Serum CA125 and HE4 as Biomarkers for the Detection of Endometrial Cancer and Associated High-Risk Features
Abstract
1. Introduction
2. Materials and Methods
2.1. Study Population
2.2. Laboratory Assays
2.3. Statistical Analysis
3. Results
3.1. Study Population Characteristics
3.2. Descriptive Summary of Serum Biomarkers
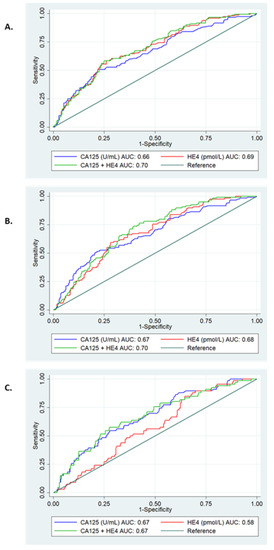
3.3. CA125 and HE4 as Diagnostic Biomarkers for Endometrial Cancer
3.4. CA125 and HE4 as Triage Biomarkers for Intrauterine Investigations in Women with Abnormal Transvaginal Ultrasound Scan Findings
3.5. CA125 and HE4 as Biomarkers of High-Risk Endometrial Cancer
3.6. Diagnostic Accuracy of Serum Biomarkers and MRI for the Detection of Deep MI
4. Discussion
4.1. Main Findings
4.2. Strengths and Limitations
4.3. Comparison with the Existing Literature
4.4. Clinical and Research Implications
5. Conclusions
Supplementary Materials
Author Contributions
Funding
Institutional Review Board Statement
Informed Consent Statement
Data Availability Statement
Acknowledgments
Conflicts of Interest
References
- Cancer Research UK (CRUK). Uterine Cancer Incidence Statistics 2017. Available online: https://www.cancerresearchuk.org/health-professional/cancer-statistics/statistics-by-cancer-type/uterine-cancer/incidence (accessed on 10 May 2022).
- Cancer Research UK (CRUK). Uterine Cancer Survival Statistics 2015. Available online: https://www.cancerresearchuk.org/health-professional/cancer-statistics/statistics-by-cancer-type/uterine-cancer/survival (accessed on 10 May 2022).
- Crosbie, E.J.; Kitson, S.J.; McAlpine, J.N.; Mukhopadhyay, A.; Powell, M.E.; Singh, N. Endometrial cancer. Lancet 2022, 399, 1412–1428. [Google Scholar] [PubMed]
- Morrison, J.; Balega, J.; Buckley, L.; Clamp, A.; Crosbie, E.; Drew, Y.; Durrant, L.; Forrest, J.; Fotopoulou, C.; Gajjar, K.; et al. British Gynaecological Cancer Society (BGCS) uterine cancer guidelines: Recommendations for practice. Eur. J. Obstet. Gynecol. Reprod. Biol. 2022, 270, 50–89. [Google Scholar]
- Timmermans, A.; Opmeer, B.C.; Khan, K.S.; Bachmann, L.M.; Epstein, E.; Clark, T.J.; Gupta, J.K.; Bakour, S.; van den Bosch, T.; van Doorn, H.C.; et al. Endometrial thickness measurement for detecting endometrial cancer in women with postmenopausal bleeding: A systematic review and meta-analysis. Obstet. Gynecol. 2010, 116, 160–167. [Google Scholar] [PubMed]
- Sanjuán, A.; Escaramís, G.; Ayuso, J.R.; Román, S.M.; Torné, A.; Ordi, J.; Lejárcegui, J.A.; Pahisa, J. Role of magnetic resonance imaging and cause of pitfalls in detecting myometrial invasion and cervical involvement in endometrial cancer. Arch. Gynecol. Obstet. 2008, 278, 535–539. [Google Scholar]
- Panyavaranant, P.; Manchana, T. Preoperative markers for the prediction of high-risk features in endometrial cancer. World J. Clin. Oncol. 2020, 11, 378–388. [Google Scholar] [CrossRef] [PubMed]
- Sirisabya, N.; Manchana, T.; Worasethsin, P.; Khemapech, N.; Lertkhachonsuk, R.; Sittisomwong, T.; Vasuratna, A.; Termrungruanglert, W.; Tresukosol, D. Is complete surgical staging necessary in clinically early-stage endometrial carcinoma? Int. J. Gynecol. Cancer 2009, 19, 1057–1061. [Google Scholar] [PubMed]
- Choi, S.I.; Jang, M.A.; Jeon, B.R.; Shin, H.B.; Lee, Y.K.; Lee, Y.W. Clinical usefulness of human epididymis protein 4 in lung cancer. Ann. Lab. Med. 2017, 37, 526–530. [Google Scholar] [CrossRef]
