Abstract
COVID-19 infection triggered a global public health crisis during the 2020–2022 period, and it is still evolving. This highly transmissible respiratory disease can cause mild symptoms up to severe pneumonia with potentially fatal respiratory failure. In this cross-sectional study, 41 PCR-positive patients for SARS-CoV-2 and 42 healthy controls were recruited during the first wave of the pandemic in Mexico. The plasmatic expression of five circulating miRNAs involved in inflammatory and pathological host immune responses was assessed using RT-qPCR (Reverse Transcription quantitative Polymerase Chain Reaction). Compared with controls, a significant upregulation of miR-146a, miR-155, and miR-221 was observed; miR-146a had a positive correlation with absolute neutrophil count and levels of brain natriuretic propeptide (proBNP), and miR-221 had a positive correlation with ferritin and a negative correlation with total cholesterol. We found here that CDKN1B gen is a shared target of miR-146a, miR-221-3p, and miR-155-5p, paving the way for therapeutic interventions in severe COVID-19 patients. The ROC curve built with adjusted variables (miR-146a, miR-221-3p, miR-155-5p, age, and male sex) to differentiate individuals with severe COVID-19 showed an AUC of 0.95. The dysregulation of circulating miRNAs provides new insights into the underlying immunological mechanisms, and their possible use as biomarkers to discriminate against patients with severe COVID-19. Functional analysis showed that most enriched pathways were significantly associated with processes related to cell proliferation and immune responses (innate and adaptive). Twelve of the predicted gene targets have been validated in plasma/serum, reflecting their potential use as predictive prognosis biomarkers.
1. Introduction
SARS-CoV-2 virus is transmitted through aerosols and droplets. So far, the COVID-19 pandemic has resulted in more than 530 million cases and 6.3 million deaths [1].
Upon transmission, the virus particles bind the lung epithelial cells through interactions between the spike (S) protein and the host cellular entry receptor angiotensin-converting enzyme 2 (ACE2) [2], causing a negative regulation of ACE-2 with the consequent loss of its catalytic capacity to degrade angiotensin II. During the infectivity phase, the virus can also produce its own miRNAs, which could further regulate host miRNAs and their targets [3]. These host miRNAs may influence different phases of the viral life cycle, including translation, by attaching itself to the viral RNA or mRNA.
Viruses can induce the up-/downregulation of certain host miRNAs to evade the host’s immune system by suppressing antiviral factors, such as interferon (IFN) [4,5,6]. On the other hand, several miRNAs could have an antiviral effect, enabling the defense mechanisms to fight the infection [5,7].
Previous data on the mechanisms regulated by miRNAs suggest a possible role in COVID-19; miRNAs for which significant alterations have been reported are implicated in the regulation of the immune and/or inflammatory pathways at different levels: cytokine and chemokine synthesis; T-cell development, differentiation, and activation; or B-cell development, differentiation, and activation, among others [8]. Well-described associations have been reported in ventilated patients between miR-155 and inflammation; miR-208a/miR-499 and myocardial/cardiomyocyte damage; and miR-21/miR-126 in cardiac fibroblast and endothelial-cell dysfunction [9].
In this context, the use of molecular principles of gene regulation mechanisms could represent an innovative way to identify potential biomarkers of infection for developing antiviral therapeutic agents for certain diseases that do not have yet an effective treatment, such as COVID-19. Despite there are validated and approved methods available for COVID-19 diagnosis, prognosis is still complicated by only assuming the positive results of rapid antigen tests, serological tests, or RT-qPCR. For this reason, we are continuously looking for reproducible methods that are able to predict poor prognosis even at early points after infection. Most COVID-19 studies have focused on proteomic, metabolomic, and cellular biomarkers [8]. In the last decade, noncoding RNAs (ncRNAs) and miRNAs, have emerged as novel tools to aid in medical decision-making and can be easily measured through standard techniques already employed in clinical laboratories, such as RT-qPCR. miRNAs are sensitive, robust, and cost-effective biomarkers that offer additional information to already established clinical variables and clinical indicators [10]. They are stable in various body fluids and offer advantages as biomarkers because they are highly conserved between species, and their expression patterns are tissue and life-stage specific. The advantage of miRNAs is their consistent detectability in patients with lower COVID-19 severity and a lesser dependence on sampling time. The integration of miRNAs into biomarker signatures may improve the performance of established biomarkers, as demonstrated for binary and triplet combinations with D-dimer, troponin T, SARS-CoV-2, RNAemia, age, and BMI [11]. Target genes for these miRNAs play an important role in the immune dysregulation observed in COVID-19 patients, and they may also be evaluated as potential biomarkers in the context of long-COVID, because cumulative evidence suggest immune alterations in patients with persistent symptoms or post-COVID-19 symptoms.
For the aims of the present work, we chose five miRNAs with previously validated involvement in inflammatory processes related to immune system activation [12,13,14,15] to examine their expression in plasma from patients with severe COVID-19 and to explore their role as potential biomarkers of disease severity. It is well acknowledged that hyperinflammation and massive cytokine dysregulation are mechanisms leading to poor outcomes in severe COVID-19 patients [16]. Due to the heterogeneity of the factors that could affect the course of the disease, we propose here an age- and gender-adjusted model to differentiate controls from severe COVID-19 patients.
2. Materials and Methods
2.1. Study Population and Sampling
This is a cross-sectional study with 41 patients suffering from severe COVID-19 and 42 negative controls attending hospitals for COVID-19 diagnosis or treatment. SARS-CoV-2 diagnosis was conducted using reverse transcription polymerase chain reaction (RT-PCR) from a nasopharyngeal specimen using standard methods [17,18].
This study was revised and approved by the Ethics and Research Committees of the Christus Muguerza del Parque Hospital (folio: CEI-HCMP-15042020-3) and Health Secretary Services of San Luis Potosí (folio: CEI-003-20161034). The study was conducted in accordance with the Declaration of Helsinki. Informed consent was obtained from all participants prior to the collection of the blood samples. Figure 1 shows the workflow for the experimental design and data analysis.
Figure 1.
Flowchart diagram of the experimental design and data analysis.
2.2. miRNAs Selection
One of the preferred methods to study miRNAs is microarrays, which requires a large amount of RNA sample (usually more than 1 µg). Since COVID-19 has been widely acknowledged as a hyperinflammatory diseases with a strong dysregulation in the immune system, it is remarkable to find the factors that control this inflammatory unbalance. For this reason, more than to perform a massive screening of all miRNAs, we selected some miRNAs that have been previously related to inflammation, immune response, vascular complications, metabolic signaling, and organ damage. Based on recent bioinformatic prediction studies [11,19], we selected five miRNAs associated with some of the processes previously mentioned and ranked within the most important miRNAs. Our goal was to validate previous bioinformatic predictions for these miRNAs, this time for a Mexican population, which remains poorly explored until now. Supplementary Table S1 shows the miRNAs selected for validation and the justification for their inclusion in our study based on previous findings.
2.3. Circulating miRNA Isolation and Relative Expression Determination by RT-qPCR
Total RNA from each sample was isolated from 25 μL plasma using TRI-Reagent (Sigma-Aldrich, Germany), according to manufacturer’s instructions. The isolated RNA was resuspended in DEPC-treated and RNAse inhibitors. Then, the RNA quality was measured at 260/280 nm using a spectrophotometer (Q3000 Quawell Technology, Inc., San José, CA; USA). A value greater than 1.8 was considered acceptable. The cDNAs for the mature miRNAs (U6 snRNA, miR-16-5p, miR-221-3p, miR-34-5p, miR-146a, and miR-155) were synthesized from 300 ng of total RNA by one-step RT-qPCR using the GoldBio’s Probe-Based One Step RT-qPCR Kit (Gold Biotechnology® St Louis, MO; USA); TaqMan probes were used for each of the miRNAs to avoid unspecific amplification. The miRNA amplification by qRT-PCR was carried out using TaqMan MicroRNA Assay specific primers (Applied Biosystems, Foster City, CA; USA) in a thermocycler (qTOWER3; AnalytikJena, Gottingen, Germany) with the following amplification conditions: first strand cDNA synthesis at 42 °C for 30 min, initial denaturation/RT inactivation at 95 °C for 3 min, followed by 40 cycles of denaturation at 95 °C for 5 s, annealing/extension at 60 °C for 30 s.
