103518. [Google Scholar] [CrossRef]
- del Campo, S.; Herrera, R.; Olivares, G.; Pavon, D. Interacting models of soft coincidence. Phys. Rev. D 2006, 74, 023501. [Google Scholar] [CrossRef]
- Wei, H.; Zhang, S.N. Interacting Energy Components and Observational H(z) Data. Phys. Lett. B 2007, 654, 139–147. [Google Scholar] [CrossRef]
- Caldera-Cabral, G.; Maartens, R.; Urena-Lopez, L.A. Dynamics of interacting dark energy. Phys. Rev. D 2009, 79, 063518. [Google Scholar] [CrossRef]
- del Campo, S.; Herrera, R.; Pavón, D. Interaction in the dark sector. Phys. Rev. D 2015, 91, 123539. [Google Scholar] [CrossRef]
- Chimento, L.P. Linear and nonlinear interactions in the dark sector. Phys. Rev. D 2010, 81, 043525. [Google Scholar] [CrossRef]
- Verma, M.M.; Pathak, S.D. The BICEP2 data and a single Higgs-like interacting scalar field. Int. J. Mod. Phys. D 2014, 23, 1450075. [Google Scholar] [CrossRef]
- Sanchez, G.; Ivan, E. Dark matter interacts with variable vacuum energy. Gen. Rel. Grav. 2014, 46, 1769. [Google Scholar] [CrossRef]
- Shahalam, M.; Pathak, S.D.; Verma, M.M.; Khlopov, M.Y.; Myrzakulov, R. Dynamics of interacting quintessence. Eur. Phys. J. C 2015, 75, 395. [Google Scholar] [CrossRef]
- Valiviita, J.; Majerotto, E.; Maartens, R. Instability in interacting dark energy and dark matter fluids. J. Cosmol. Astropart. Phys. 2008, 7, 20. [Google Scholar] [CrossRef]
- Pettorino, V.; Baccigalupi, C. Coupled and Extended Quintessence: Theoretical differences and structure formation. Phys. Rev. D 2008, 77, 103003. [Google Scholar] [CrossRef]
- van de Bruck, C.; Mifsud, J.; Mimoso, J.P.; Nunes, N.J. Generalized dark energy interactions with multiple fluids. J. Cosmol. Astropart. Phys. 2016, 11, 31. [Google Scholar] [CrossRef]
- van de Bruck, C.; Morrice, J. Disformal couplings and the dark sector of the universe. J. Cosmol. Astropart. Phys. 2015, 4, 36. [Google Scholar] [CrossRef]
- Koivisto, T.S.; Mota, D.F.; Zumalacarregui, M. Screening Modifications of Gravity through Disformally Coupled Fields. Phys. Rev. Lett. 2012, 109, 241102. [Google Scholar] [CrossRef]
- Wetterich, C. Cosmologies With Variable Newton’s ‘Constant’. Nucl. Phys. 1988, B302, 645–667. [Google Scholar] [CrossRef]
- Bernal, N.; Rubio, J.; Veermäe, H. UV Freeze-in in Starobinsky Inflation. J. Cosmol. Astropart. Phys. 2020, 10, 21. [Google Scholar] [CrossRef]
- Amendola, L.; Tocchini-Valentini, D. Baryon bias and structure formation in an accelerating universe. Phys. Rev. D 2002, 66, 043528. [Google Scholar] [CrossRef]
- Bonometto, S.A.; Sassi, G.; La Vacca, G. Dark energy from dark radiation in strongly coupled cosmologies with no fine tuning. J. Cosmol. Astropart. Phys. 2012, 8, 15. [Google Scholar] [CrossRef]
- Bonometto, S.A.; Mainini, R. Fluctuations in strongly coupled cosmologies. J. Cosmol. Astropart. Phys. 2014, 3, 38. [Google Scholar] [CrossRef]
- Bonometto, S.A.; Mainini, R.; Macciò, A.V. Strongly coupled dark energy cosmologies: Preserving ΛCDM success and easing low scale problems—I. Linear theory revisited. Mon. Not. Roy. Astron. Soc. 2015, 453, 1002–1012. [Google Scholar] [CrossRef]
- Macciò, A.V.; Mainini, R.; Penzo, C.; Bonometto, S.A. Strongly coupled dark energy cosmologies: Preserving ΛCDM success and easing low-scale problems—II. Cosmological simulations. Mon. Not. Roy. Astron. Soc. 2015, 453, 1371–1378. [Google Scholar] [CrossRef]
