Pharmacokinetic Evaluation of Tacrolimus in Chinese Adult Patients during the Early Stages Post-Lung Transplantation
Abstract
1. Introduction
2. Material and Methods
2.1. Study Design and Population
2.2. Pharmacokinetic Analysis
3. Results
3.1. Study Population
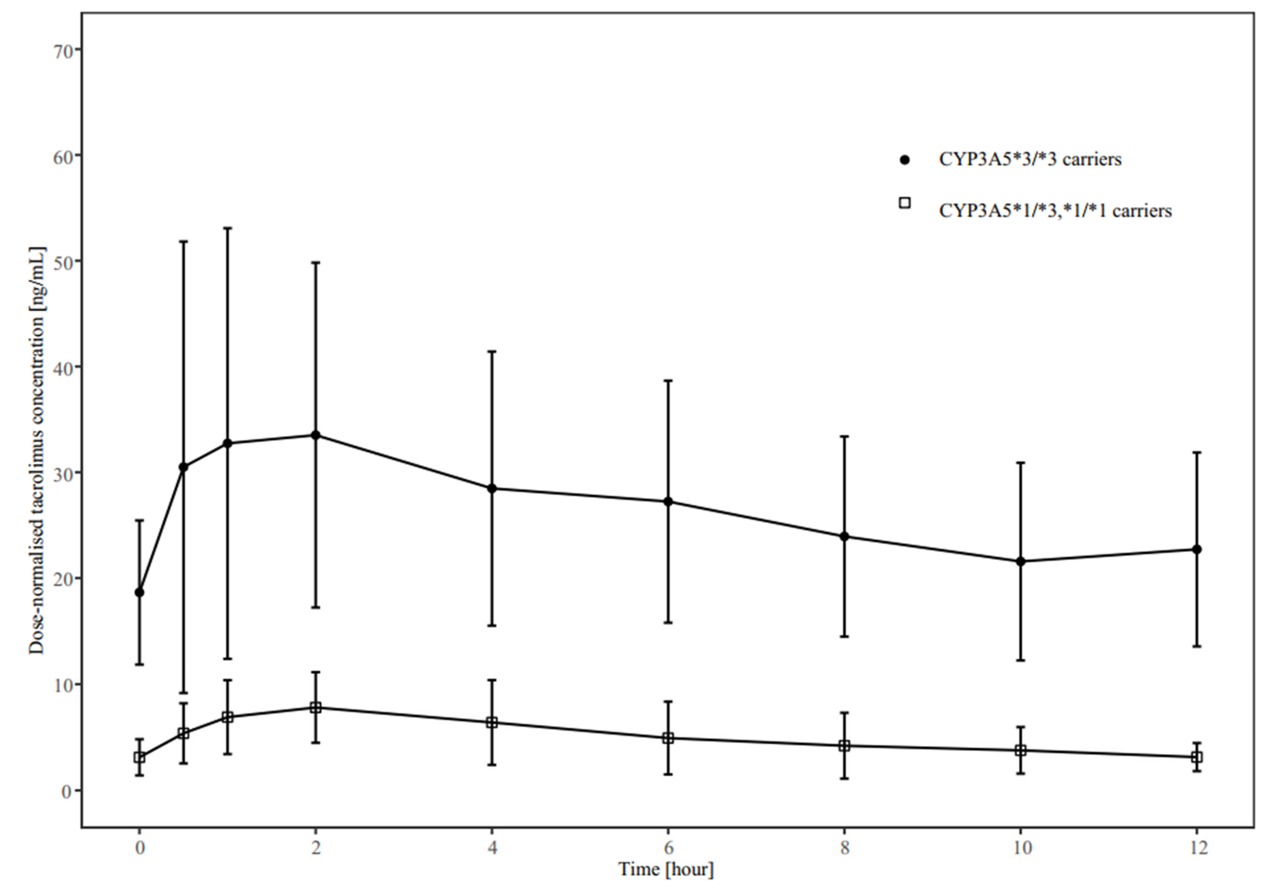
3.2. Pharmacokinetic Analysis
4. Discussion
5. Conclusions
Supplementary Materials
Author Contributions
Funding
Institutional Review Board Statement
Informed Consent Statement
Data Availability Statement
Conflicts of Interest
Correction Statement
References
- Sikma, M.A.; van Maarseveen, E.M.; van de Graaf, E.A.; Kirkels, J.H.; Verhaar, M.C.; Donker, D.W.; Kesecioglu, J.; Meulenbelt, J. Pharmacokinetics and Toxicity of Tacrolimus Early After Heart and Lung Transplantation. Am. J. Transplant. 2015, 15, 2301–2313. [Google Scholar] [CrossRef] [PubMed]
- Organ Procurement and Transplantation Network and Scientific Registry of Transplant Recipients 2010 data report. Am. J. Transplant. 2012, 12 (Suppl. 1), 1–156. [CrossRef] [PubMed]
- Christie, J.D.; Edwards, L.B.; Kucheryavaya, A.Y.; Benden, C.; Dipchand, A.I.; Dobbels, F.; Kirk, R.; Rahmel, A.O.; Stehlik, J.; Hertz, M.I.; et al. The Registry of the International Society for Heart and Lung Transplantation: 29th adult lung and heart-lung transplant report-2012. J. Heart Lung Transplant. 2012, 31, 1073–1086. [Google Scholar] [CrossRef] [PubMed]
- Monchaud, C.; Marquet, P. Pharmacokinetic optimization of immunosuppressive therapy in thoracic transplantation: Part I. Clin. Pharmacokinet. 2009, 48, 419–462. [Google Scholar] [CrossRef] [PubMed]
- Staatz, C.E.; Tett, S.E. Clinical pharmacokinetics and pharmacodynamics of tacrolimus in solid organ transplantation. Clin. Pharmacokinet. 2004, 43, 623–653. [Google Scholar] [CrossRef]
- Knoop, C.; Haverich, A.; Fischer, S. Immunosuppressive therapy after human lung transplantation. Eur. Respir. J. 2004, 23, 159–171. [Google Scholar] [CrossRef]
- Zahir, H.; Nand, R.A.; Brown, K.F.; Tattam, B.N.; McLachlan, A.J. Validation of methods to study the distribution and protein binding of tacrolimus in human blood. J. Pharmacol. Toxicol. Methods 2001, 46, 27–35. [Google Scholar] [CrossRef]
- Hu, C.X.; Chen, W.H.; He, J.X.; Jiang, G.N.; Li, X.S.; Wei, D.; Wu, B.; Zhang, J.; Wang, C.; Chen, J.Y. Lung transplantation in China between 2015 and 2018. Chin. Med. J. 2019, 132, 2783–2789. [Google Scholar] [CrossRef]
- Venkataramanan, R.; Swaminathan, A.; Prasad, T.; Jain, A.; Zuckerman, S.; Warty, V.; McMichael, J.; Lever, J.; Burckart, G.; Starzl, T. Clinical pharmacokinetics of tacrolimus. Clin. Pharmacokinet. 1995, 29, 404–430. [Google Scholar] [CrossRef]