All RT-qPCR reactions were performed in duplicate. Cq values were averaged and the ΔΔCq method [20] was used to obtain the relative expression, where ΔΔCq was calculated by subtracting the ΔCq value from the mean of the control group with the ΔCq value of the COVID-19 patients. NormFinder [21] was used to estimate the best candidate reference gene between U6 snRNA and RNU48; miRNA levels were normalized with the use of the average of reference Cq value as the housekeeping gene, according to NormFinder parameters.
2.4. Bioinformatic Analysis
Bioinformatic analysis of targets was performed through the page miRNet 2.0 and its web service https://www.mirnet.ca/miRNet/home.xhtml (accessed on 14 July 2022). This analysis identified targets that were shared by 2 or more miRNAs. We assessed hsa-miR-155-5p, hsa-miR-221-3p, and hsa-miR-146a-3p, which were the significant miRNAs. The selection of most relevant genes was made, setting degree centrality and betweenness to equal or >1. Using the same web service, a miRNA-gene network with selected targets was constructed. Subsequently, all genes related to immune system functions were selected. Functional association analysis using the TAM 2.0 http://www.lirmed.com/tam2/ (accessed on 17 July 2022) [22] was also conducted to identify the functional terms for differentially expressed miRNAs. To control for multiple comparisons, a false-discovery rate (FDR) < 0.05 was used.
2.5. Statistical Analysis
Frequencies and proportions were used to describe sociodemographic characteristics, main comorbidities, symptomatology, and epidemiological data for the study participants.
Statistical analyses were carried out using GraphPad (version 5.0) software (GraphPad, La Jolla, CA, USA). The mean ± SD or median ± IQR were used to represent continuous data with parametric or nonparametric distribution, respectively. For clinical data, ANOVA with Tukey’s post hoc tests for continuous variables were used to identify differences across categories, and Fisher’s exact tests were used for nominal data. Nonparametric Kruskal–Wallis with Dunn’s post hoc tests were employed to identify differences in miRNA data. Statistical significance was set at p < 0.05.
Spearman’s correlation coefficients and plots between miRNAs and laboratory values were computed using R studio (4.1.2).
Crude and adjusted logistic regression models were built to predict COVID-19 severity. Odds ratios (OR) with 95% confidence intervals (CI) were computed. The full model included all variables, with a p ≤ 0.10 in crude analyses, but only independent variables with a p < 0.05 in at least one category in the comparisons remained in the final model. A receiving operating characteristics (ROC) curve was produced from the final logistic model, and the area under the curve (AUC) was reported. The Nagelkerke pseudo-R2 statistic, ranging from 0 to 1, was used to provide an indication of the amount of variation in the dependent variable explained by the model.
3. Results
3.1. Sociodemographic Characteristics
The sociodemographic characteristics of the patients recruited in the present study are summarized in Table 1. The mean age of the patients with severe COVID-19 was higher than that of healthy controls (52.4 vs. 39.1 years, p < 0.01). Male patients with severe COVID-19 accounted for 82.9%, compared with 45.2% in the control group (p < 0.01). In terms of comorbidities, the proportion of patients with diabetes (26.8% vs. 2.3%; p < 0.01) and hypertension (41.4% vs. 9.5%; p < 0.01) was higher among those with severe COVID-19, but no statistical differences were seen for the other conditions assessed. All general and respiratory symptoms measured were clearly more frequent (p < 0.01) in patients with severe COVID-19 than among controls.
Table 1.
Selected sociodemographic characteristics, main comorbidities, and clinical symptoms for patients with severe COVID-19 (n = 41) and healthy controls (n = 42).
3.2. Differential Expression of miRNAs in the Plasma of Patients with COVID-19
Figure 2 shows the relative expression (normalized against U6 snRNA) in controls and COVID-19 patients for each studied miRNA. Significant upregulation of miR-16, miR-155, and miR-221 was observed for COVID-19 patients (Figure 2). miR-146a was found to be marginally significant in the crude analysis. NormFinder analysis identified U6 snRNA as the single most stable gene, with a stability of 0.589 and a standard error of 0.33.
Figure 2.
Violin plot shows the relative expression of miRNAs in COVID-19 patient vs. healthy controls. The violins represent medians and interquartile ranges. Data were analyzed using the Kruskal–Wallis test and Dunn’s post hoc test when significant values were obtained (** and *** p ˂ 0.05).
3.3. Logistic Regression Model Based on miRNAs for Classification of COVID-19 Patients
Crude and adjusted regression models (OR; 95% CI) to differentiate patients with COVID-19 from healthy controls are presented in Table 2. The results showed a statistically significant upregulated expression of miR-155, miR-16, and miR-221 in patients with severe COVID-19 compared with healthy controls in crude analyses. However, when adjusting by age and sex, only miR-155, miR-146a, and miR-221 remained significant for identifying COVID-19 patients.
Table 2.
Computed crude and adjusted odds ratios (OR) with 95% confidence intervals (CI) from logistic regression for the probability to identify severe COVID-19.
3.4. Model Performance
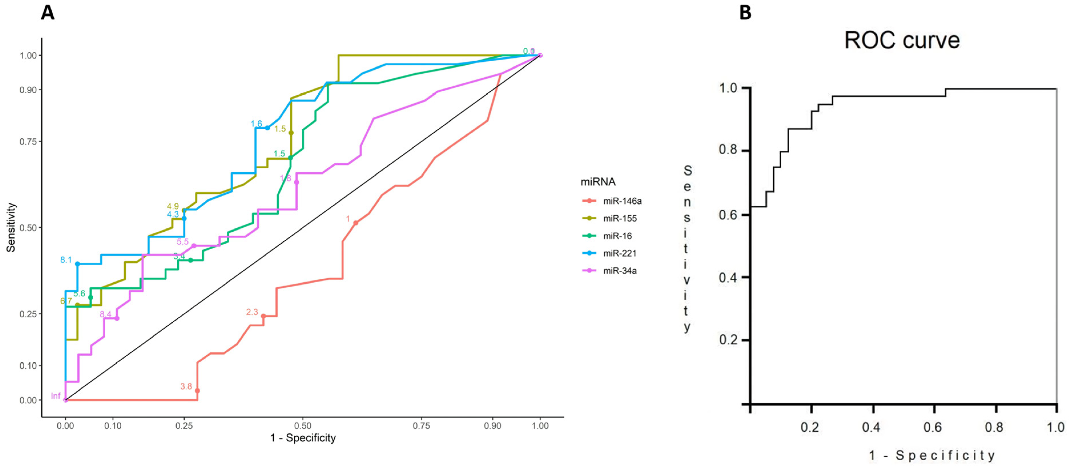
Figure 3A represents the ROC curve for all the individual miRNAs, without adjustment. However, when adjusted by sex and age, the combination of miR-155, miR-146a, and miR-221 showed an adequate performance (AUC: 0.95, 95%CI 0.89–0.98) (Figure 3B) for discrimination of severe patients.
Figure 3.
(A) ROC curve with individual miRNAs. (B) ROC curve built with the variables included in the logistic regression model. (AUC: 0.95, 95%CI 0.89–0.98). Nagelkerke pseudo-R2 statistic, ranging from 0 to 1.
3.5. Correlation of Significant miRNAs with Clinical Variables in Severe COVID-19 Patients
To assess if differences in miRNA expression were related to other variables, we performed a correlation analysis. There was a significant positive association between miR-146a and absolute neutrophil count (r = 0.57, p = 0.007), and proBNP (r = 0.40, p = 0.0001), also between miR-221 and ferritin (r = 0.35, p = 0.03). On the other side, we observed a significant negative correlation (r =−0.61, p = 0.01) between miR-221 and total cholesterol (Figure 4).
