Efficient Breast Cancer Classification Network with Dual Squeeze and Excitation in Histopathological Images
Abstract
1. Introduction
2. Related Works
2.1. Ensemble and Multiple CNN-Based Methods
2.2. Transfer Learning-Based Methods
2.3. Other Approaches
3. Materials and Methods
3.1. Dataset
3.2. Model Architecture
3.3. Loss Function
4. Experimental Results and Discussion
4.1. Training Details
4.2. Evaluation Metrics
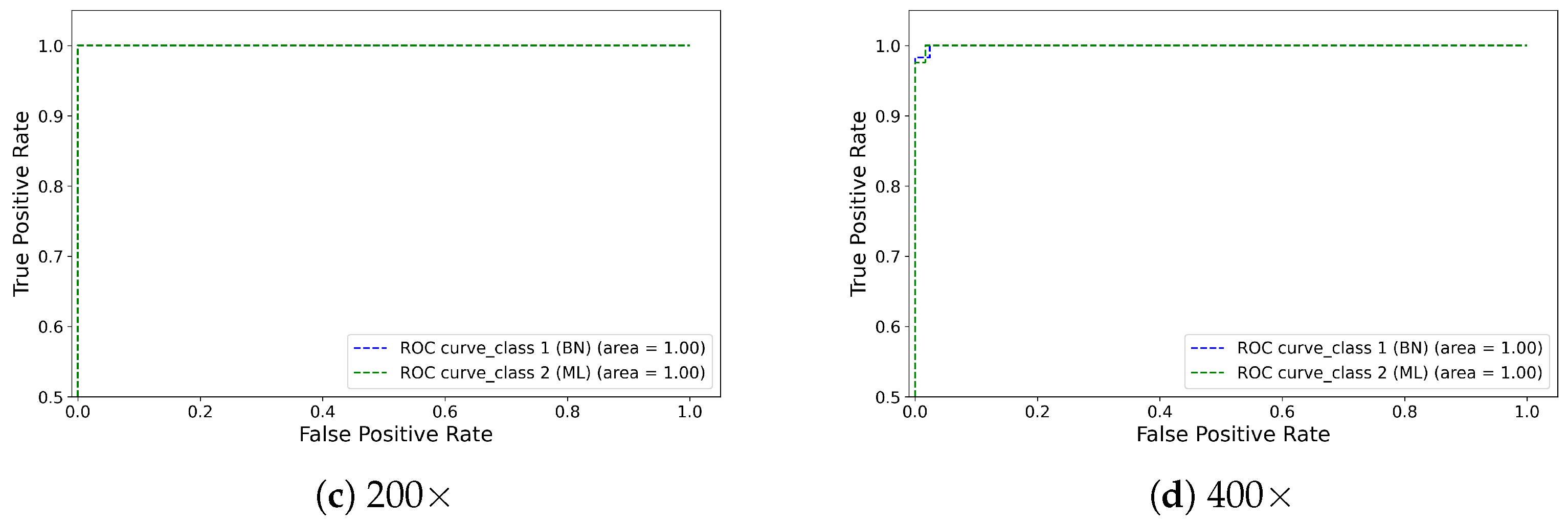
4.3. Results
4.4. Discussion and Limitation
5. Conclusions
Author Contributions
Funding
Institutional Review Board Statement
Informed Consent Statement
Data Availability Statement
Conflicts of Interest
References
- Motlagh, M.H.; Jannesari, M.; Aboulkheyr, H.; Khosravi, P.; Elemento, O.; Totonchi, M.; Hajirasouliha, I. Breast cancer histopathological image classification: A deep learning approach. BioRxiv 2018, 242818. [Google Scholar] [CrossRef]
- Fitzmaurice, C.; Allen, C.; Barber, R.M.; Barregard, L.; Bhutta, Z.A.; Brenner, H.; Dicker, D.J.; Chimed-Orchir, O.; Dandona, R.; Dandona, L.; et al. Global, regional, and national cancer incidence, mortality, years of life lost, years lived with disability, and disability-adjusted life-years for 32 cancer groups, 1990 to 2015: A systematic analysis for the global burden of disease study. JAMA Oncol. 2017, 3, 524–548. [Google Scholar] [PubMed]
- Aljuaid, H.; Alturki, N.; Alsubaie, N.; Cavallaro, L.; Liotta, A. Computer-aided diagnosis for breast cancer classification using deep neural networks and transfer learning. Comput. Methods Programs Biomed. 2022, 223, 106951. [Google Scholar] [CrossRef] [PubMed]
- Zhou, L.; Wang, S.; Sun, K.; Zhou, T.; Yan, F.; Shen, D. Three-dimensional affinity learning based multi-branch ensemble network for breast tumor segmentation in MRI. Pattern Recognit. 2022, 129, 108723. [Google Scholar] [CrossRef]
- Zhou, X.; Li, C.; Rahaman, M.M.; Yao, Y.; Ai, S.; Sun, C.; Wang, Q.; Zhang, Y.; Li, M.; Li, X.; et al. A comprehensive review for breast histopathology image analysis using classical and deep neural networks. IEEE Access 2020, 8, 90931–90956. [Google Scholar] [CrossRef]
- Han, Z.; Wei, B.; Zheng, Y.; Yin, Y.; Li, K.; Li, S. Breast cancer multi-classification from histopathological images with structured deep learning model. Sci. Rep. 2017, 7, 4172. [Google Scholar] [CrossRef] [PubMed]
- Kundle, J.; Dhage, S. A Review on Classifification of Breast Cancer Using Histopathological Images Using Deep Learning. Libr. Philos. Pract. 2021, 1A, 1–21. [Google Scholar]
- Zewdie, E.T.; Tessema, A.W.; Simegn, G.L. Classification of breast cancer types, sub-types and grade from histopathological images using deep learning technique. Health Technol. 2021, 11, 1277–1290. [Google Scholar] [CrossRef]