- Spencer, C.M.; Goa, K.L.; Gillis, J.C. Tacrolimus. An update of its pharmacology and clinical efficacy in the management of organ transplantation. Drugs 1997, 54, 925–975. [Google Scholar] [CrossRef]
- Pollock-Barziv, S.M.; Finkelstein, Y.; Manlhiot, C.; Dipchand, A.I.; Hebert, D.; Ng, V.L.; Solomon, M.; McCrindle, B.W.; Grant, D. Variability in tacrolimus blood levels increases the risk of late rejection and graft loss after solid organ transplantation in older children. Pediatr. Transplant. 2010, 14, 968–975. [Google Scholar] [CrossRef]
- Degraeve, A.L.; Moudio, S.; Haufroid, V.; Chaib-Eddour, D.; Mourad, M.; Bindels, L.B.; Elens, L. Predictors of tacrolimus pharmacokinetic variability: Current evidences and future perspectives. Expert Opin. Drug Metab. Toxicol. 2020, 16, 769–782. [Google Scholar] [CrossRef]
- Monchaud, C.; de Winter, B.C.; Knoop, C.; Estenne, M.; Reynaud-Gaubert, M.; Pison, C.; Stern, M.; Kessler, R.; Guillemain, R.; Marquet, P.; et al. Population pharmacokinetic modelling and design of a Bayesian estimator for therapeutic drug monitoring of tacrolimus in lung transplantation. Clin. Pharmacokinet. 2012, 51, 175–186. [Google Scholar] [CrossRef]
- Lloberas, N.; Elens, L.; Llaudo, I.; Padulles, A.; van-Gelder, T.; Hesselink, D.A.; Colom, H.; Andreu, F.; Torras, J.; Bestard, O.; et al. The combination of CYP3A4*22 and CYP3A5*3 single-nucleotide polymorphisms determines tacrolimus dose requirement after kidney transplantation. Pharmacogenet. Genom. 2017, 27, 313–322. [Google Scholar] [CrossRef]
- Zheng, H.; Zeevi, A.; Schuetz, E.; Lamba, J.; McCurry, K.; Griffith, B.P.; Webber, S.; Ristich, J.; Dauber, J.; Iacono, A.; et al. Tacrolimus dosing in adult lung transplant patients is related to cytochrome P4503A5 gene polymorphism. J. Clin. Pharmacol. 2004, 44, 135–140. [Google Scholar] [CrossRef]
- Ruiz, J.; Herrero, M.J.; Boso, V.; Megias, J.E.; Hervas, D.; Poveda, J.L.; Escriva, J.; Pastor, A.; Sole, A.; Alino, S.F. Impact of Single Nucleotide Polymorphisms (SNPs) on Immunosuppressive Therapy in Lung Transplantation. Int. J. Mol. Sci. 2015, 16, 20168–20182. [Google Scholar] [CrossRef]
- Calabrese, D.R.; Florez, R.; Dewey, K.; Hui, C.; Torgerson, D.; Chong, T.; Faust, H.; Rajalingam, R.; Hays, S.R.; Golden, J.A.; et al. Genotypes associated with tacrolimus pharmacokinetics impact clinical outcomes in lung transplant recipients. Clin. Transplant. 2018, 32, e13332. [Google Scholar] [CrossRef]
- Miano, T.A.; Flesch, J.D.; Feng, R.; Forker, C.M.; Brown, M.; Oyster, M.; Kalman, L.; Rushefski, M.; Cantu, E., 3rd; Porteus, M.; et al. Early Tacrolimus Concentrations After Lung Transplant Are Predicted by Combined Clinical and Genetic Factors and Associated with Acute Kidney Injury. Clin. Pharmacol. Ther. 2020, 107, 462–470. [Google Scholar] [CrossRef]