Figure 4.
Correlations between significant miRNAs and clinical characteristics. Blue circles represent positive correlations, while red circles represent negative correlations. Significance of correlation is, accordingly, the circle diameter. Spearman’s correlation (* p < 0.05).
3.6. Evaluation of the Interaction Networks of Common Target Genes across the Studied miRNAs
Only validated target genes with a correlation ≥1 were entered in the analysis to identify genes regulated by miR-155-5p, miR-221-3p, and miR-146a-3p, which were the miRNAs that contributed to the adjusted logistic regression model. A total of 498 targets were related to the analyzed miRNAs (Figure 5A). The Venn diagram (Figure 5B) shows the number of genes shared by the miRNAs under study. These genes are listed in Table 3.
Figure 5.
miRNA-target gene network related to immune system. (A) Results of pathway and network analyses for the 3 miRNAs, selected according to the logistic regression model. Blue squares indicate miRNAs, pink dots indicate corresponding targets, and yellow circles represent genes involved in immune system functions that can be targeted by two or more of the selected miRNAs. (B) Venn diagram shows the miRNAs 155-5p, 146a-3p, and 221-3p and the number of their immune system targets. CDKN1B gene is shared between miRNAs.
Table 3.
Target genes validated in plasma/serum for the significant miRNAs.
From the 498 validated targets, 12 genes have been validated for miRNAs regulation in plasma/serum. Table 3 shows the validation method, as well as the function associated with each target gene. These genes are the most important target genes to be considered as potential biomarkers since previous studies have validated them in the same matrix in which miRNAs were measured in our study.
Finally, in the functional association analysis (Figure 6), miRNAs statistically different in COVID-19 patients showed enriched functional terms, including aging, apoptosis, T-cell differentiation, hematopoiesis, and immune response, among others.
Figure 6.
Significantly over-represented functional terms for miRNAs up-reulated amongst predicted targets in severe cases. The heat map shows that T-cell activation, inflammation, hematopoiesis, cell death and apoptosis and aging were the most enriched cell activities. False discovery rate (FDR) (p < 0.05).
4. Discussion
This study looked at the differential expression of five circulating miRNAs in plasma from healthy controls and patients with severe COVID-19 to explore their potential role in the inflammatory and host immune response against infection, and to assess their value as biomarkers of disease severity. Our group has been focused in the role of miRNAs as regulators for certain diseases [33,34,35]. Evidence suggests that these molecules are important predictors of disease complications and an important source of diagnosis biomarkers or therapeutic targets. The Mexican population is complex to study, since multiple factors, including ethnicity, comorbidities, genetic factors, and lifestyle, could modify disease outcomes when comparing with other populations. We have previously seen these miRNAs modulated in other inflammatory diseases [36], and we aimed to find a link between COVID-19 and all the inflammatory mediators that influence the hyperinflammatory status observed in severe cases. Therefore, with the present study, we validated not only our previous findings about the involvement of the studied miRNAs in inflammation and immune system, but also, we validated other author contributions, demonstrating that, independently of population differences, these miRNAs regulate important processes related to COVID-19 complications. Analysis of the identified miRNAs showed regulatory functions associated with inflammation, immune response, and vascular and metabolic diseases, indicating that the infection caused by the SARS-CoV-2 virus has multiple effects that alter the homeostasis of different organs and tissues.
Previous studies have shown that viral infections affect host homeostasis by regulating miRNA expression [11,37,38,39,40,41]. The altered expression of miRNAs causes other genes to regulate the host immune response to viral infection. Each miRNA can then target multiple genes, making them important regulators of numerous cellular functions. Eyileten et al. (2022) reported a bioinformatic miRNA prediction and subsequent validation in Poland patients. The authors looked for miRNAs regulating the highest number of top network-medicine-based integrative approach (NERI) nodes and top NERI targets associated with coagulation. In their study, top miRNAs were identified based on their regulation of the highest number of the top differentially expressed genes associated with coagulation and involved in the coagulation process. The miRNAs selected in our study are ranked in the top 30 miRNAs having a role in ACE2-related thrombosis in coronavirus infection [19].
The results presented here showed a statistically significant dysregulated expression of miR-155, miR-16, and miR-221 in patients with severe COVID-19 compared with healthy controls in crude analyses. However, for the establishment of an adequate predictive model, adjustment for cofounders must be accomplished. Due to the presence of different factors influencing COVID-19 outcomes, such as sex, age, and comorbidities, we propose here an adjusted model. When adjusting by age and sex, only miR-155, miR-146a, and miR-221 remained significant for identifying severe COVID-19 patients. ROC built with the adjusted model showed an adequate performance (AUC: 0.95, 95% CI 0.89–0.98). However, interpretation of these results must be done with caution. A low sensitivity was achieved in our study. Sensitivity refers to the proportion of subjects who have the target condition (reference standard positive) and give positive test results. This parameter is highly dependent on the simple size. For the sample size calculation, the prevalence of the target population must be considered to obtain a representative sample. With a low or high prevalence, the study may be overpowered in one subpopulation. Since COVID-19 was an emergent disease, these estimations were difficult to calculate at the beginning of the pandemic. Sammut-Powell et al. [42] reported a simulation study to evaluate the effect of sample size calculations in the sensitivity and specificity of COVID-19 diagnostic tests in practice. Under the current emergency guidelines from the Medicines and Healthcare Products Regulatory Agency, companies are required to evaluate diagnostic tests in 30 positive and 30 negative cases. The authors demonstrated that, in practice, in a test performed with 80% sensitivity and 93% specificity in 30 positive and negative samples, respectively, their real-world sensitivity and specificity could be as low as 57.7% and 83.2%, respectively.
Our results are consistent with previous studies in which expression of miR-155 has been increased in patients with COVID-19 [43,44,45]. A study by Garg et al., found overexpressed values of miR-155 in critically ill and mechanically-ventilated COVID-19 patients, suggesting that this miRNA could be useful for evaluating the severity of the disease [9]. This overexpression seems to contribute to the overall exacerbated proinflammatory state widely described in patients with COVID-19. miR-155 has its origin in leukocyte cells, and there is increasing evidence that macrophage activation contributes to the initiation of inflammatory responses resulting in tissue damage [23]; miR-155 responds to many inflammatory stimuli, such as TNF-α, IL-1β, pathogen-associated molecular patterns (PAMPs), and damage-associated molecular patterns (DAMPs) that act by potentiating the inflammatory response [15]. Additionally, miR-155 has an important role in innate immunity and differentiation and activation of T and NK cells [15,23,45,46]. miR-155-5p also has an important role in inflammatory and immunological processes, endothelial dysfunction, and cardiometabolic diseases. Moreover, it has been shown that miR-155 upregulates IL-1, IL-6, TNF-α, and IL-12 signaling pathways, as well as the NF-kB and JAK/STAT3 pathways. Therefore, over-regulation of miR-155 in SARS-CoV-2 infection could be a good predictor of inflammatory status and immune disorders [9,43,44,47,48,49]. Studies have found that this miRNA is also differentially expressed in other conditions, including acute lung damage, viral infections (influenza), pulmonary fibrosis, and asthma [44,50,51,52].
On the other hand, miR-221-3p is able to target molecules belonging to pathways with key roles in inflammatory responses, including toll-like receptors (TLRs), transcription factors (NF-kB), and cytokines/chemokines (TNF-α, IL-6, and IL- 8) [53,54,55]. miR-221 has been differentially expressed downwards in patients with COVID-19 compared to those with community-acquired pneumonia [39]. Molinero et al. found an overexpression in the ratio of miR-221-3p in bronchial pulmonary aspirate samples in patients seriously ill with COVID-19, compared with healthy controls (in which decreased levels of miR-221-3p in non survivors were reported), suggesting that the signature of miRNAs may change depending on the degree of severity, the type of tissue studied, and the outcome of the disease [44]. The proposed miR-221-3p mechanisms may be severe endothelial injury and coagulopathy (features observed in lung samples of fatal COVID-19 cases) [56] to the targeting core receptor protein ADAM17 (a disintegrin and metalloproteinase 17) involved in ACE2-dependent shedding (associated with lung pathogenesis) [57], and to the suppression of the innate immune response and promotion of the viral infection via the TBK1 (TANK binding kinase 1) gene [58,59].