- Huang, J.; Chen, J.; Huang, Q. Diagnostic value of HE4 in ovarian cancer: A meta-analysis. Eur. J. Obstet. Gynecol. Reprod. Biol. 2018, 231, 35–42. [Google Scholar]
- Xi, Z.; LinLin, M.; Ye, T. Human epididymis protein 4 is a biomarker for transitional cell carcinoma in the urinary system. J. Clin. Lab. Anal. 2009, 23, 357–361. [Google Scholar] [CrossRef]
- O’Neal, R.L.; Nam, K.T.; LaFleur, B.J.; Barlow, B.; Nozaki, K.; Lee, H.J.; Kin, W.H.; Yang, H.-K.; Shi, C.; Maitra, A.; et al. Human epididymis protein 4 is up-regulated in gastric and pancreatic adenocarcinomas. Hum. Pathol. 2013, 44, 734–742. [Google Scholar]
- Behrouzi, R.; Barr, C.E.; Crosbie, E.J. HE4 as a Biomarker for endometrial cancer. Cancers 2021, 13, 4764. [Google Scholar] [PubMed]
- Sundar, S.; Balega, J.; Crosbie, E.; Drake, A.; Edmondson, R.; Fotopoulou, C.; Gallos, I.; Ganesan, R.; Gupta, J.; Johnson, N.; et al. BGCS uterine cancer guidelines: Recommendations for practice. Eur. J. Obstet. Gynecol. Reprod. Biol. 2017, 213, 71–97. [Google Scholar] [CrossRef] [PubMed]
- Pecorelli, S. Revised FIGO staging for carcinoma of the vulva, cervix, and endometrium. Int. J. Gynaecol. Obstet. 2009, 105, 103–104. [Google Scholar]
- Masood, M.; Singh, N. Endometrial carcinoma: Changes to classification (WHO 2020). Diagn. Histopathol. 2021, 27, 493–499. [Google Scholar]
- Li, J.; Wang, X.; Qu, W.; Wang, J.; Jiang, S.W. Comparison of serum human epididymis protein 4 and CA125 on endometrial cancer detection: A meta-analysis. Clin. Chim. Acta. 2019, 488, 215–220. [Google Scholar] [CrossRef]
- Barr, C.E.; Funston, G.; Mounce, L.T.A.; Pemberton, P.W.; Howe, J.D.; Crosbie, E.J. Comparison of two immunoassays for the measurement of serum HE4 for ovarian cancer. Pract. Lab. Med. 2021, 26, e00235. [Google Scholar]
- Liu, X. Classification accuracy and cut point selection. Stat. Med. 2012, 31, 2676–2686. [Google Scholar] [CrossRef]
- Usher-Smith, J.A.; Sharp, S.J.; Griffin, S.J. The spectrum effect in tests for risk prediction, screening, and diagnosis. BMJ 2016, 353, i3139. [Google Scholar] [CrossRef]
- Moore, R.G.; Brown, A.K.; Miller, M.C.; Badgwell, D.; Lu, Z.; Allard, W.J.; Granai, C.O.; Bast, R.C., Jr.; Lu, K. Utility of a novel serum tumor biomarker HE4 in patients with endometrioid adenocarcinoma of the uterus. Gynecol. Oncol. 2008, 110, 196–201. [Google Scholar] [CrossRef]
- Liu, J.-L.; Gao, X.-L.; Hou, C.-Z.; Lin, Z.; Xu, H. Diagnostic Significance of Changes in Serum Human Epididymis Epithelial Secretory Protein 4 and Carbohydrate Antigen 125 in Endometrial Carcinoma Patients. Acta. Medica. Mediterr. 2018, 34, 785–789. [Google Scholar]
- Abdalla, N.; Pazura, M.; Słomka, A.; Piórkowski, R.; Sawicki, W.; Cendrowski, K. The role of HE4 and CA125 in differentiation between malignant and non-malignant endometrial pathologies. Ginekol. Pol. 2016, 87, 781–786. [Google Scholar] [CrossRef] [PubMed]
- Zanotti, L.; Bignotti, E.; Calza, S.; Bandiera, E.; Ruggeri, G.; Galli, C.; Tognon, G.; Ragnoli, M.; Romani, C.; Tassi, R.A.; et al. Human epididymis protein 4 as a serum marker for diagnosis of endometrial carcinoma and prediction of clinical outcome. Clin. Chem. Lab. Med. 2012, 12, 2189–2198. [Google Scholar]
- Dong, C.; Liu, P.; Li, C. Value of HE4 combined with cancer antigen 125 in the diagnosis of endometrial cancer. Pak. J. Med. Sci. 2017, 33, 1013–1017. [Google Scholar] [CrossRef] [PubMed]