- Bonometto, S.A.; Mezzetti, M.; Mainini, R. Strongly Coupled Dark Energy with Warm dark matter vs. LCDM. J. Cosmol. Astropart. Phys. 2017, 10, 11. [Google Scholar] [CrossRef]
- Bonometto, S.; Mainini, R. Coupled DM heating in SCDEW cosmologies. Entropy 2017, 19, 398. [Google Scholar] [CrossRef]
- Amendola, L.; Rubio, J.; Wetterich, C. Primordial black holes from fifth forces. Phys. Rev. D 2018, 97, 081302. [Google Scholar] [CrossRef]
- Bonometto, S.A.; Mainini, R.; Mezzetti, M. Strongly Coupled Dark Energy Cosmologies yielding large mass Primordial Black Holes. Mon. Not. Roy. Astron. Soc. 2019, 486, 2321–2335. [Google Scholar] [CrossRef]
- Flores, M.M.; Kusenko, A. Primordial Black Holes from Long-Range Scalar Forces and Scalar Radiative Cooling. Phys. Rev. Lett. 2021, 126, 041101. [Google Scholar] [CrossRef]
- Domènech, G.; Sasaki, M. Cosmology of strongly interacting fermions in the early universe. J. Cosmol. Astropart. Phys. 2021, 6, 30. [Google Scholar] [CrossRef]
- Savastano, S.; Amendola, L.; Rubio, J.; Wetterich, C. Primordial dark matter halos from fifth forces. Phys. Rev. D 2019, 100, 083518. [Google Scholar] [CrossRef]
- Pettorino, V.; Wintergerst, N.; Amendola, L.; Wetterich, C. Neutrino lumps and the Cosmic Microwave Background. Phys. Rev. D 2010, 82, 123001. [Google Scholar] [CrossRef]
- Brouzakis, N.; Pettorino, V.; Tetradis, N.; Wetterich, C. Nonlinear matter spectra in growing neutrino quintessence. J. Cosmol. Astropart. Phys. 2011, 3, 49. [Google Scholar] [CrossRef][Green Version]
- Baldi, M.; Pettorino, V.; Amendola, L.; Wetterich, C. Oscillating nonlinear large scale structure in growing neutrino quintessence. Mon. Not. Roy. Astron. Soc. 2011, 418, 214. [Google Scholar] [CrossRef]
- Tocchini-Valentini, D.; Amendola, L. Stationary dark energy with a baryon dominated era: Solving the coincidence problem with a linear coupling. Phys. Rev. 2002, D65, 063508. [Google Scholar] [CrossRef]
- Kallosh, R.; Linde, A.D.; Linde, D.A.; Susskind, L. Gravity and global symmetries. Phys. Rev. D 1995, 52, 912–935. [Google Scholar] [CrossRef]
- Figueroa, D.G.; Byrnes, C.T. The Standard Model Higgs as the origin of the hot Big Bang. Phys. Lett. B 2017, 767, 272–277. [Google Scholar] [CrossRef]
- Nakama, T.; Yokoyama, J. Reheating through the Higgs amplified by spinodal instabilities and gravitational creation of gravitons. PTEP 2019, 2019, 033E02. [Google Scholar] [CrossRef]
- Fairbairn, M.; Kainulainen, K.; Markkanen, T.; Nurmi, S. Despicable Dark Relics: Generated by gravity with unconstrained masses. J. Cosmol. Astropart. Phys. 2019, 4, 5. [Google Scholar] [CrossRef]
- Laulumaa, L.; Markkanen, T.; Nurmi, S. Primordial dark matter from curvature induced symmetry breaking. J. Cosmol. Astropart. Phys. 2020, 8, 2. [Google Scholar] [CrossRef]
- Babichev, E.; Gorbunov, D.; Ramazanov, S. Gravitational misalignment mechanism of Dark Matter production. J. Cosmol. Astropart. Phys. 2020, 8, 47. [Google Scholar] [CrossRef]
- Felder, G.N.; Garcia-Bellido, J.; Greene, P.B.; Kofman, L.; Linde, A.D.; Tkachev, I. Dynamics of symmetry breaking and tachyonic preheating. Phys. Rev. Lett. 2001, 87, 011601. [Google Scholar] [CrossRef]
