Factors Predicting Effectiveness of Eradication Therapy for Helicobacter pylori-Associated Dyspepsia Symptoms
Abstract
1. Introduction
2. Materials and Methods
2.1. Patients
2.2. Diagnosis of H. pylori Infection and Serum PG Levels
2.3. Evaluation of H. pylori Eradication Efficacy
2.4. Statistical Analysis
3. Results
3.1. Characteristics of Responders and Non-Responders
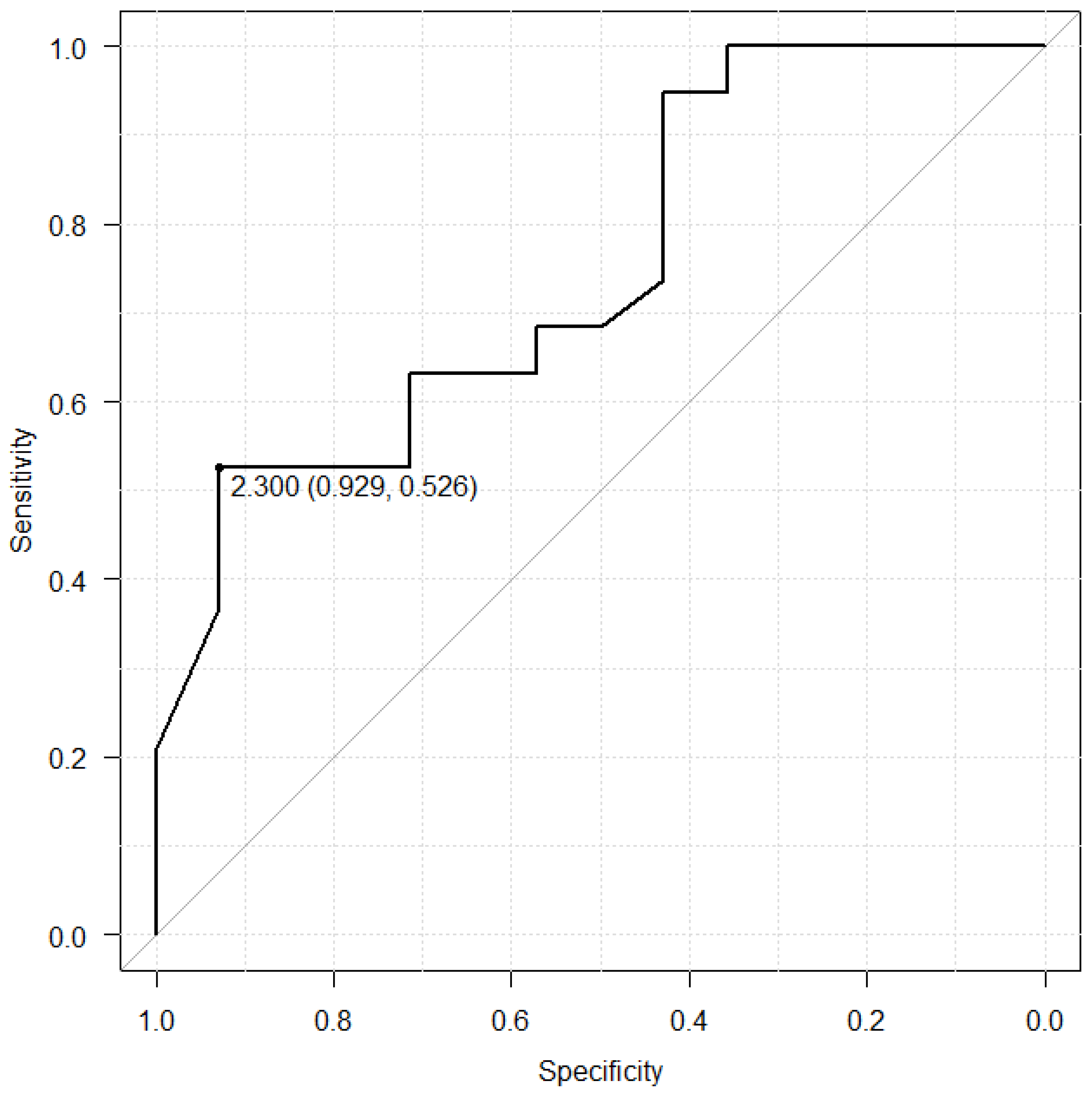
3.2. Cut-off PG I/II Ratio to Predict Sustained Dyspeptic Symptoms
3.3. Changes in Modified FSSG Scores Regarding PG I/II
3.4. Multivariate Logistic Regression Analysis of Predictive Factors Associated with No Amelioration of Dyspeptic Symptoms after H. pylori Eradication
4. Discussion
5. Conclusions
Supplementary Materials
Author Contributions
Funding
Institutional Review Board Statement
Informed Consent Statement
Data Availability Statement
Acknowledgments
Conflicts of Interest
References
- Stanghellini, V.; Chan, F.K.; Hasler, W.L.; Malagelada, J.R.; Suzuki, H.; Tack, J.; Talley, N.J. Gastroduodenal disorders. Gastroenterology 2016, 150, 1380–1392. [Google Scholar] [CrossRef] [PubMed]
- Kaji, M.; Fujiwara, Y.; Shiba, M.; Kohata, Y.; Yamagami, H.; Tanigawa, T.; Watanabe, K.; Watanabe, T.; Tominaga, K.; Arakawa, T. Prevalence of overlaps between GERD, FD and IBS and impact on health-related quality of life. J. Gastroenterol. Hepatol. 2010, 25, 1151–1156. [Google Scholar] [CrossRef] [PubMed]
- Ohara, S.; Kawano, T.; Kusano, M.; Kouzu, T. Survey on the prevalence of GERD and FD based on the Montreal definition and the Rome III criteria among patients presenting with epigastric symptoms in Japan. J. Gastroenterol. 2011, 46, 603–611. [Google Scholar] [CrossRef] [PubMed]
- Japanese Society of Gastroenterology. Evidence-Based Clinical Practice Guidelines for Functional Dyspepsia (FD), 2nd ed.; Japanese Society of Gastroenterology: Tokyo, Japan, 2021. [Google Scholar]