- Dewan, R.; Dewan, A.; Hare, S.; Bhardwaj, M.; Mehrotra, K. Diagnostic performance of serum human epididymis protein 4 in endometrial carcinoma: A pilot study. JCDR 2017, 11, XC01–XC05. [Google Scholar] [CrossRef]
- Angioli, R.; Plotti, F.; Capriglione, S.; Montera, R.; Damiani, P.; Ricciardi, R.; Aloisi, A.; Luvero, D.; Cafà, E.V.; Dugo, N.; et al. The role of novel biomarker HE4 in endometrial cancer: A case control prospective study. Tumor Biol. 2013, 34, 571–576. [Google Scholar]
- Bian, J.; Sun, X.; Li, B.; Ming, L. Clinical significance of serum HE4, CA125, CA724, and CA19–9 in patients with endometrial cancer. Technol. Cancer Res. Treat. 2016, 16, 435–439. [Google Scholar] [CrossRef]
- Bignotti, E.; Ragnoli, M.; Zanotti, L.; Calza, S.; Falchetti, M.; Lonardi, S.; Berqamelli, S.; Bandiera, E.; Tassi, R.A.; Romani, C.; et al. Diagnostic and prognostic impact of serum HE4 detection in endometrial carcinoma patients. Br. J. Cancer 2011, 104, 1418–1425. [Google Scholar]
- Omer, B.; Genc, S.; Takmaz, O.; Dirican, A.; Kusku-Kiraz, Z.; Berkman, S.; Gurdol, F. The diagnostic role of human epididymis protein 4 and serum amyloid-A in early-stage endometrial cancer patients. Tumor Biol. 2013, 34, 2645–2650. [Google Scholar]
- Chen, Y.; Ren, Y.L.; Li, N.; Yi, X.F.; Wang, H.Y. Serum human epididymis protein 4 vs. carbohydrate antigen 125 and their combination for endometrial cancer diagnosis: A meta-analysis. Eur. Rev. Med. Pharmacol. Sci. 2016, 20, 1974–1985. [Google Scholar]
- Huang, G.Q.; Xi, Y.Y.; Zhang, C.J.; Jiang, X. Serum human epididymis protein 4 combined with carbohydrate antigen 125 for endometrial carcinoma diagnosis: A meta-analysis and systematic review. Genet. Test Mol. Biomarkers. 2019, 23, 580–588. [Google Scholar] [CrossRef]
- Njoku, K.; Barr, C.E.; Sutton, C.J.J.; Crosbie, E.J. Urine CA125 and HE4 for the triage of symptomatic women with suspected endometrial cancer. Cancers 2022, 14, 3306. [Google Scholar] [PubMed]
- Antonsen, S.L.; Høgdall, E.; Christensen, I.J.; Lydolph, M.; Tabor, A.; Loft Jakobsen, A.; Fagö-Olsen, C.L.; Andersen, E.S.; Jochumsen, K.; Høgdall, C. HE4 and CA125 levels in the preoperative assessment of endometrial cancer patients: A prospective multicenter study (ENDOMET). Acta. Obstet. Gynecol. Scand. 2013, 92, 1313–1322. [Google Scholar] [CrossRef] [PubMed]
- Brennan, D.J.; Hackethal, A.; Metcalf, A.M.; Coward, J.; Ferguson, K.; Oehler, M.K.; Quinn, M.A.; Janda, M.; Leung, Y.; Freemantle, M.; et al. Serum HE4 as a prognostic marker in endometrial cancer—A population based study. Gynecol Oncol. 2014, 132, 159–165. [Google Scholar] [CrossRef] [PubMed]
- Zamani, N.; Modares Gilani, M.; Zamani, F.; Zamani, M.H. Utility of Pelvic MRI and Tumor Markers HE4 and CA125 to Predict Depth of Myometrial Invasion and Cervical Involvement in Endometrial Cancer. J. Fam. Reprod. Health. 2015, 9, 177–183. [Google Scholar]
- Rajadevan, N.; McNally, O.; Neesham, D.; Richards, A.; Naaman, Y. Prognostic value of serum HE4 level in the management of endometrial cancer: A pilot study. Aust. N. Z. J. Obstet. Gynaecol. 2021, 61, 284–289. [Google Scholar] [CrossRef] [PubMed]
- National Institue for Health and Care Excellence (NICE). Suspected Cancer: Recognition and Referral. NICE Guideline 12 (NG12). Available online: https://www.nice.org.uk/guidance/ng12 (accessed on 10 May 2022).