- Hao, Y.; Qiao, S.; Zhang, L.; Xu, T.; Bai, Y.; Hu, H.; Zhang, W.; Zhang, G. Breast Cancer Histopathological Images Recognition Based on Low Dimensional Three-Channel Features. Front. Oncol. 2021, 2018. [Google Scholar] [CrossRef]
- Tan, M.; Le, Q. Efficientnetv2: Smaller models and faster training. In Proceedings of the International Conference on Machine Learning, Virtual, 18–24 July 2021; pp. 10096–10106. [Google Scholar]
- Roy, A.G.; Navab, N.; Wachinger, C. Recalibrating fully convolutional networks with spatial and channel “squeeze and excitation” blocks. IEEE Trans. Med. Imaging 2018, 38, 540–549. [Google Scholar] [CrossRef]
- Spanhol, F.A.; Oliveira, L.S.; Petitjean, C.; Heutte, L. A dataset for breast cancer histopathological image classification. IEEE Trans. Biomed. Eng. 2015, 63, 1455–1462. [Google Scholar] [CrossRef]
- Kassani, S.H.; Kassani, P.H.; Wesolowski, M.J.; Schneider, K.A.; Deters, R. Classification of histopathological biopsy images using ensemble of deep learning networks. arXiv 2019, arXiv:1909.11870. [Google Scholar]
- Simonyan, K.; Zisserman, A. Very deep convolutional networks for large-scale image recognition. arXiv 2014, arXiv:1409.1556. [Google Scholar]
- Howard, A.G.; Zhu, M.; Chen, B.; Kalenichenko, D.; Wang, W.; Weyand, T.; Andreetto, M.; Adam, H. Mobilenets: Efficient convolutional neural networks for mobile vision applications. arXiv 2017, arXiv:1704.04861. [Google Scholar]
- Huang, G.; Liu, Z.; Van Der Maaten, L.; Weinberger, K.Q. Densely connected convolutional networks. In Proceedings of the IEEE Conference on Computer Vision and Pattern Recognition, Honolulu, HI, USA, 21–26 July 2017; pp. 4700–4708. [Google Scholar]
- Gupta, V.; Bhavsar, A. Sequential modeling of deep features for breast cancer histopathological image classification. In Proceedings of the IEEE Conference on Computer Vision and Pattern Recognition Workshops, Salt Lake City, UT, USA, 18–22 June 2018; pp. 2254–2261. [Google Scholar]
- Zhu, C.; Song, F.; Wang, Y.; Dong, H.; Guo, Y.; Liu, J. Breast cancer histopathology image classification through assembling multiple compact CNNs. BMC Med. Inform. Decis. Mak. 2019, 19, 1–17. [Google Scholar] [CrossRef] [PubMed]
- Ukwuoma, C.C.; Hossain, M.A.; Jackson, J.K.; Nneji, G.U.; Monday, H.N.; Qin, Z. Multi-Classification of Breast Cancer Lesions in Histopathological Images Using DEEP_Pachi: Multiple Self-Attention Head. Diagnostics 2022, 12, 1152. [Google Scholar] [CrossRef] [PubMed]
- He, K.; Zhang, X.; Ren, S.; Sun, J. Deep residual learning for image recognition. In Proceedings of the IEEE Conference on Computer Vision and Pattern Recognition, Las Vegas, NV, USA, 27–30 June 2016; pp. 770–778. [Google Scholar]