- Goto, M.; Masuda, S.; Kiuchi, T.; Ogura, Y.; Oike, F.; Okuda, M.; Tanaka, K.; Inui, K. CYP3A5*1-carrying graft liver reduces the concentration/oral dose ratio of tacrolimus in recipients of living-donor liver transplantation. Pharmacogenetics 2004, 14, 471–478. [Google Scholar] [CrossRef]
- Thervet, E.; Anglicheau, D.; King, B.; Schlageter, M.H.; Cassinat, B.; Beaune, P.; Legendre, C.; Daly, A.K. Impact of cytochrome p450 3A5 genetic polymorphism on tacrolimus doses and concentration-to-dose ratio in renal transplant recipients. Transplantation 2003, 76, 1233–1235. [Google Scholar] [CrossRef]
- Saint-Marcoux, F.; Knoop, C.; Debord, J.; Thiry, P.; Rousseau, A.; Estenne, M.; Marquet, P. Pharmacokinetic study of tacrolimus in cystic fibrosis and non-cystic fibrosis lung transplant patients and design of Bayesian estimators using limited sampling strategies. Clin. Pharmacokinet. 2005, 44, 1317–1328. [Google Scholar] [CrossRef] [PubMed]
- Rey, E.; Treluyer, J.M.; Pons, G. Drug disposition in cystic fibrosis. Clin. Pharmacokinet. 1998, 35, 313–329. [Google Scholar] [CrossRef] [PubMed]
- Brunet, M.; van Gelder, T.; Asberg, A.; Haufroid, V.; Hesselink, D.A.; Langman, L.; Lemaitre, F.; Marquet, P.; Seger, C.; Shipkova, M.; et al. Therapeutic Drug Monitoring of Tacrolimus-Personalized Therapy: Second Consensus Report. Ther. Drug Monit. 2019, 41, 261–307. [Google Scholar] [CrossRef] [PubMed]
- Du, W.W.; Wang, X.X.; Zhang, D.; Chen, W.Q.; Zhang, X.L.; Li, P.M. Retrospective analysis on incidence and risk factors of early onset acute kidney injury after lung transplantation and its association with mortality. Ren. Fail. 2021, 43, 535–542. [Google Scholar] [CrossRef]
- Mao, W.; Chen, J.; Zheng, M.; Wu, B.; Zhu, Y. Initial experience of lung transplantation at a single center in China. Transplant. Proc. 2013, 45, 349–355. [Google Scholar] [CrossRef]
- Wallinder, A.; Danielsson, C.; Magnusson, J.; Riise, G.C.; Dellgren, G. Outcomes and Long-term Survival After Pulmonary Retransplantation: A Single-Center Experience. Ann. Thorac. Surg. 2019, 108, 1037–1044. [Google Scholar] [CrossRef]
- Yamada, T.; Zhang, M.; Masuda, S. Significance of Ethnic Factors in Immunosuppressive Therapy Management After Organ Transplantation. Ther. Drug Monit. 2020, 42, 369–380. [Google Scholar] [CrossRef]
- Sikma, M.A.; Hunault, C.C.; Van Maarseveen, E.M.; Huitema, A.D.R.; Van de Graaf, E.A.; Kirkels, J.H.; Verhaar, M.C.; .Grutters, J.C.; Kesecioglu, J.; De Lange, D.W. High Variability of Whole-Blood Tacrolimus Pharmacokinetics Early After Thoracic Organ Transplantation. Eur. J. Drug Metab. Pharmacokinet. 2020, 45, 123–134. [Google Scholar] [CrossRef]