Previous experimental studies have described downregulation of miR-146a during SARS-CoV-2 infection [50,53,60]. miR-146a is known to be an anti-inflammatory miRNA. It regulates inflammation by targeting the factor 6-associated TNF receptor (TRAF6), thereby reducing the expression of NF-kB (nuclear factor kappa B) [12,61,62]. miR-146a depletion leads to IL-1, IL-6, and TNFα overproduction [63]. It is also related to the toll-like receptor signaling pathway and is a regulator of IL-1B and TGFB1 transcription factors [64,65].
miR-146a expression also correlated with biochemical parameters such as proBNP and absolute neutrophil count. Natriuretic peptides are sensitive indicators of cardiac and hemodynamic stress, which may be due to left ventricular systolic/diastolic dysfunction, ischemic or inflammatory dysfunction, and right cardiac overload secondary to pulmonary consequences of the disease (i.e., pulmonary embolism, pulmonary hypertension, hypoxic vasoconstriction, or acute respiratory distress syndrome) [66]. In fact, the potential usefulness of this cardiac parameter as a prognostic biomarker associated with the severity of COVID-19 has been previously suggested [67,68]. Neutrophils are at the intersection of innate immune responses, including pathogen destruction, thrombosis, and activation of the adaptive immune system [69,70].
Lastly, miR-146a directly regulates thromboinflammatory processes by inhibiting several proinflammatory elements of the NF-κB pathway [13,71]. This miRNA is predominantly expressed in cells that promote thrombosis (i.e., macrophages, platelets, neutrophils, and endothelial cells) [72]. In addition, it has been shown that decreased levels of miR-146a in patients with pneumonia are associated with an increased risk of adverse cardiovascular events by exacerbating the inflammatory and prothrombotic responses associated with severe COVID-19 [70].
We also account for a positive correlation between ferritin and miR-221. It has been reported that ferritin is a nonspecific marker of inflammation and a key mediator of immune dysregulation through direct immunosuppressive and proinflammatory effects that contribute to the cytokine storm [73]. Clinically, cytokine release storms are a common phenomenon in patients with SARS-CoV-2. This process results in multiple deleterious effects on both the innate and acquired immunity, potentially related to the activation and differentiation of the T-cellular process wherein miRNAs have essential functions in various immune-related diseases and could therefore modulate the response during viral infections.
The negative correlation between total cholesterol and miR-221 (r = −0.61) is also relevant, as lipid metabolism plays an essential role in the COVID-19 disease. Cholesterol has been shown in several studies to interact with the S protein of SARS-CoV-2 [74]. Decreased serum total cholesterol levels have been associated with poor prognosis in patients with COVID-19. Ressaire et al., reported that low total cholesterol levels could result from SARS-CoV-2-induced vasculopathy; the authors also observed a positive correlation between total blood cholesterol levels and COVID-19 severity, which was evaluated using the Kirby index [75].
Functional analysis showed that most enriched pathways were significantly associated with processes related to cell proliferation and immune responses (innate and adaptive). CDKN1B was found to be the unique shared target between the significant miRNAs. This gene has an important role controlling the cellular cycle and apoptosis. A recent study found that p27Kip1, encoded by CDKN1B, was positively regulated by the innate immune signaling activated by the Influenza A virus. The authors suggested that increased expression of p27Kip1 could limit the viral replication, constituting a potential therapeutic approach [76].
In conclusion, SARS-CoV-2 infection appears to induce an important response in the host’s miRNA profile, suggesting that the severity of the symptoms is associated with epigenetic factors, which in turn regulate a large number of functions in different tissues that can modulate the host response. The differential expression of miRNAs involved in inflammatory processes, including miR-155, miR-221, and miR-146a found in patients with severe COVID-19 in this study, point to their potential role as regulators of cellular processes in SARS-CoV-2 infections. Therefore, the expression levels of these dysregulated miRNAs could be of diagnostic and prognostic value as biomarkers to predict the severity of the disease and to develop therapeutic strategies against the virus through their regulation. To our knowledge, this is the first study reflecting miRNA dysregulation in severe Mexican COVID-19 patients and their association with inflammation, immune system, and vascular complications leading to organ failure. Since several studies about miRNA dysregulation are based on bioinformatic prediction, the validation of these findings, such as we are presenting here, will contribute to the inclusion of these molecules in multiomics prognostic panels. However, we need to acknowledge study limitations. Sample size was the major limitation, which makes it conflictive to establish highly accurate models of prediction. Moreover, the sample amount (volume) limited the validation of targets by traditional methods such as Western blot.
For future studies, the sample size needs to be increased, including patients with mild COVID-19. miRNAs could also be evaluated in survivors and non survivors, as well as in other types of samples that could be less invasive, such as urine, sputum, saliva, etc.
Supplementary Materials
The following supporting information can be downloaded at: https://www.mdpi.com/article/10.3390/diagnostics13010133/s1, Supplementary Table S1: miRNAs selected for validation and the justification for their inclusion in our study based on previous findings. References [77,78,79,80,81,82,83,84,85,86,87,88,89,90] are cited in the supplementary materials.
Author Contributions
Conceptualization, Y.L.-H. and J.M.-E.; methodology, N.G.-P., A.I.-S., A.S.H.-V.O., J.J.O.-V. and J.M.-E.; software, N.G.-P., A.I.-S., J.J.O.-V. and J.M.-E.; validation, Y.L.-H., J.M.-E., N.G.-P., A.I.-S., A.S.H.-V.O. and J.J.O.-V.; formal analysis, N.G.-P., A.I.-S., A.S.H.-V.O., J.J.O.-V., Y.L.-H. and J.M.-E.; investigation, N.G.-P. and Y.L.-H.; resources, Y.L.-H., M.M.-A. and N.G.-P.; data curation, M.M.-A., A.S.H.-V.O., J.J.O.-V. and N.G.-P.; writing—original draft preparation, N.G.-P., Y.L.-H. and J.M.-E.; writing—review and editing, J.A.L. and J.M.-E.; visualization, Y.L.-H. and N.G.-P.; supervision, Y.L.-H.; project administration, Y.L.-H.; funding acquisition, Y.L.-H. All authors have read and agreed to the published version of the manuscript.
Funding
This study was support by grants from CONACyT (numbers 311880, 216258, and 319503).
Institutional Review Board Statement
The study was conducted in accordance with the Declaration of Helsinki and was revised and approved by the Ethics and Research Committees of the Christus Muguerza del Parque Hospital (folio: CEI-HCMP-15042020-3) and Health Secretary Services of San Luis Potosí (folio: CEI-003-20161034).
Informed Consent Statement
Informed consent was obtained from all participants prior to the collection of the blood samples.
Data Availability Statement
Data is contained within the article or Supplementary material.
Acknowledgments
The authors want to thank Mariana Salgado-Bustamante for supporting some experimental approaches.
Conflicts of Interest
There are no conflicts of interest for any author.
References
- WHO Coronavirus (COVID-19) Dashboard, (n.d.). Available online: https://covid19.who.int/ (accessed on 20 April 2022).