- Zhou, Y.; Mendonca, S.C.; Abel, G.A.; Hamilton, W.; Walter, F.M.; Johnson, S.; Shelton, J.; Elliss-Brookes, L.; McPhail, S.; Lyratzopoulos, G. Variation in ’fast-track’ referrals for suspected cancer by patient characteristic and cancer diagnosis: Evidence from 670,000 patients with cancers of 35 different sites. Br. J. Cancer. 2018, 118, 24–31. [Google Scholar] [CrossRef]
- Sandri, M.T.; Bottari, F.; Franchi, D.; Boveri, S.; Candiani, M.; Ronzoni, S.; Peiretti, M.; Radice, D.; Passerini, R.; Sideri, M. Comparison of HE4, CA125 and ROMA algorithm in women with a pelvic mass: Correlation with pathological outcome. Gynecol. Oncol. 2013, 128, 233–238. [Google Scholar] [CrossRef] [PubMed]
- Moore, R.G.; Miller, M.C.; Steinhoff, M.M.; Skates, S.J.; Lu, K.H.; Lambert-Messerlian, G.; Bast, R.C., Jr. Serum HE4 levels are less frequently elevated than CA125 in women with benign gynecologic disorders. Am. J. Obstet. Gynecol. 2012, 206, 351.e1–351.e8. [Google Scholar] [CrossRef] [PubMed]
- Moore, R.G.; Miller, M.C.; Eklund, E.E.; Lu, K.H.; Bast, R.C., Jr.; Lambert-Messerlian, G. Serum levels of the ovarian cancer biomarker HE4 are decreased in pregnancy and increase with age. AJOG 2012, 206, 349.e1–349.e7. [Google Scholar]
- Wilailak, S.; Chan, K.K.L.; Chen, C.-A.; Nam, J.-H.; Ochiai, K.; Aw, T.-C.; Sabaratnam, S.; Hebbar, S.; Sickan, J.; Schodin, B.A.; et al. Distinguishing benign from malignant pelvic mass utilizing an algorithm with HE4, menopausal status, and ultrasound findings. J. Gynecol. Oncol. 2015, 26, 46–53. [Google Scholar] [CrossRef]
- Moore, R.G.; McMeekin, D.S.; Brown, A.K.; DiSilvestro, P.; Miller, M.C.; Allard, W.J.; Gajewski, W.; Kurman, R.; Bast, R.C., Jr.; Skates, S.J. A novel multiple marker bioassay utilizing HE4 and CA125 for the prediction of ovarian cancer in patients with a pelvic mass. Gynecol. Oncol. 2009, 112, 40–46. [Google Scholar] [CrossRef] [PubMed]
- Barr, C.E.; Funston, G.; Jeevan, D.; Sundar, S.; Mounce, L.T.A.; Crosbie, E.J. The Performance of HE4 Alone and in Combination with CA125 for the Detection of Ovarian Cancer in an Enriched Primary Care Population. Cancers 2022, 14, 2124. [Google Scholar] [CrossRef] [PubMed]
- Stålberg, K.; Kjølhede, P.; Bjurberg, M.; Borgfeldt, C.; Dahm-Kähler, P.; Falconer, H.; Holmberg, E.; Staf, C.; Tholander, B.; Åvall-Lundqvist, E.; et al. Risk factors for lymph node metastases in women with endometrial cancer: A population-based, nation-wide register study—On behalf of the Swedish Gynecological Cancer Group. Int. J. Cancer 2017, 140, 2693–2700. [Google Scholar] [CrossRef]
- Abbink, K.; Zusterzeel, P.L.; Geurts-Moespot, A.J.; Herwaarden, A.E.V.; Pijnenborg, J.M.; Sweep, F.C.; Massuger, L.F. HE4 is superior to CA125 in the detection of recurrent disease in high-risk endometrial cancer patients. Tumour Biol. 2018, 40, 1010428318757103. [Google Scholar] [CrossRef]