- Levey, A.S.; Stevens, L.A.; Schmid, C.H.; Zhang, Y.L.; Castro, A.F., 3rd; Feldman, H.I.; Kusek, J.W.; Eggers, P.; Van Lente, F.; Greene, T.; et al. A new equation to estimate glomerular filtration rate. Ann. Intern. Med. 2009, 150, 604–612. [Google Scholar] [CrossRef]
- Wang, W.; Zhu, S.H.; Guo, W.Y.; Teng, F.; Wei, H.; Chen, W.S. Simultaneous Determination of Tacrolimus and Five Main Compounds of Wuzhi Capsule in Liver Transplant Patients’ Whole Blood by LC-MS/MS. Chin. J. Mod. Appl. Pharm. 2016, 33, 854–859. [Google Scholar]
- Shi, Y.Y.; He, L. SHEsis, a powerful software platform for analyses of linkage disequilibrium, haplotype construction, and genetic association at polymorphism loci. Cell Res. 2005, 15, 97–98. [Google Scholar] [CrossRef]
- Sheiner, L.B.; Beal, S.L. Some suggestions for measuring predictive performance. J. Pharmacokinet. Biopharm. 1981, 9, 503–512. [Google Scholar] [CrossRef]
- Xu, L.Y.; Jiao, Z.; Liu, F.Y.; Qiu, X.Y.; Ji, L.; Zhang, M. Pharmacokinetics Evaluation of Mycophenolic Acid and Its Glucuronide Metabolite in Chinese Renal Transplant Recipients Receiving Enteric-Coated Mycophenolate Sodium and Tacrolimus. Ther. Drug Monit. 2018, 40, 572–580. [Google Scholar] [CrossRef]
- Chen, W.; Wang, X.; Li, B.; Qin, W.; Li, S.; Wang, X.; Chen, W.; Zhang, X.; Li, P.; Zuo, X. Effects of Voriconazole Exposure on the Pharmacokinetics of Tacrolimus in Lung Transplantation Patients, Based on Therapeutic Drug Monitoring Data. J. Clin. Pharmacol. 2022, 62, 1310–1320. [Google Scholar] [CrossRef]
- Cai, X.; Song, H.; Jiao, Z.; Yang, H.; Zhu, M.; Wang, C.; Wei, D.; Shi, L.; Wu, B.; Chen, J. Population pharmacokinetics and dosing regimen optimization of tacrolimus in Chinese lung transplant recipients. Eur. J. Pharm. Sci. 2020, 152, 105448. [Google Scholar] [CrossRef]
- Darley, D.R.; Carlos, L.; Hennig, S.; Liu, Z.; Day, R.; Glanville, A.R. Tacrolimus exposure early after lung transplantation and exploratory associations with acute cellular rejection. Eur. J. Clin. Pharmacol. 2019, 75, 879–888. [Google Scholar] [CrossRef]
- De Jonge, H.; Vanhove, T.; de Loor, H.; Verbeke, K.; Kuypers, D.R. Progressive decline in tacrolimus clearance after renal transplantation is partially explained by decreasing CYP3A4 activity and increasing haematocrit. Br. J. Clin. Pharmacol. 2015, 80, 548–559. [Google Scholar] [CrossRef]
- Passey, C.; Birnbaum, A.K.; Brundage, R.C.; Oetting, W.S.; Israni, A.K.; Jacobson, P.A. Dosing equation for tacrolimus using genetic variants and clinical factors. Br. J. Clin. Pharmacol. 2011, 72, 948–957. [Google Scholar] [CrossRef]