- Mulay, A.; Konda, B.; Garcia, G.; Yao, C.; Beil, S.; Villalba, J.; Koziol, C.; Sen, C.; Purkayastha, A.; Kolls, J.; et al. SARS-CoV-2 infection of primary human lung epithelium for COVID-19 modeling and drug discovery. Cell Rep. 2021, 35, 1–16. [Google Scholar] [CrossRef] [PubMed]
- Roberts, A.; Lewis, A.; Jopling, C. The Role of MicroRNAs in Viral Infection. Prog. Mol. Biol. Transl. Sci. 2011, 102, 101–139. [Google Scholar] [CrossRef] [PubMed]
- Scheel, T.; Luna, J.; Liniger, M.; Nishiuchi, E.; Rozen-Gagnon, K.; Shlomai, A.; Auray, G.; Gerber, M.; Fak, J.; Keller, I.; et al. A Broad RNA Virus Survey Reveals Both miRNA Dependence and Functional Sequestration. Cell Host Microbe 2016, 19, 409–423. [Google Scholar] [CrossRef] [PubMed]
- Girardi, E.; López, P.; Pfeffer, S. On the Importance of Host MicroRNAs During Viral Infection. Front. Genet. 2018, 9, 1–17. [Google Scholar] [CrossRef] [PubMed]
- Trobaugh, D.; Gardner, C.; Sun, C.; Haddow, A.; Wang, E.; Chapnik, E.; Mildner, A.; Weaver, S.; Ryman, K.; Klimstra, W. RNA viruses can hijack vertebrate microRNAs to suppress innate immunity. Nature 2014, 506, 245–248. [Google Scholar] [CrossRef] [PubMed]
- Guo, X.; Zhang, Q.; Gao, L.; Li, N.; Chen, X.; Feng, W. Increasing Expression of MicroRNA 181 Inhibits Porcine Reproductive and Respiratory Syndrome Virus Replication and Has Implications for Controlling Virus Infection. J. Virol. 2013, 87, 1159–1171. [Google Scholar] [CrossRef]
- de Gonzalo-Calvo, D.; Benítez, I.; Pinilla, L.; Carratalá, A.; Moncusí-Moix, A.; Gort-Paniello, C.; Molinero, M.; González, J.; Torres, G.; Bernal, M.; et al. Circulating microRNA profiles predict the severity of COVID-19 in hospitalized patients. Transl. Res. 2021, 236, 147–159. [Google Scholar] [CrossRef]
- Garg, A.; Seeliger, B.; Derda, A.; Xiao, K.; Gietz, A.; Scherf, K.; Sonnenschein, K.; Pink, I.; Hoeper, M.; Welte, T.; et al. Circulating cardiovascular microRNAs in critically ill COVID-19 patients. Eur. J. Heart Fail. 2021, 23, 468–475. [Google Scholar] [CrossRef]
- Kang, K.; Peng, X.; Luo, J.; Gou, D. Identification of circulating miRNA biomarkers based on global quantitative real-time PCR profiling. J. Anim. Sci. Biotechnol. 2012, 3, 4. [Google Scholar] [CrossRef]
- Bautista-Becerril, B.; Pérez-Dimas, G.; Sommerhalder-Nava, P.; Hanono, A.; Martínez-Cisneros, J.; Zarate-Maldonado, B.; Muñoz-Soria, E.; Aquino-Gálvez, A.; Castillejos-López, M.; Juárez-Cisneros, A.; et al. miRNAs, from Evolutionary Junk to Possible Prognostic Markers and Therapeutic Targets in COVID-19. Viruses 2021, 14, 41. [Google Scholar] [CrossRef]
- Balasubramanyam, M.; Aravind, S.; Gokulakrishnan, K.; Prabu, P.; Sathishkumar, C.; Ranjani, H.; Mohan, V. Impaired miR-146a expression links subclinical inflammation and insulin resistance in Type 2 diabetes. Mol. Cell. Biochem. 2011, 351, 197–205. [Google Scholar] [CrossRef] [PubMed]
- Taganov, K.; Boldin, M.; Chang, K.-J.; Baltimore, D. NF-κB-dependent induction of microRNA miR-146, an inhibitor targeted to signaling proteins of innate immune responses. Proc. Natl. Acad. Sci. USA 2006, 103, 12481–12486. [Google Scholar] [CrossRef] [PubMed]
- Meerson, A.; Traurig, M.; Ossowski, V.; Fleming, J.; Mullins, M.; Baier, L. Human adipose microRNA-221 is upregulated in obesity and affects fat metabolism downstream of leptin and TNF-α. Diabetologia 2013, 56, 1971–1979. [Google Scholar] [CrossRef]
- Mahesh, G.; Biswas, R. MicroRNA-155: A Master Regulator of Inflammation. J. Interf. Cytokine Res. 2019, 39, 321–330. [Google Scholar] [CrossRef] [PubMed]
- Montazersaheb, S.; Khatibi, S.H.; Hejazi, M.; Tarhriz, V.; Farjami, A.; Sorbeni, F.G.; Farahzadi, R.; Ghasemnejad, T. COVID-19 infection: An overview on cytokine storm and related interventions. Virol. J. 2022, 19, 92. [Google Scholar] [CrossRef]
- Tali, S.S.; LeBlanc, J.; Sadiq, Z.; Oyewunmi, O.; Camargo, C.; Nikpour, B.; Armanfard, N.; Sagan, S.; Jahanshahi-Anbuhi, S. Tools and Techniques for Severe Acute Respiratory Syndrome Coronavirus 2 (SARS-CoV-2)/COVID-19 Detection. Clin. Microbiol. Rev. 2021, 34, 1–63. [Google Scholar] [CrossRef]
- Böger, B.; Fachi, M.; Vilhena, R.; Cobre, A.; Tonin, F.; Pontarolo, R. Systematic review with meta-analysis of the accuracy of diagnostic tests for COVID-19. Am. J. Infect. Control 2021, 49, 21–29. [Google Scholar] [CrossRef] [PubMed]
- Eyileten, C.; Wicik, Z.; Simões, S.; Martins-Jr, D.; Klos, K.; Wlodarczyk, W.; Assinger, A.; Soldacki, D.; Chcialowski, A.; Siller-Matula, J.; et al. Thrombosis-related circulating miR-16-5p is associated with disease severity in patients hospitalised for COVID-19. RNA Biol. 2022, 19, 963–979. [Google Scholar] [CrossRef]
- Livak, K.; Schmittgen, T. Analysis of Relative Gene Expression Data Using Real-Time Quantitative PCR and the 2−ΔΔCT Method. Methods 2001, 25, 402–408. [Google Scholar] [CrossRef]
- Andersen, C.; Jensen, J.; Ørntoft, T. Normalization of Real-Time Quantitative Reverse Transcription-PCR Data: A Model-Based Variance Estimation Approach to Identify Genes Suited for Normalization, Applied to Bladder and Colon Cancer Data Sets. Cancer Res. 2004, 64, 5245–5250. [Google Scholar] [CrossRef]
- Li, J.; Han, X.; Wan, Y.; Zhang, S.; Zhao, Y.; Fan, R.; Cui, Q.; Zhou, Y. TAM 2.0: Tool for MicroRNA set analysis. Nucleic Acids Res. 2018, 46, W180–W185. [Google Scholar] [CrossRef] [PubMed]
- Jiang, K.; Yang, J.; Guo, S.; Zhao, G.; Wu, H.; Deng, G. Peripheral Circulating Exosome-Mediated Delivery of miR-155 as a Novel Mechanism for Acute Lung Inflammation. Mol. Ther. 2019, 27, 1758–1771. [Google Scholar] [CrossRef] [PubMed]
- Lu, C.; Huang, X.; Zhang, X.; Roensch, K.; Cao, Q.; Nakayama, K.; Blazar, B.; Zeng, Y.; Zhou, X. miR-221 and miR-155 regulate human dendritic cell development, apoptosis, and IL-12 production through targeting of p27kip1, KPC1, and SOCS-1. Blood 2011, 117, 4293–4303. [Google Scholar] [CrossRef] [PubMed]