- Dobrzycka, B.; Mackowiak-Matejczyk, B.; Terlikowska, K.M.; Kinalski, M.; Terlikowski, S.J. Utility of HE4 to identify patients with endometrioid endometrial cancer who may require lymphadenectomy. Adv. Med. Sci. 2016, 61, 23–27. [Google Scholar] [CrossRef]
- Gao, M.; Gao, Y. Value of preoperative neutrophil–lymphocyte ratio and human epididymis protein 4 in predicting lymph node metastasis in endometrial cancer patients. J. Obstet. Gynaecol. Res. 2021, 47, 515–520. [Google Scholar] [CrossRef] [PubMed]
- Gąsiorowska, E.; Magnowska, M.; Iżycka, N.; Warchoł, W.; Nowak-Markwitz, E. The role of HE4 in differentiating benign and malignant endometrial pathology. Ginekol. Pol. 2016, 87, 260–264. [Google Scholar]
- O’Toole, S.A.; Huang, Y.; Norris, L.; Power Foley, M.; Shireen, R.; McDonald, S.; Kamran, W.; Ibrahim, N.; Ward, M.; Thompson, C.; et al. HE4 and CA125 as preoperative risk stratifiers for lymph node metastasis in endometrioid carcinoma of the endometrium: A retrospective study in a cohort with histological proof of lymph node status. Gynecol. Oncol. 2021, 160, 514–519. [Google Scholar] [CrossRef]
- Wang, Y.; Han, C.; Teng, F.; Bai, Z.; Tian, W.; Xue, F. Predictive value of serum HE4 and CA125 concentrations for lymphatic metastasis of endometrial cancer. IJGO 2017, 136, 58–63. [Google Scholar] [CrossRef]
- Badrick, E.; Cresswell, K.; Ellis, P.; Detecting Cancer Early Priority Setting Partnership Steering Group (appendix); Renehan, A.G.; Crosbie, E.J. Top ten research priorities for detecting cancer early. Lancet Public Health 2019, 4, e551. [Google Scholar] [CrossRef]
- National Institute for Health and Care Excellence (NICE). Ovarian Cancer: Recognition and Initial Management Clinical Guideline 122 (CG122). Available online: https://www.nice.org.uk/Guidance/CG1222011 (accessed on 10 May 2022).
- Moore, R.G.; Brown, A.K.; Miller, M.C.; Skates, S.; Allard, W.J.; Verch, T.; Steinhoff, M.; Messerlian, G.; DiSilvestro, P.; Granai, C.O.; et al. The use of multiple novel tumor biomarkers for the detection of ovarian carcinoma in patients with a pelvic mass. Gynecol. Oncol. 2008, 108, 402–408. [Google Scholar] [CrossRef] [PubMed]
- Kurihara, T.; Mizunuma, H.; Obara, M.; Andoh, K.; Ibuki, Y.; Nishimura, T. Determination of a normal level of serum CA125 in postmenopausal women as a tool for preoperative evaluation and postoperative surveillance of endometrial carcinoma. Gynecol. Oncol. 1998, 69, 192–196. [Google Scholar] [PubMed]


| All Participants n = 755 | No EC n = 358 | EC n = 397 | p Value (No EC vs. EC) | |
|---|---|---|---|---|
| Age (years) | ||||
| Median (IQR) | 64 (53–73) | 58 (52–72) | 66 (57–73) | <0.001 |
| BMI (kg/m2) | ||||
| Median (IQR) | 31 (26–40) | 30 (25–40) | 32 (27–41) | 0.007 |
| Menopausal | ||||
| No Yes Missing data | 108 (14) 643 (85) 4 (1) | 50 (14) 305 (85) 3 (1) | 58 (14) 338 (85) 1 (1) | 0.83 |
| Parity | ||||