- Bergmann, T.K.; Hennig, S.; Barraclough, K.A.; Isbel, N.M.; Staatz, C.E. Population pharmacokinetics of tacrolimus in adult kidney transplant patients: Impact of CYP3A5 genotype on starting dose. Ther. Drug Monit. 2014, 36, 62–70. [Google Scholar] [CrossRef]
- Lazarus, H.M.; Blumer, J.L.; Yanovich, S.; Schlamm, H.; Romero, A. Safety and pharmacokinetics of oral voriconazole in patients at risk of fungal infection: A dose escalation study. J. Clin. Pharmacol. 2002, 42, 395–402. [Google Scholar] [CrossRef]
- Purkins, L.; Wood, N.; Greenhalgh, K.; Allen, M.J.; Oliver, S.D. Voriconazole, a novel wide-spectrum triazole: Oral pharmacokinetics and safety. Br. J. Clin. Pharmacol. 2003, 56 (Suppl. 1), 10–16. [Google Scholar] [CrossRef]
- Mori, T.; Kato, J.; Yamane, A.; Sakurai, M.; Kohashi, S.; Kikuchi, T.; Ono, Y.; Okamoto, S. Drug interaction between voriconazole and tacrolimus and its association with the bioavailability of oral voriconazole in recipients of allogeneic hematopoietic stem cell transplantation. Int. J. Hematol. 2012, 95, 564–569. [Google Scholar] [CrossRef] [PubMed]
- Moriyama, B.; Kadri, S.; Henning, S.A.; Danner, R.L.; Walsh, T.J.; Penzak, S.R. Therapeutic Drug Monitoring and Genotypic Screening in the Clinical Use of Voriconazole. Curr. Fungal. Infect. Rep. 2015, 9, 74–87. [Google Scholar] [CrossRef] [PubMed]
- Groll, A.H.; Townsend, R.; Desai, A.; Azie, N.; Jones, M.; Engelhardt, M.; Schmitt-Hoffman, A.H.; Bruggemann, R.J.M. Drug-drug interactions between triazole antifungal agents used to treat invasive aspergillosis and immunosuppressants metabolized by cytochrome P450 3A4. Transpl. Infect. Dis. 2017, 19, e12751. [Google Scholar] [CrossRef] [PubMed]
- Han, N.; Ha, S.; Yun, H.Y.; Kim, M.G.; Min, S.I.; Ha, J.; Lee, J.I.; Oh, J.M.; Kim, I.W. Population pharmacokinetic-pharmacogenetic model of tacrolimus in the early period after kidney transplantation. Basic Clin. Pharmacol. Toxicol. 2014, 114, 400–406. [Google Scholar] [CrossRef]
- Zhu, W.; Xue, L.; Peng, H.; Duan, Z.; Zheng, X.; Cao, D.; Wen, J.; Wei, X. Tacrolimus population pharmacokinetic models according to CYP3A5/CYP3A4/POR genotypes in Chinese Han renal transplant patients. Pharmacogenomics 2018, 19, 1013–1025. [Google Scholar] [CrossRef]
- Andrews, L.M.; Hesselink, D.A.; van Schaik, R.H.N.; van Gelder, T.; de Fijter, J.W.; Lloberas, N.; Elens, L.; Moes, D.J.A.R.; de Winter, B.C.M. A population pharmacokinetic model to predict the individual starting dose of tacrolimus in adult renal transplant recipients. Br. J. Clin. Pharmacol. 2019, 85, 601–615. [Google Scholar] [CrossRef]