- Wang, C.; Zhang, C.; Liu, L.; Xi, A.; Chen, B.; Li, Y.; Du, J. Macrophage-Derived mir-155-Containing Exosomes Suppress Fibroblast Proliferation and Promote Fibroblast Inflammation during Cardiac Injury. Mol. Ther. 2017, 25, 192–204. [Google Scholar] [CrossRef]
- Wang, Y.; Feng, T.; Duan, S.; Shi, Y.; Li, S.; Zhang, X.; Zhang, L. miR-155 promotes fibroblast-like synoviocyte proliferation and inflammatory cytokine secretion in rheumatoid arthritis by targeting FOXO3a. Exp. Ther. Med. 2019, 19, 1288–1296. [Google Scholar] [CrossRef]
- Choi, S.; Kim, J.; Kim, J.-H.; Lee, D.-K.; Park, W.; Park, M.; Kim, S.; Hwang, J.; Won, M.-H.; Choi, Y.; et al. Carbon monoxide prevents TNF-α-induced eNOS downregulation by inhibiting NF-κB-responsive miR-155-5p biogenesis. Exp. Mol. Med. 2017, 49, e403. [Google Scholar] [CrossRef]
- Gill, P.; Dweep, H.; Rose, S.; Wickramasinghe, P.; Vyas, K.; McCullough, S.; Porter-Gill, P.; Frye, R. Integrated microRNA–mRNA Expression Profiling Identifies Novel Targets and Networks Associated with Autism. J. Pers. Med. 2022, 12, 920. [Google Scholar] [CrossRef]
- Liu, F.; Dong, J.; Zhou, D.; Zhang, Q. Identification of Key Candidate Genes Related to Inflammatory Osteolysis Associated with Vitamin E-Blended UHMWPE Debris of Orthopedic Implants by Integrated Bioinformatics Analysis and Experimental Confirmation. J. Inflamm. Res. 2021, 14, 3537–3554. [Google Scholar] [CrossRef]
- Tu, Y.; Wu, W.; Guo, Y.; Lu, F.; Li, X.; Xu, D.; Zou, D.; Tu, Y.; Chai, Y.; He, L. Up-regulation of hsa-miR-221-3p induced by UVB affects proliferation and apoptosis of keratinocytes via Bcl-xL/Bax pathway. Photodermatol. Photoimmunol. Photomed. 2021, 37, 269–277. [Google Scholar] [CrossRef]
- Bohatá, J.; Horváthová, V.; Pavlíková, M.; Stibůrková, B. Circulating microRNA alternations in primary hyperuricemia and gout. Arthritis Res. Ther. 2021, 23, 186. [Google Scholar] [CrossRef]
- Yan, F.; Meng, W.; Ye, S.; Zhang, X.; Mo, X.; Liu, J.; Chen, D.; Lin, Y. MicroRNA-146a as a potential regulator involved in the pathogenesis of atopic dermatitis. Mol. Med. Rep. 2019, 20, 4645–4653. [Google Scholar] [CrossRef]
- Oostdam, A.H.-V.; Salgado-Bustamante, M.; López, J.; Oostdam, D.H.-V.; López-Hernández, Y. Placental exosomes viewed from an ‘omics’ perspective: Implications for gestational diabetes biomarkers identification. Biomark. Med. 2019, 13, 675–684. [Google Scholar] [CrossRef]
- Córdova-Rivas, S.; Fraire-Soto, I.; Torres, A.M.-C.; Servín-González, L.; Granados-López, A.; López-Hernández, Y.; Reyes-Estrada, C.; Gutiérrez-Hernández, R.; Castañeda-Delgado, J.; Ramírez-Hernández, L.; et al. 5p and 3p Strands of miR-34 Family Members Have Differential Effects in Cell Proliferation, Migration, and Invasion in Cervical Cancer Cells. Int. J. Mol. Sci. 2019, 20, 545. [Google Scholar] [CrossRef] [PubMed]
- Oostdam, A.H.-V.; Toro, J.; López, J.; Noyola, D.; García, D.; Durán, N.; Martínez, E.; Portales, D.; Salgado, M.; López, Y. Placental exosomes isolated from urine of patients with gestational diabetes exhibit a differential profile expression of microRNAs across gestation. Int. J. Mol. Med. 2020, 46, 546–560. [Google Scholar] [CrossRef]
- Gaytán-Pacheco, N.; Lima-Rogel, V.; Méndez-Mancilla, A.; Escalante-Padrón, F.; Toro-Ortíz, J.; Jiménez-Capdeville, M.; Zaga-Clavellina, V.; Portales-Pérez, D.; Noyola, D.; Salgado-Bustamante, M. Changes in PPAR-γ Expression Are Associated with microRNA Profiles during Fetal Programming due to Maternal Overweight and Obesity. Gynecol. Obstet. Investig. 2021, 86, 415–426. [Google Scholar] [CrossRef]
- Wilson, J.; Kealy, D.; James, S.; Plowman, T.; Newling, K.; Jagger, C.; Filbey, K.; Mann, E.; Konkel, J.; Menon, M.; et al. Integrated miRNA/cytokine/chemokine profiling reveals severity-associated step changes and principal correlates of fatality in COVID-19. IScience 2022, 25, 1036–1072. [Google Scholar] [CrossRef]
- Narożna, M.; Rubiś, B. Anti-SARS-CoV-2 Strategies and the Potential Role of miRNA in the Assessment of COVID-19 Morbidity, Recurrence, and Therapy. Int. J. Mol. Sci. 2021, 22, 8663. [Google Scholar] [CrossRef]
- Martínez-Fleta, P.; Vera-Tomé, P.; Jiménez-Fernández, M.; Requena, S.; Roy-Vallejo, E.; Sanz-García, A.; Lozano-Prieto, M.; López-Sanz, C.; Vara, A.; Lancho-Sánchez, Á.; et al. A Differential Signature of Circulating miRNAs and Cytokines Between COVID-19 and Community-Acquired Pneumonia Uncovers Novel Physiopathological Mechanisms of COVID-19. Front. Immunol. 2022, 12, 1–11. [Google Scholar] [CrossRef]
- Li, C.; Hu, X.; Li, L.; Li, J. Differential microRNA expression in the peripheral blood from human patients with COVID-19. J. Clin. Lab. Anal. 2020, 34, e23590. [Google Scholar] [CrossRef]
- Li, C.; Wu, A.; Song, K.; Gao, J.; Huang, E.; Bai, Y.; Liu, X. Identifying Putative Causal Links between MicroRNAs and Severe COVID-19 Using Mendelian Randomization. Cells 2021, 10, 3504. [Google Scholar] [CrossRef]
- Sammut-Powell, C.; Reynard, C.; Allen, J.; McDermott, J.; Braybrook, J.; Parisi, R.; Lasserson, D.; Body, R.; Body, R.; Hayward, G.; et al. Examining the effect of evaluation sample size on the sensitivity and specificity of COVID-19 diagnostic tests in practice: A simulation study. Diagnostic Progn. Res. 2022, 6, 12. [Google Scholar] [CrossRef] [PubMed]
- Haroun, R.-H.; Osman, W.; Amin, R.; Hassan, A.; Abo-Shanab, W.; Eessa, A. Circulating plasma miR-155 is a potential biomarker for the detection of SARS-CoV-2 infection. Pathology 2022, 54, 104–110. [Google Scholar] [CrossRef] [PubMed]
- Molinero, M.; Benítez, I.D.; González, J.; Gort-Paniello, C.; Moncusí-Moix, A.; Rodríguez-Jara, F.; García-Hidalgo, M.; Torres, G.; Vengoechea, J.; Gómez, S.; et al. Bronchial Aspirate-Based Profiling Identifies MicroRNA Signatures Associated With COVID-19 and Fatal Disease in Critically Ill Patients. Front. Med. 2022, 8, 1–15. [Google Scholar] [CrossRef]
- Wyler, E.; Mösbauer, K.; Franke, V.; Diag, A.; Gottula, L.; Arsiè, R.; Klironomos, F.; Koppstein, D.; Hönzke, K.; Ayoub, S.; et al. Transcriptomic profiling of SARS-CoV-2 infected human cell lines identifies HSP90 as target for COVID-19 therapy. IScience 2021, 24, 102151. [Google Scholar] [CrossRef] [PubMed]