| Nulliparous Multiparous Missing data | 127 (17) 582 (77) 46 (6) | 44 (12) 287 (80) 27 (8) | 83 (21) 295 (74) 19 (5) | 0.003 |
| T2DM | ||||
| No Yes Missing | 630 (83) 123 (16) 2 (1) | 303 (84.6) 54 (15) 1 (0.4) | 327 (82) 69 (17) 1 (1) | 0.394 |
| Hypertension | ||||
| No Yes Missing | 455 (60) 298 (39) 2 (1) | 219 (61.1) 138 (38.5) 1 (0.4) | 236 (59) 160 (40) 1 (1) | 0.624 |
| Number (%) | |
|---|---|
| Histological subtype | |
| Endometrioid Clear Cell Serous Mucinous Carcinosarcoma Mixed | 317 (80) 15 (4) 27 (6) 2 (0.5) 28 (7.5) 8 (2) |
| Grade | |
| 1 2 3 | 190 (48) 88 (22) 119 (30) |
| FIGO 2009 Stage | |
| I II III IV | 302 (76) 40 (10) 45 (11) 10 (3) |
| Molecular classification (n = 219, 55%) | |
| POLE-M MMR-D p53abn NSMP | 10 (5) 67 (30) 24 (11) 118 (54) |
| LVSI (n = 395, 99%) | |
| No Yes | 277 (70) 118 (30) |
| Myometrial Invasion | |
| No Yes | 253 (64) 144 (36) |
| Cervical Stromal Invasion (n = 394, 99%) | |
| No Yes | 328 (83) 66 (17) |
| Benign Pathology | Number (%) |
|---|---|
| Normal endometrium Atrophy Endometrial polyp Cervical polyp Endometritis Fibroid | 267 (75%) 48 (13%) 33 (9%) 3 (0.8%) 1 (0.2%) 6 (2%) |
| Variable | Median CA125, U/mL (IQR) | p-Value | Median HE4, pmol/L (IQR) | p-Value |
|---|---|---|---|---|
| ||||
| Age (years) | ||||
| <65 ≥65 | 13.9 (9.9–20.8) 16.3 (10.7–28.3) | 0.001 | 71.4 (55.0–105.0) 121.2 (90.9–196.5) | <0.001 |
| BMI (kg/m2) | ||||
| <30 ≥30 | 14.2 (9.8–22) 15.4 (10.5–25.9) | 0.11 | 94.7 (68.9–139.7) 93.0 (62.4–156.2) | 0.53 |
| Menopausal | ||||
| No Yes | 14.3 (10.0–22.8) 15.0 (10.2–25.1) | 0.26 | 63.8 (50.5–86.95) 99 (69.7–156.5) | <0.001 |
| T2DM | ||||
| No Yes | 15.0 (10.4–24.8) 14.7 (9.6–24.2) | 0.35 | 92.6 (65.9–141.7) 98.9 (66.0–162.1) | 0.47 |
| ||||
| Histological diagnosis | ||||
| Benign EC | 11.8 (9.1–17.2) 18.8 (12.6–34.6) | <0.001 | 73.6 (56.2–98.0) 123.9 (81.8–198.4) | <0.001 |
| Stage | ||||
| I+II III+IV | 18.2 (12.1–30.1) 34.6 (17.7–77.2) | <0.001 | 121.3 (79.7–186.1) 163.8 (96.1–298.3) | 0.02 |
| Grade | ||||
| 1+2 3 | 18.4 (12.1–31.1) 20.7(14.5–43.5) | 0.006 | 118.8 (76.9–183.7) 134.0 (99.0–228.0) | 0.01 |
| Myometrial Invasion | ||||
| <50% ≥50% | 17.3 (11.7–26.6) 27.6 (15.8–53.01) | <0.001 | 108.2 (75.1–158.0) 165.0 (104.4–281.8) | <0.001 |
| LVSI | ||||
| Absent Present | 17.4 (11.7–27.0) 30.2 916.2–55.1) | <0.001 | 109.1 (75.8–162.8) 207.2 (12.5–401.8) | <0.001 |
| Histological Subtype | ||||
| EEC Non-EEC | 18.8 (12.5–33.6) 19.8 (13.4–43.5) | 0.19 | 122.3 (79.7–189.5) 131.6 (93.3–228.0) | 0.19 |
| Cervical Stromal invasion | ||||
| No Yes | 18.2 (12.2–30.4) 29.8 (17.2–65.1) | <0.001 | 121.2 (77.9–195.1) 141.9 (99.1–196.5) | 0.05 |
| Molecular Classification | ||||
| POLE-M MMR-D NSMP p53Abn | 22.1 (18.2–45.1) 18.4 (13.1–31.9) 18.25 (11.5–32.0) 16.6 (12.0–36.2) | 0.61 | 139.9 (77.1–189.5) 141.1 (99.1–246.6) 121.0 (82.7–183.6) 162.05 (97.9–230.0) | 0.33 |
| Biomarker | Histology | Total | Diagnostic Accuracy | ||||