- Han, Y.; Zhou, H.; Cai, J.; Huang, J.; Zhang, J.; Shi, S.J.; Liu, Y.N.; Zhang, Y. Prediction of tacrolimus dosage in the early period after heart transplantation: A population pharmacokinetic approach. Pharmacogenomics 2019, 20, 21–35. [Google Scholar] [CrossRef]
- Renders, L.; Frisman, M.; Ufer, M.; Mosyagin, I.; Haenisch, S.; Ott, U.; Caliebe, A.; Dechant, M.; Braun, F.; Kunzendorf, U.; et al. CYP3A5 genotype markedly influences the pharmacokinetics of tacrolimus and sirolimus in kidney transplant recipients. Clin. Pharmacol. Ther. 2007, 81, 228–234. [Google Scholar] [CrossRef]
- Vanhove, T.; Bouwsma, H.; Hilbrands, L.; Swen, J.J.; Spriet, I.; Annaert, P.; Vanaudenaerde, B.; Verleden, G.; Vos, R.; Kuypers, D.R.J. Determinants of the Magnitude of Interaction Between Tacrolimus and Voriconazole/Posaconazole in Solid Organ Recipients. Am. J. Transplant. 2017, 17, 2372–2380. [Google Scholar] [CrossRef]
- Iwamoto, T.; Monma, F.; Fujieda, A.; Nakatani, K.; Gayle, A.A.; Nobori, T.; Katayama, N.; Okuda, M. Effect of Genetic Polymorphism of CYP3A5 and CYP2C19 and Concomitant Use of Voriconazole on Blood Tacrolimus Concentration in Patients Receiving Hematopoietic Stem Cell Transplantation. Ther. Drug Monit. 2015, 37, 581–588. [Google Scholar] [CrossRef]
- Huang, X.; Zhou, Y.; Zhang, J.; Xiang, H.; Mei, H.; Liu, L.; Tong, L.; Zeng, F.; Huang, Y.; Zhou, H.; et al. The importance of CYP2C19 genotype in tacrolimus dose optimization when concomitant with voriconazole in heart transplant recipients. Br. J. Clin. Pharmacol. 2022, 88, 4515–4525. [Google Scholar] [CrossRef]
- Rower, J.E.; Stockmann, C.; Linakis, M.W.; Kumar, S.S.; Liu, X.; Korgenski, E.K.; Sherwin, C.M.T.; Molina, K.M. Predicting tacrolimus concentrations in children receiving a heart transplant using a population pharmacokinetic model. BMJ Paediatr. Open 2017, 1, e000147. [Google Scholar] [CrossRef]
- Ragette, R.; Kamler, M.; Weinreich, G.; Teschler, H.; Jakob, H. Tacrolimus pharmacokinetics in lung transplantation: New strategies for monitoring. J. Heart Lung Transplant. 2005, 24, 1315–1319. [Google Scholar] [CrossRef]


| Variable | Median (Min-Max) /N(%) | Mean ± SD | 
|---|---|---|
| Number of patients | 14 (100%) | |
| Number of samples | 125 (100%) | |
| Postoperative time (day) | 3.50 [2.00, 8.00] | 4.14 (1.79) | 
| Tacrolimus dosage(mg) | 1 [0.5, 3] | 1.32 (0.72) | 
| Sex | ||
| Male (%) | 12 (85.7%) | |
| Female (%) | 2 (14.3%) | |
| Age (years) | 67.0 [48.0, 73.0] | 65.1 ± 7.67 | 
| Weight (kg) | 64.5 [46.8, 80.0] | 63.0 ± 10.4 | 
| Height (cm) | 168 [148, 179] | 167 ± 8.95 | 
| Body Mass Index (kg/m2) | 22.5 [16.2, 25.6] | 22.5 ± 2.80 | 
| Haemoglobin (g/L) | 101 [86.0, 122] | 102 ±10.8 | 
| Haematocrit (%) | 30.1 [25.6, 37.0] | 30.9 ± 3.22 | 