- Felder, G.N.; Kofman, L.; Linde, A.D. Tachyonic instability and dynamics of spontaneous symmetry breaking. Phys. Rev. D 2001, 64, 123517. [Google Scholar] [CrossRef]
- Bettoni, D.; Rubio, J. Hubble-induced phase transitions: Walls are not forever. J. Cosmol. Astropart. Phys. 2020, 1, 2. [Google Scholar] [CrossRef]
- Guth, A.H.; Pi, S.Y. The Quantum Mechanics of the Scalar Field in the New Inflationary Universe. Phys. Rev. D 1985, 32, 1899–1920. [Google Scholar] [CrossRef] [PubMed]
- Garcia-Bellido, J.; Garcia Perez, M.; Gonzalez-Arroyo, A. Symmetry breaking and false vacuum decay after hybrid inflation. Phys. Rev. D 2003, 67, 103501. [Google Scholar] [CrossRef]
- Lozanov, K.D.; Amin, M.A. Equation of State and Duration to Radiation Domination after Inflation. Phys. Rev. Lett. 2017, 119, 061301. [Google Scholar] [CrossRef]
- Lozanov, K.D.; Amin, M.A. Self-resonance after inflation: Oscillons, transients and radiation domination. Phys. Rev. D 2018, 97, 023533. [Google Scholar] [CrossRef]
- Garcia-Bellido, J.; Figueroa, D.G.; Rubio, J. Preheating in the Standard Model with the Higgs-Inflaton coupled to gravity. Phys. Rev. 2009, D79, 063531. [Google Scholar] [CrossRef]
- Rubio, J. Higgs inflation and vacuum stability. J. Phys. Conf. Ser. 2015, 631, 012032. [Google Scholar] [CrossRef]
- Repond, J.; Rubio, J. Combined Preheating on the lattice with applications to Higgs inflation. J. Cosmol. Astropart. Phys. 2016, 1607, 043. [Google Scholar] [CrossRef]
- Fan, J.; Lozanov, K.D.; Lu, Q. Spillway Preheating. J. High Energy Phys. 2021, 5, 69. [Google Scholar] [CrossRef]
- Dufaux, J.F.; Felder, G.N.; Kofman, L.; Peloso, M.; Podolsky, D. Preheating with trilinear interactions: Tachyonic resonance. J. Cosmol. Astropart. Phys. 2006, 7, 6. [Google Scholar] [CrossRef]
- Kamada, A.; Yamada, M. Gravitational wave signals from short-lived topological defects in the MSSM. J. Cosmol. Astropart. Phys. 2015, 10, 21. [Google Scholar] [CrossRef]
- Dufaux, J.F.; Figueroa, D.G.; Garcia-Bellido, J. Gravitational Waves from Abelian Gauge Fields and Cosmic Strings at Preheating. Phys. Rev. D 2010, 82, 083518. [Google Scholar] [CrossRef]
- Figueroa, D.G.; Hindmarsh, M.; Urrestilla, J. Exact Scale-Invariant Background of Gravitational Waves from Cosmic Defects. Phys. Rev. Lett. 2013, 110, 101302. [Google Scholar] [CrossRef] [PubMed]
- Giblin, J.T., Jr.; Price, L.R.; Siemens, X.; Vlcek, B. Gravitational Waves from Global Second Order Phase Transitions. J. Cosmol. Astropart. Phys. 2012, 11, 6. [Google Scholar] [CrossRef][Green Version]
- Gorghetto, M.; Hardy, E.; Villadoro, G. Axions from Strings: The Attractive Solution. J. High Energy Phys. 2018, 7, 151. [Google Scholar] [CrossRef]
- Vaquero, A.; Redondo, J.; Stadler, J. Early seeds of axion miniclusters. J. Cosmol. Astropart. Phys. 2019, 4, 12. [Google Scholar] [CrossRef]
- Bennett, D.P.; Bouchet, F.R. Cosmic string evolution. Phys. Rev. Lett. 1989, 63, 2776. [Google Scholar] [CrossRef]
- Perivolaropoulos, L. COBE versus cosmic strings: An Analytical model. Phys. Lett. B 1993, 298, 305–311. [Google Scholar] [CrossRef]
- Gouttenoire, Y.; Servant, G.; Simakachorn, P. Beyond the Standard Models with Cosmic Strings. J. Cosmol. Astropart. Phys. 2020, 7, 32. [Google Scholar] [CrossRef]