- Zhang, X.; Zhou, X.; Lin, M.; Sun, J. Shufflenet: An extremely efficient convolutional neural network for mobile devices. In Proceedings of the IEEE Conference on Computer Vision and Pattern Recognition, Salt Lake City, UT, USA, 18–22 June 2018; pp. 6848–6856. [Google Scholar]
- Szegedy, C.; Ioffe, S.; Vanhoucke, V.; Alemi, A.A. Inception-v4, inception-resnet and the impact of residual connections on learning. In Proceedings of the Thirty-First AAAI Conference on Artificial Intelligence, San Francisco, CA, USA, 4–9 February 2017. [Google Scholar]
- Xie, J.; Liu, R.; Luttrell IV, J.; Zhang, C. Deep learning based analysis of histopathological images of breast cancer. Front. Genet. 2019, 10, 80. [Google Scholar] [CrossRef] [PubMed]
- Deng, J.; Dong, W.; Socher, R.; Li, L.J.; Li, K.; Fei-Fei, L. Imagenet: A large-scale hierarchical image database. In Proceedings of the 2009 IEEE Conference on Computer Vision and Pattern Recognition, Miami, FL, USA, 20–25 June 2009; IEEE: Piscataway, NJ, USA, 2009; pp. 248–255. [Google Scholar]
- Mayouf, M.S.; Dupin de Saint-Cyr, F. Curriculum Incremental Deep Learning on BreakHis DataSet. In Proceedings of the 2022 8th International Conference on Computer Technology Applications, Vienna, Austria, 12–14 May 2022; pp. 35–41. [Google Scholar]
- Seo, H.; Brand, L.; Barco, L.S.; Wang, H. Scaling multi-instance support vector machine to breast cancer detection on the BreaKHis dataset. Bioinformatics 2022, 38, i92–i100. [Google Scholar] [CrossRef] [PubMed]
- Hao, Y.; Zhang, L.; Qiao, S.; Bai, Y.; Cheng, R.; Xue, H.; Hou, Y.; Zhang, W.; Zhang, G. Breast cancer histopathological images classification based on deep semantic features and gray level co-occurrence matrix. PLoS ONE 2022, 17, e0267955. [Google Scholar] [CrossRef] [PubMed]
- Cui, Y.; Jia, M.; Lin, T.Y.; Belongie, S. Class-balanced loss based on effective number of samples. In Proceedings of the IEEE Conference on Computer Vision and Pattern Recognition, Long Beach, CA, USA, 15–20 June 2019; pp. 9268–9277. [Google Scholar]
- Goyal, P.; Kaiming, H. Focal loss for dense object detection. IEEE Trans. PAMI 2018, 39, 2999–3007. [Google Scholar]










| Dataset | Magnification | Benign | Malignant | Total |
|---|---|---|---|---|
| BreakHis [12] | 652 | 1370 | 1995 | |
| 644 | 1437 | 2081 | ||
| 623 | 1390 | 2031 | ||
| 588 | 1232 | 1820 | ||
| Total of Images | 2480 | 5429 | 7909 |
| Models | Performance Metrics | |||||||||||
|---|---|---|---|---|---|---|---|---|---|---|---|---|
| Magnifications | ||||||||||||
| 40× | 100× | 200× | 400× | |||||||||
| PR | RE | F1 | PR | RE | F1 | PR | RE | F1 | PR | RE | F1 | |
| ResNet101 | 0.8761 | 0.8395 | 0.8543 | 0.8389 | 0.836 | 0.8374 | 0.9052 | 0.9121 | 0.9085 | 0.8467 | 0.837 | 0.8415 |
| InceptionResnetV2 | 0.9732 | 0.9811 | 0.977 | 0.9561 | 0.9673 | 0.9614 | 0.9808 | 0.9849 | 0.9828 | 0.9329 | 0.929 | 0.9309 |