| Albumin (g/L) | 44.5 [36.0, 53.0] | 44.3 ± 4.86 | 
| Total protein (g/L) | 62.5 [52.0, 76.0] | 62.9 ± 7.28 | 
| Total bilirubin (μmol/L) | 35.8 [14.8, 116] | 39.0 ± 25.2 | 
| Aspartate aminotransferase (U/L) | 27.5 [19.0, 76.0] | 34.2 ± 17.0 | 
| Alanine aminotransferase (U/L) | 22.5 [8.00, 74.0] | 29.2 ± 20.8 | 
| Alkaline phosphatase (U/L) | 47.5 [39.0, 76.0] | 52.4 ± 12.1 | 
| γ-glutamyl transpeptidase (U/L) | 42.0 [12.0, 135] | 48.7 ± 35.4 | 
| Blood urea nitrogen (mmol/L) | 13.3 [7.50, 26.8] | 13.8 ± 5.02 | 
| Serum creatinine (μmol/L) | 69.5 [44.0, 113] | 73.3 ± 23.9 | 
| Glomerular filtration rate (mL/min) | 97.2 [55.2, 121] | 91.4 ± 21.3 | 
| Pulmonary diagnosis, n (%) | ||
| Chronic obstructive pulmonary disease | 11 (78.6%) | |
| Pulmonary interstitial fibrosis | 3 (21.4%) | |
| Transplant type, n (%) | ||
| Unilateral | 7 (50%) | |
| Bilateral | 7 (50%) | |
| Genotype (recipients) | ||
| CYP3A5*3 (rs776746) | ||
| *3/*3 | 5 (35.71%) | |
| *1/*3 | 8 (57.14%) | |
| *1/*1 | 1 (7.14%) | |
| CYP3A4*1G (rs2242480) | ||
| *1/*1 | 9 (64.29%) | |
| *1/*1G | 4 (28.57%) | |
| *1G/*1G | 1 (7.14%) | 
| Parameter | All (CV%) n = 14 | CYP3A5*3/*3 (CV%) n = 5 | Non-CYP3A5*3/*3(CV%) n = 9 | 
|---|---|---|---|
| Cmax(ng/mL) | 14.55 ± 1.87 (69.08) | 24.05 ± 1.22 (20.35) | 11.01 ± 1.83 (66.73) * | 
| Cmax/D(ng/mL) | 12.70 ± 2.29 (99.66) | 31.74 ± 1.63 (51.92) | 7.63 ± 1.54 (45.14) *** | 
| Cmin(ng/mL) | 5.58 ± 2.34 (103.17) | 12.88 ± 1.38 (32.89) | 3.50 ± 1.95 (74.84) ** | 
| Cmin/D(ng/mL) | 4.87 ± 2.94 (148.55) | 17.00 ± 1.48 (40.90) | 2.43 ± 1.72 (58.52) *** | 
| Tmax(h) | 2.00 (0.50–6.00) | 2.00 (0.50–6.00) | 2.00 (1.00–4.00) | 
| CL/F(L/h) | 9.95 ± 2.60 (121.94) | 3.37 ± 1.54 (45.63) | 18.13 ± 1.65 (53.32) *** | 
| AUC0–12h (ng·h/mL) | 115.23 ± 2.03 (80.50) | 224.55 ± 1.22 (20.18) | 79.55 ± 1.82 (65.74) ** | 
| AUC0–12h/D (ng·h/mL) | 100.54 ± 2.60 (121.94) | 296.30 ± 1.54 (45.63) | 55.15 ± 1.65 (53.32) *** | 
| Sampling Time (h) | Geometric Mean ± Geometric SD | R2 | MPE (%) Median (Range) | MAE (%) Median (Range) | >15% a | >20% b | >25% c | 
|---|---|---|---|---|---|---|---|
| 0 | 6.08 ± 2.24 | 0.777 | 11 (−36–119) | 18 (1–119) | 8 | 7 | 5 | 
| 0.5 | 9.68 ± 2.45 | 0.791 | 0 (−31–78) | 22 (3–78) | 8 | 7 | 6 | 
| 1 | 11.56 ± 2.47 | 0.748 | −1 (−32–72) | 12 (0–72) | 7 | 5 | 5 | 
| 2 | 13.86 ± 1.89 | 0.869 | −3 (−22–43) | 19 (2–43) | 8 | 7 | 2 | 
| 4 | 11.16 ± 2.01 | 0.979 | −2 (−24–16) | 7 (1–24) | 3 | 1 | 0 | 
| 6 | 9.10 ± 2.15 | 0.970 | −1 (−24–35) | 7 (2–35) | 4 | 4 | 2 | 
| 8 | 7.74 ± 2.20 | 0.945 | 2 (−34–44) | 11 (1–44) | 5 | 5 | 4 | 
| 10 | 6.98 ± 1.94 | 0.892 | 3 (−28–97) | 14 (3–97) | 5 | 4 | 3 | 