- Lindsay, M. microRNAs and the immune response. Trends Immunol. 2008, 29, 343–351. [Google Scholar] [CrossRef] [PubMed]
- Jablonski, K.; Gaudet, A.; Amici, S.; Popovich, P.; Guerau-de-Arellano, M. Control of the Inflammatory Macrophage Transcriptional Signature by miR-155. PLoS ONE 2016, 11, e0159724. [Google Scholar] [CrossRef] [PubMed]
- Bala, S.; Csak, T.; Saha, B.; Zatsiorsky, J.; Kodys, K.; Catalano, D.; Satishchandran, A.; Szabo, G. The pro-inflammatory effects of miR-155 promote liver fibrosis and alcohol-induced steatohepatitis. J. Hepatol. 2016, 64, 1378–1387. [Google Scholar] [CrossRef]
- Liu, Y.; Pan, Q.; Zhao, Y.; He, C.; Bi, K.; Chen, Y.; Zhao, B.; Chen, Y.; Ma, X.; Production, R.R.; et al. Apoptosis and Multiple Functions of Human Brain Microvessel Endothelial Cells Under Physiological and Pathological Conditions. J. Cell. Biochem. 2015, 116, 2870–2881. [Google Scholar] [CrossRef]
- Wang, W.; Liu, Z.; Su, J.; Chen, W.-S.; Wang, X.-W.; Bai, S.-X.; Zhang, J.-Z.; Yu, S.-Q. Macrophage micro-RNA-155 promotes lipopolysaccharide-induced acute lung injury in mice and rats. Am. J. Physiol. Cell. Mol. Physiol. 2016, 311, L494–L506. [Google Scholar] [CrossRef]
- Inchley, C.; Sonerud, T.; Fjærli, H.; Nakstad, B. Nasal mucosal microRNA expression in children with respiratory syncytial virus infection. BMC Infect. Dis. 2015, 15, 150. [Google Scholar] [CrossRef]
- Malmhäll, C.; Johansson, K.; Winkler, C.; Alawieh, S.; Ekerljung, L.; Rådinger, M. Altered miR-155 Expression in Allergic Asthmatic Airways. Scand. J. Immunol. 2017, 85, 300–307. [Google Scholar] [CrossRef] [PubMed]
- Tahamtan, A.; Teymoori-Rad, M.; Nakstad, B.; Salimi, V. Anti-Inflammatory MicroRNAs and Their Potential for Inflammatory Diseases Treatment. Front. Immunol. 2018, 9, 1–14. [Google Scholar] [CrossRef] [PubMed]
- Chakraborty, C.; Sharma, A.; Sharma, G.; Lee, S.-S. The Interplay among miRNAs, Major Cytokines, and Cancer-Related Inflammation. Mol. Ther. Nucleic Acids. 2020, 20, 606–620. [Google Scholar] [CrossRef] [PubMed]
- O’Neill, L.; Sheedy, F.; McCoy, C. MicroRNAs: The fine-tuners of Toll-like receptor signalling. Nat. Rev. Immunol. 2011, 11, 163–175. [Google Scholar] [CrossRef]
- Ackermann, M.; Verleden, S.; Kuehnel, M.; Haverich, A.; Welte, T.; Laenger, F.; Vanstapel, A.; Werlein, C.; Stark, H.; Tzankov, A.; et al. Pulmonary Vascular Endothelialitis, Thrombosis, and Angiogenesis in Covid-19. N. Engl. J. Med. 2020, 383, 120–128. [Google Scholar] [CrossRef]
- Kim, W.; Park, E.; Kang, K.-W.; Lee, S.-M.; Kim, B.; Kim, H.-S. Expression Analyses of MicroRNAs in Hamster Lung Tissues Infected by SARS-CoV-2. Mol. Cells. 2020, 43, 953–963. [Google Scholar] [CrossRef]
- Pineau, P.; Volinia, S.; McJunkin, K.; Marchio, A.; Battiston, C.; Terris, B.; Mazzaferro, V.; Lowe, S.; Croce, C.; Dejean, A. miR-221 overexpression contributes to liver tumorigenesis. Proc. Natl. Acad. Sci. USA 2010, 107, 264–269. [Google Scholar] [CrossRef]
- Chen, W.-X.; Hu, Q.; Qiu, M.-T.; Zhong, S.-L.; Xu, J.-J.; Tang, J.-H.; Zhao, J.-H. miR-221/222: Promising biomarkers for breast cancer. Tumor Biol. 2013, 34, 1361–1370. [Google Scholar] [CrossRef]
- Sabbatinelli, J.; Giuliani, A.; Matacchione, G.; Latini, S.; Laprovitera, N.; Pomponio, G.; Ferrarini, A.; Baroni, S.S.; Pavani, M.; Moretti, M.; et al. Decreased serum levels of the inflammaging marker miR-146a are associated with clinical non-response to tocilizumab in COVID-19 patients. Mech. Ageing Dev. 2021, 193, 111413. [Google Scholar] [CrossRef]
- Deng, Y.; Yan, Y.; Tan, K.S.; Liu, J.; Chow, V.; Tao, Z.-Z.; Wang, D.-Y. MicroRNA-146a induction during influenza H3N2 virus infection targets and regulates TRAF6 levels in human nasal epithelial cells (hNECs). Exp. Cell Res. 2017, 352, 184–192. [Google Scholar] [CrossRef]
- Su, Y.-L.; Wang, X.; Mann, M.; Adamus, T.; Wang, D.; Moreira, D.; Zhang, Z.; Ouyang, C.; He, X.; Zhang, B.; et al. Myeloid cell–targeted miR-146a mimic inhibits NF-κB–driven inflammation and leukemia progression in vivo. Blood 2020, 135, 167–180. [Google Scholar] [CrossRef]
- Arghiani, N.; Nissan, T.; Matin, M. Role of microRNAs in COVID-19 with implications for therapeutics. Biomed. Pharmacother. 2021, 144, 112247. [Google Scholar] [CrossRef]
- Yamasaki, K.; Nakasa, T.; Miyaki, S.; Ishikawa, M.; Deie, M.; Adachi, N.; Yasunaga, Y.; Asahara, H.; Ochi, M. Expression of MicroRNA-146a in osteoarthritis cartilage. Arthritis Rheum. 2009, 60, 1035–1041. [Google Scholar] [CrossRef]
- Jurkin, J.; Schichl, Y.; Koeffel, R.; Bauer, T.; Richter, S.; Konradi, S.; Gesslbauer, B.; Strobl, H. miR-146a Is Differentially Expressed by Myeloid Dendritic Cell Subsets and Desensitizes Cells to TLR2-Dependent Activation. J. Immunol. 2010, 184, 4955–4965. [Google Scholar] [CrossRef]
- Mueller, C.; McDonald, K.; de Boer, R.; Maisel, A.; Cleland, J.; Kozhuharov, N.; Coats, A.; Metra, M.; Mebazaa, A.; Ruschitzka, F.; et al. Heart Failure Association of the European Society of Cardiology practical guidance on the use of natriuretic peptide concentrations. Eur. J. Heart Fail. 2019, 21, 715–731. [Google Scholar] [CrossRef]
- Calvo-Fernández, A.; Izquierdo, A.; Subirana, I.; Farré, N.; Vila, J.; Durán, X.; García-Guimaraes, M.; Valdivielso, S.; Cabero, P.; Soler, C.; et al. Marcadores de daño miocárdico en la predicción del pronóstico a corto plazo de los pacientes con COVID-19. Rev. Española Cardiol. 2021, 74, 576–583. [Google Scholar] [CrossRef]
- Cannata, F.; Bombace, S.; Stefanini, G. Marcadores cardiacos en pacientes con COVID-19: Un instrumento práctico en tiempos difíciles. Rev. Española Cardiol. 2021, 74, 566–568. [Google Scholar] [CrossRef]
- Widiasta, A.; Sribudiani, Y.; Nugrahapraja, H.; Hilmanto, D.; Sekarwana, N.; Rachmadi, D. Potential role of ACE2-related microRNAs in COVID-19-associated nephropathy. Non-Coding RNA Res. 2020, 5, 153–166. [Google Scholar] [CrossRef]