|---|---|---|---|---|---|---|---|
| No EC, n | EC, n | Sensitivity, % (95% CI) | Specificity, % (95% CI) | PPV, % (95% CI) | NPV, % (95% CI) | ||
| |||||||
| CA125 (U/mL) | |||||||
| <35 | 339 | 298 | 637 | ||||
| ≥35 | 19 | 99 | 118 | 24.9 (20.8–29.5) | 94.7 (91.8–96.8) | 83.9 (76.0–90.0) | 53.2 (49.3–57.1) |
| HE4 (pmol/L) | |||||||
| <77 pmol/L | 190 | 82 | 272 | ||||
| ≥77 pmol/L | 168 | 315 | 483 | 79.3 (75.0–83.2) | 53.1 (47.8–58.3) | 65.2 (60.8–69.5) | 69.9 (64.0–75.2) |
| Combined | |||||||
| Negative | 186 | 77 | 263 | ||||
| Positive * | 172 | 320 | 492 | 80.6 (76.4–84.4) | 52.0 (46.6–57.2) | 65.0 (60.6–69.3) | 70.7 (64.8–76.2) |
| |||||||
| CA125 (U/mL) | |||||||
| <35 | 50 | 51 | 101 | ||||
| ≥35 | 0 | 7 | 7 | 12.1 (4.99–23.3) | 100 (92.9–100) | 100 (59–100) | 49.5 (39.4–59.6) |
| HE4 (pmol/L) | |||||||
| <77 pmol/L | 41 | 9 | 50 | ||||
| ≥77 pmol/L | 9 | 30 | 58 | 51.7 (38.2–65.0) | 82.0 (68.6–91.4) | 76.9 (60.7–88.9) | 59.4 (46.9–71.1) |
| Combined | |||||||
| Negative | 41 | 28 | 69 | ||||
| Positive * | 9 | 30 | 39 | 51.7 (38.2–65.0) | 82.0 (68.6–91.4) | 76.9 (60.7–88.9) | 59.4 (46.9–71.1) |
| |||||||
| CA125 (U/mL) | |||||||
| <35 | 287 | 246 | 533 | ||||
| ≥35 | 18 | 92 | 110 | 27.2 (22.5–32.3) | 94.1 (90.8–96.5) | 83.6 (75.4–90.0) | 53.8 (49.5–58.1) |
| HE4 (pmol/L) | |||||||
| <77 pmol/L | 148 | 53 | 201 | ||||
| ≥77 pmol/L | 157 | 285 | 442 | 84.3 (80.0–88.0) | 48.5 (42.8–54.3) | 64.5 (59.8–68.9) | 73.6 (67.0–79.6) |
| Combined | |||||||
| Negative | 144 | 48 | 192 | ||||
| Positive * | 161 | 290 | 451 | 85.8 (81.6–89.3) | 47.2 (41.5–53.0) | 64.3 (59.7–68.7) | 75.0 (68.3–81.0) |
| Biomarker/ Imaging | Histology | Total | Diagnostic Accuracy | ||||
|---|---|---|---|---|---|---|---|
| No EC, n | EC, n | Sensitivity, % (95% CI) | Specificity, % (95% CI) | PPV, % (95% CI) | NPV, % (95% CI) | ||
| |||||||
| TVS | |||||||
| Normal | 55 | 9 | 64 | ||||
| Abnormal | 105 | 357 | 462 | 97.5 (95.4–98.9) | 34.4 (27.1–42.3) | 77.3 (73.2–81.0) | 85.9 (75.0–93.4) |
| CA125 (U/mL) | |||||||
| <35 | 152 | 277 | 429 | ||||
| ≥35 | 8 | 89 | 97 | 24.3 (20.0–29.0) | 95.0 (90.4–97.8) | 91.8 (84.4–96.4) | 35.4 (30.9–40.2) |
| HE4 (pmol/L) | |||||||
| <77 | 105 | 76 | 181 | ||||
| ≥77 | 55 | 290 | 345 | 79.2 (74.7–83.3) | 65.6 (57.7–72.9) | 84.1 (79.8–87.8) | 58.0 (50.5–65.3) |
| |||||||
| CA125 (U/mL) | |||||||
| <35 | 100 | 269 | 369 | ||||
| ≥35 | 5 | 88 | 93 | 24.6 (20.3–29.5) | 95.2 (89.2–98.4) | 94.6 (87.9–98.2) | 27.1 (22.6–31.9) |
| HE4 (pmol/L) | |||||||
| <77 pmol/L | 72 | 73 | 145 | ||||
| ≥77 pmol/L | 33 | 284 | 317 | 79.6 (75.0–83.6) | 68.6 (58.8–77.3) | 89.6 (85.7–92.7) | 49.7 (41.3–58.1) |
| Combined | |||||||
| Negative | 70 | 68 | 138 | ||||
| Positive * | 35 | 289 | 324 | 81.0 (76.5–84.9) | 66.7 (56.8–75.6) | 89.2 (85.3–92.4) | 50.7 (42.1–59.3) |
| Biomarker/ Imaging | Histology | Total | Diagnostic Accuracy | ||||
|---|---|---|---|---|---|---|---|