| EfficientNetV2 | 0.9847 | 0.9805 | 0.9825 | 0.9402 | 0.9365 | 0.9383 | 0.9964 | 0.9921 | 0.9942 | 0.9514 | 0.9629 | 0.9568 |
| Proposed (EfficientNetV2 + DSE) | 0.9858 | 0.9683 | 0.9764 | 0.9740 | 0.9700 | 0.9720 | 0.9965 | 0.9921 | 0.9943 | 0.996 | 0.9915 | 0.9937 |
| Models | Performance Metrics | |||||||||||
|---|---|---|---|---|---|---|---|---|---|---|---|---|
| Magnifications | ||||||||||||
| 40× | 100× | 200× | 400× | |||||||||
| PR | RE | F1 | PR | RE | F1 | PR | RE | F1 | PR | RE | F1 | |
| ResNet101 | 0.7743 | 0.7808 | 0.7698 | 0.7486 | 0.7463 | 0.7388 | 0.7255 | 0.6895 | 0.7052 | 0.7937 | 0.7665 | 0.7712 |
| InceptionResnetV2 | 0.8684 | 0.8336 | 0.8485 | 0.8385 | 0.8324 | 0.8319 | 0.7767 | 0.7582 | 0.7609 | 0.7835 | 0.6956 | 0.7229 |
| EfficientNetV2 | 0.8918 | 0.8727 | 0.881 | 0.8176 | 0.8437 | 0.8291 | 0.7992 | 0.7691 | 0.7809 | 0.7937 | 0.7665 | 0.7712 |
| Proposed (EfficientNetV2 + DSE) | 0.9616 | 0.9582 | 0.9599 | 0.944 | 0.9487 | 0.9459 | 0.8965 | 0.8133 | 0.8475 | 0.9275 | 0.9202 | 0.919 |
Disclaimer/Publisher’s Note: The statements, opinions and data contained in all publications are solely those of the individual author(s) and contributor(s) and not of MDPI and/or the editor(s). MDPI and/or the editor(s) disclaim responsibility for any injury to people or property resulting from any ideas, methods, instructions or products referred to in the content. |
© 2022 by the authors. Licensee MDPI, Basel, Switzerland. This article is an open access article distributed under the terms and conditions of the Creative Commons Attribution (CC BY) license (https://creativecommons.org/licenses/by/4.0/).
Share and Cite
Sarker, M.M.K.; Akram, F.; Alsharid, M.; Singh, V.K.; Yasrab, R.; Elyan, E. Efficient Breast Cancer Classification Network with Dual Squeeze and Excitation in Histopathological Images. Diagnostics 2023, 13, 103. https://doi.org/10.3390/diagnostics13010103
Sarker MMK, Akram F, Alsharid M, Singh VK, Yasrab R, Elyan E. Efficient Breast Cancer Classification Network with Dual Squeeze and Excitation in Histopathological Images. Diagnostics. 2023; 13(1):103. https://doi.org/10.3390/diagnostics13010103
Chicago/Turabian StyleSarker, Md. Mostafa Kamal, Farhan Akram, Mohammad Alsharid, Vivek Kumar Singh, Robail Yasrab, and Eyad Elyan. 2023. "Efficient Breast Cancer Classification Network with Dual Squeeze and Excitation in Histopathological Images" Diagnostics 13, no. 1: 103. https://doi.org/10.3390/diagnostics13010103
APA StyleSarker, M. M. K., Akram, F., Alsharid, M., Singh, V. K., Yasrab, R., & Elyan, E. (2023). Efficient Breast Cancer Classification Network with Dual Squeeze and Excitation in Histopathological Images. Diagnostics, 13(1), 103. https://doi.org/10.3390/diagnostics13010103