- Arroyo, A.B.; Fernández-Pérez, M.P.; Del Monte, A.; Águila, S.; Méndez, R.; Hernández-Antolín, R.; García-Barberá, N.; Ascensión, M.; González-Jiménez, P.; Arcas, M.I.; et al. miR-146a is a pivotal regulator of neutrophil extracellular trap formation promoting thrombosis. Haematologica 2020, 106, 1636–1646. [Google Scholar] [CrossRef]
- Saba, R.; Sorensen, D.; Booth, S. MicroRNA-146a: A Dominant, Negative Regulator of the Innate Immune Response. Front. Immunol. 2014, 5, 1–11. [Google Scholar] [CrossRef]
- Boldin, M.; Taganov, K.; Rao, D.; Yang, L.; Zhao, J.; Kalwani, M.; Garcia-Flores, Y.; Luong, M.; Devrekanli, A.; Xu, J.; et al. miR-146a is a significant brake on autoimmunity, myeloproliferation, and cancer in mice, J. Exp. Med. 2011, 208, 1189–1201. [Google Scholar] [CrossRef]
- Vargas-Vargas, M.; Cortés-Rojo, C. Ferritin levels and COVID-19. Rev. Panam. Salud Pública. 2020, 44, 1. [Google Scholar] [CrossRef]
- Kočar, E.; Režen, T.; Rozman, D. Cholesterol, lipoproteins, and COVID-19: Basic concepts and clinical applications. Biochim. Biophys. Acta Mol. Cell Biol. Lipids. 2021, 1866, 158849. [Google Scholar] [CrossRef]
- Ressaire, Q.; Dudoignon, E.; Moreno, N.; Coutrot, M.; Dépret, F. Low total cholesterol blood level is correlated with pulmonary severity in COVID-19 critical ill patients. Anaesth. Crit. Care Pain Med. 2020, 39, 733–735. [Google Scholar] [CrossRef]
- Rai, K.; Chen, B.; Zhao, Z.; Chen, Y.; Hu, J.; Liu, S.; Maarouf, M.; Li, Y.; Xiao, M.; Liao, Y.; et al. Robust expression of p27Kip1 induced by viral infection is critical for antiviral innate immunity. Cell. Microbiol. 2020, 22, 132–142. [Google Scholar] [CrossRef]
- Wang, M.; Li, J.; Cai, J.; Cheng, L.; Wang, X.; Xu, P.; Li, G.; Liang, X. Overexpression of MicroRNA-16 Alleviates Atherosclerosis by Inhibition of Inflammatory Pathways. Bio. Med. Res. Int. 2020, 2020, 1–12. [Google Scholar] [CrossRef]
- Yang, Y.; Yang, F.; Yu, X.; Wang, B.; Yang, Y.; Zhou, X.; Cheng, R.; Xia, S.; Zhou, X. miR-16 inhibits NLRP3 inflammasome activation by directly targeting TLR4 in acute lung injury. Biomed. Pharmacother. 2019, 112, 108664. [Google Scholar] [CrossRef]
- Möhnle, P.; Hirschberger, S.; Hinske, L.C.; Briegel, J.; Hübner, M.; Weis, S.; Dimopoulos, G.; Bauer, M.; Giamarellos-Bourboulis, E.J.; Kreth, S. MicroRNAs 143 and 150 in whole blood enable detection of T-cell immunoparalysis in sepsis. Mol. Med. 2018, 24, 54. [Google Scholar] [CrossRef]
- Jafarinejad-Farsangi, S.; Jazi, M.M.; Rostamzadeh, F.; Hadizadeh, M. High affinity of host human microRNAs to SARS-CoV-2 genome: An in silico analysis. Non-coding RNA Res. 2020, 5, 222–231. [Google Scholar] [CrossRef]
- Wicik, Z.; Eyileten, C.; Jakubik, D.; Simões, S.N.; Martins, J.D.C.; Pavão, R.; Siller-Matula, J.M.; Postula, M. ACE2 Interaction Networks in COVID-19: A Physiological Framework for Prediction of Outcome in Patients with Cardiovascular Risk Factors. J. Clin. Med. 2020, 9, 3743. [Google Scholar] [CrossRef]
- Wang, J.; Li, K.; Zhang, X.; Li, G.; Liu, T.; Wu, X.; Brown, S.L.; Zhou, L.; Mi, Q.-S. MicroRNA-155 Controls iNKT Cell Development and Lineage Differentiation by Coordinating Multiple Regulating Pathways. Front. Cell Dev. Biol. 2021, 8, 619220. [Google Scholar] [CrossRef]
- Katze, M.G.; He, Y.; Gale, M., Jr. Viruses and interferon: A fight for supremacy. Nat. Rev. Immunol. 2002, 2, 675–687. [Google Scholar] [CrossRef]
- Mitash, N.; Donovan, J.E.; Swiatecka-Urban, A. The Role of MicroRNA in the Airway Surface Liquid Homeostasis. Int. J. Mol. Sci. 2020, 21, 3848. [Google Scholar] [CrossRef]
- Gracias, D.T.; Stelekati, E.; Hope, J.L.; Boesteanu, A.C.; Doering, T.A.; Norton, J.; Mueller, Y.M.; Fraietta, J.A.; Wherry, E.J.; Turner, M.; et al. The microRNA miR-155 controls CD8+ T cell responses by regulating interferon signaling. Nat. Immunol. 2013, 14, 593–602. [Google Scholar] [CrossRef]
- Centa, A.; Fonseca, A.S.; Ferreira, S.G.D.S.; Azevedo, M.L.V.; de Paula, C.B.V.; Nagashima, S.; Machado-Souza, C.; Miggiolaro, A.F.R.D.S.; Baena, C.P.; de Noronha, L.; et al. Deregulated miRNA expression is associated with endothelial dysfunction in post-mortem lung biopsies of COVID-19 patients. Am. J. Physiol. Cell. Mol. Physiol. 2021, 320, L405–L412. [Google Scholar] [CrossRef]
- Bartoszewski, R.; Dabrowski, M.; Jakiela, B.; Matalon, S.; Harrod, K.S.; Sanak, M.; Collawn, J.F. SARS-CoV-2 may regulate cellular responses through depletion of specific host miRNAs. Am. J. Physiol. Cell. Mol. Physiol. 2020, 319, L444–L455. [Google Scholar] [CrossRef]
- Comer, B.; Camoretti-Mercado, B.; Kogut, P.C.; Halayko, A.J.; Solway, J.; Gerthoffer, W.T. MicroRNA-146a and microRNA-146b expression and anti-inflammatory function in human airway smooth muscle. Am. J. Physiol. Cell. Mol. Physiol. 2014, 307, L727–L734. [Google Scholar] [CrossRef]
- Anzola, A.; González, R.; Gámez-Belmonte, R.; Ocón, B.; Aranda, C.J.; Martínez-Moya, P.; López-Posadas, R.; Hernández-Chirlaque, C.; de Medina, F.S.; Martínez-Augustin, O. miR-146a regulates the crosstalk between intestinal epithelial cells, microbial components and inflammatory stimuli. Sci. Rep. 2018, 8, 1–12. [Google Scholar] [CrossRef]
- Bátkai, S.; Thum, T. MicroRNAs in Hypertension: Mechanisms and Therapeutic Targets. Curr. Hypertens. Rep. 2011, 14, 79–87. [Google Scholar] [CrossRef]
Disclaimer/Publisher’s Note: The statements, opinions and data contained in all publications are solely those of the individual author(s) and contributor(s) and not of MDPI and/or the editor(s). MDPI and/or the editor(s) disclaim responsibility for any injury to people or property resulting from any ideas, methods, instructions or products referred to in the content. |
© 2022 by the authors. Licensee MDPI, Basel, Switzerland. This article is an open access article distributed under the terms and conditions of the Creative Commons Attribution (CC BY) license (https://creativecommons.org/licenses/by/4.0/).