| MI < 50%, n | MI ≥ 50%, n | Sensitivity, % (95% CI) | Specificity, % (95% CI) | PPV, % (95% CI) | NPV, % (95% CI) | ||
| |||||||
| MRI | |||||||
| Normal | 91 | 6 | 97 | ||||
| Abnormal | 44 | 47 | 91 | 88.7 (77.0–95.7) | 67.4 (58.8–75.2) | 51.6 (40.9–62.3) | 93.8 (87.0–97.7) |
| CA125 (U/mL) | |||||||
| <35 | 115 | 33 | 148 | ||||
| ≥35 | 20 | 20 | 40 | 37.7 (24.8–52.1) | 85.2 (78.1–90.7) | 50.0 (33.8–66.2) | 77.7 (70.1–84.1) |
| HE4 (pmol/L) | |||||||
| <77 | 34 | 2 | 36 | ||||
| ≥77 | 101 | 51 | 152 | 96.2 (87.0–99.5) | 25.2 (18.1–33.4) | 33.6 (26.1–41.7) | 94.4 (81.3–99.3) |
| |||||||
| CA125 (U/mL) | |||||||
| <35 | 35 | 29 | 64 | ||||
| ≥35 | 9 | 18 | 27 | 38.3 (24.5–53.6) | 79.5 (64.7–90.2) | 66.7 (46.0–83.5) | 54.7 (41.7–67.2) |
| HE4 (pmol/L) | |||||||
| <77 pmol/L | 4 | 2 | 6 | ||||
| ≥77 pmol/L | 40 | 45 | 85 | 95.7 (85.5–99.5) | 9.09 (2.53–21.7) | 52.9 (41.8–63.9) | 66.7 (22.3–95.7) |
| Combined | |||||||
| Negative | 4 | 1 | 5 | ||||
| Positive * | 40 | 46 | 86 | 97.9 (88.7–99.9) | 9.09 (2.53–21.7) | 53.5 (42.4–64.3) | 80.0 (28.4–99.5) |
| |||||||
| CA125 (U/mL) | |||||||
| <35 | 80 | 4 | 84 | ||||
| ≥35 | 11 | 2 | 13 | 33.3 (4.3–77.7) | 87.9 (79.4–93.8) | 15.4 (1.92–45.4) | 95.2 (88.3–98.7) |
| HE4 (pmol/L) | |||||||
| <77 pmol/L | 30 | 0 | 30 | ||||
| ≥77 pmol/L | 61 | 6 | 67 | 100 (54.1–100) | 33.0 (23.5–43.6) | 8.96 (3.36–18.5) | 100 (88.4–100) |
| Combined | |||||||
| Negative | 28 | 0 | 28 | ||||
| Positive * | 63 | 6 | 69 | 100 (54.1–100) | 30.8 (21.5–41.3) | 8.7 (3.26–18.0) | 100 (87.7–100) |
Publisher’s Note: MDPI stays neutral with regard to jurisdictional claims in published maps and institutional affiliations. |
© 2022 by the authors. Licensee MDPI, Basel, Switzerland. This article is an open access article distributed under the terms and conditions of the Creative Commons Attribution (CC BY) license (https://creativecommons.org/licenses/by/4.0/).
Share and Cite
Barr, C.E.; Njoku, K.; Jones, E.R.; Crosbie, E.J. Serum CA125 and HE4 as Biomarkers for the Detection of Endometrial Cancer and Associated High-Risk Features. Diagnostics 2022, 12, 2834. https://doi.org/10.3390/diagnostics12112834
Barr CE, Njoku K, Jones ER, Crosbie EJ. Serum CA125 and HE4 as Biomarkers for the Detection of Endometrial Cancer and Associated High-Risk Features. Diagnostics. 2022; 12(11):2834. https://doi.org/10.3390/diagnostics12112834
Chicago/Turabian StyleBarr, Chloe E., Kelechi Njoku, Eleanor R. Jones, and Emma J. Crosbie. 2022. "Serum CA125 and HE4 as Biomarkers for the Detection of Endometrial Cancer and Associated High-Risk Features" Diagnostics 12, no. 11: 2834. https://doi.org/10.3390/diagnostics12112834
APA StyleBarr, C. E., Njoku, K., Jones, E. R., & Crosbie, E. J. (2022). Serum CA125 and HE4 as Biomarkers for the Detection of Endometrial Cancer and Associated High-Risk Features. Diagnostics, 12(11), 2834. https://doi.org/10.3390/diagnostics12112834