- Aggarwal, N.; Aguiar, O.D.; Bauswein, A.; Cella, G.; Clesse, S.; Cruise, A.M.; Domcke, V.; Figueroa, D.; Geraci, A.; Goryachev, M.; et al. Challenges and Opportunities of Gravitational Wave Searches at MHz to GHz Frequencies. arXiv 2020, arXiv:2011.12414. [Google Scholar] [CrossRef]
- Sakharov, A.D. Violation of CP Invariance, C asymmetry, and baryon asymmetry of the universe. Pisma Zh. Eksp. Teor. Fiz. 1967, 5, 32–35. [Google Scholar] [CrossRef]
- Affleck, I.; Dine, M. A New Mechanism for Baryogenesis. Nucl. Phys. B 1985, 249, 361–380. [Google Scholar] [CrossRef]
- Dine, M.; Randall, L.; Thomas, S.D. Baryogenesis from flat directions of the supersymmetric standard model. Nucl. Phys. B 1996, 458, 291–326. [Google Scholar] [CrossRef]
- Sakstein, J.; Trodden, M. Baryogenesis via Dark Matter-Induced Symmetry Breaking in the Early Universe. Phys. Lett. B 2017, 774, 183–188. [Google Scholar] [CrossRef]
- Sakstein, J.; Solomon, A.R. Baryogenesis in Lorentz-violating gravity theories. Phys. Lett. B 2017, 773, 186–190. [Google Scholar] [CrossRef]
- Macpherson, A.L.; Campbell, B.A. Biased discrete symmetry breaking and Fermi balls. Phys. Lett. B 1995, 347, 205–210. [Google Scholar] [CrossRef][Green Version]
- Coulson, D.; Lalak, Z.; Ovrut, B.A. Biased domain walls. Phys. Rev. D 1996, 53, 4237–4246. [Google Scholar] [CrossRef]
- Avelino, P.P.; Martins, C.J.A.P.; Sousa, L. Dynamics of Biased Domain Walls and the Devaluation Mechanism. Phys. Rev. D 2008, 78, 043521. [Google Scholar] [CrossRef]
- Markkanen, T.; Nurmi, S. Dark matter from gravitational particle production at reheating. J. Cosmol. Astropart. Phys. 2017, 2, 8. [Google Scholar] [CrossRef]
- Bassett, B.A.; Tamburini, F.; Kaiser, D.I.; Maartens, R. Metric preheating and limitations of linearized gravity. Nucl. Phys. B 1999, 561, 188–240. [Google Scholar] [CrossRef]
- Kaiser, D.I. Primordial spectral indices from generalized Einstein theories. Phys. Rev. D 1995, 52, 4295–4306. [Google Scholar] [CrossRef] [PubMed]
- da Silva, G.; Ramos, R. The Lambert—Tsallis Wq function. Phys. A Stat. Mech. Its Appl. 2019, 525, 164–170. [Google Scholar] [CrossRef]









Publisher’s Note: MDPI stays neutral with regard to jurisdictional claims in published maps and institutional affiliations. |
© 2022 by the authors. Licensee MDPI, Basel, Switzerland. This article is an open access article distributed under the terms and conditions of the Creative Commons Attribution (CC BY) license (https://creativecommons.org/licenses/by/4.0/).
Share and Cite
Bettoni, D.; Rubio, J. Quintessential Inflation: A Tale of Emergent and Broken Symmetries. Galaxies 2022, 10, 22. https://doi.org/10.3390/galaxies10010022
Bettoni D, Rubio J. Quintessential Inflation: A Tale of Emergent and Broken Symmetries. Galaxies. 2022; 10(1):22. https://doi.org/10.3390/galaxies10010022
Chicago/Turabian StyleBettoni, Dario, and Javier Rubio. 2022. "Quintessential Inflation: A Tale of Emergent and Broken Symmetries" Galaxies 10, no. 1: 22. https://doi.org/10.3390/galaxies10010022
APA StyleBettoni, D., & Rubio, J. (2022). Quintessential Inflation: A Tale of Emergent and Broken Symmetries. Galaxies, 10(1), 22. https://doi.org/10.3390/galaxies10010022