| 12 | 6.76 ± 2.30 | 0.954 | 0 (−24–105) | 8 (1–105) | 4 | 3 | 2 | 
| First Author (Year of Publication) | Country | Number of Patients (NCF/CF) | Number of Patients Taking Azole Antifungal | Postoperative Time (Day) | Daily Dose of Tacrolimus (mg) | Sampling Time | Age (Year) | Weight (kg) | Haematocrit (%) | Adjusted  CL/F * (L/h) | 
|---|---|---|---|---|---|---|---|---|---|---|
| Darley, et al., (2019) [36] | Australia | 18 (13/5) | 15 | 21 | 8.0 (4.0–11.2) | pre-dose, 1, 2, 3, 4, 5, and 6 h post-dose | 44 ± 16 | 62 ± 15 | / | 21.6 | 
| Cai, et al., (2020) [35] | China | 52 (52/0) | 37 | 27 (2–162) | 3 (0.125–13) | pre-dose | 54 (16–78) | 55 (32–75) | 29.3 (18–41.7) | 5.15 | 
| Chen, et al., (2022) [34] | China | 52 (52/0) | 52 | 86 (5–937) | 0.75 (0.17–4) | pre-dose | 60 (17–70) | 50 (32.0–86.4) | 31.5 (17.0–48.0) | 6.53 | 
| Current study | China | 14 (14/0) | 14 | 3.5 (2–8) | 2 (1.0–6) | pre-dose, 0.5, 1, 2, 4, 6, 8, 10, and 12 h post-dose | 67 (48–73) | 64.5 (46.8–80.0) | 30.1 (25.6–37.0) | 9.95 | 
| Disclaimer/Publisher’s Note: The statements, opinions and data contained in all publications are solely those of the individual author(s) and contributor(s) and not of MDPI and/or the editor(s). MDPI and/or the editor(s) disclaim responsibility for any injury to people or property resulting from any ideas, methods, instructions or products referred to in the content. | 
© 2023 by the authors. Licensee MDPI, Basel, Switzerland. This article is an open access article distributed under the terms and conditions of the Creative Commons Attribution (CC BY) license (https://creativecommons.org/licenses/by/4.0/).
Share and Cite
Cui, Y.-F.; Pan, Y.; Zhu, M.-F.; Jiao, Z. Pharmacokinetic Evaluation of Tacrolimus in Chinese Adult Patients during the Early Stages Post-Lung Transplantation. J. Pers. Med. 2023, 13, 656. https://doi.org/10.3390/jpm13040656
Cui Y-F, Pan Y, Zhu M-F, Jiao Z. Pharmacokinetic Evaluation of Tacrolimus in Chinese Adult Patients during the Early Stages Post-Lung Transplantation. Journal of Personalized Medicine. 2023; 13(4):656. https://doi.org/10.3390/jpm13040656
Chicago/Turabian StyleCui, Yi-Fan, Yan Pan, Min-Fang Zhu, and Zheng Jiao. 2023. "Pharmacokinetic Evaluation of Tacrolimus in Chinese Adult Patients during the Early Stages Post-Lung Transplantation" Journal of Personalized Medicine 13, no. 4: 656. https://doi.org/10.3390/jpm13040656
APA StyleCui, Y.-F., Pan, Y., Zhu, M.-F., & Jiao, Z. (2023). Pharmacokinetic Evaluation of Tacrolimus in Chinese Adult Patients during the Early Stages Post-Lung Transplantation. Journal of Personalized Medicine, 13(4), 656. https://doi.org/10.3390/jpm13040656
 
        




 
       