- Miwa, H. Why dyspepsia can occur without organic disease: Pathogenesis and management of functional dyspepsia. J. Gastroenterol. 2012, 47, 862–871. [Google Scholar] [CrossRef] [PubMed]
- Wang, W.H.; Huang, J.Q.; Zheng, G.F.; Xia, H.H.; Wong, W.M.; Liu, X.G.; Karlberg, J.; Wong, B.C. Effects of proton-pump inhibitors on functional dyspepsia: A meta-analysis of randomized placebo-controlled trials. Clin. Gastroenterol. Hepatol. 2007, 5, 178–185, quiz 140. [Google Scholar] [CrossRef] [PubMed]
- Matsueda, K.; Hongo, M.; Tack, J.; Aoki, H.; Saito, Y.; Kato, H. Clinical trial: Dose-dependent therapeutic efficacy of acotiamide hydrochloride (Z-338) in patients with functional dyspepsia—100 mg t.i.d. is an optimal dosage. Neurogastroenterol. Motil. 2010, 22, 618-e173. [Google Scholar] [CrossRef] [PubMed]
- Nakamura, K.; Tomita, T.; Oshima, T.; Asano, H.; Yamasaki, T.; Okugawa, T.; Kondo, T.; Kono, T.; Tozawa, K.; Ohda, Y.; et al. A double-blind placebo controlled study of acotiamide hydrochloride for efficacy on gastrointestinal motility of patients with functional dyspepsia. J. Gastroenterol. 2017, 52, 602–610. [Google Scholar] [CrossRef] [PubMed]
- Oshima, T. Functional dyspepsia: Current understanding and future perspective. Digestion 2023, 105, 26–33. [Google Scholar] [CrossRef] [PubMed]
- Kusters, J.G.; van Vliet, A.H.; Kuipers, E.J. Pathogenesis of Helicobacter pylori infection. Clin. Microbiol. Rev. 2006, 19, 449–490. [Google Scholar] [CrossRef] [PubMed]
- Osaki, T.; Konno, M.; Yonezawa, H.; Hojo, F.; Zaman, C.; Takahashi, M.; Fujiwara, S.; Kamiya, S. Analysis of intra-familial transmission of Helicobacter pylori in Japanese families. J. Med. Microbiol. 2015, 64, 67–73. [Google Scholar] [CrossRef] [PubMed]
- Ansari, S.; Yamaoka, Y. Helicobacter pylori infection, its laboratory diagnosis, and antimicrobial resistance: A perspective of clinical relevance. Clin. Microbiol. Rev. 2022, 35, e0025821. [Google Scholar] [CrossRef] [PubMed]
- Lee, Y.C.; Dore, M.P.; Graham, D.Y. Diagnosis and treatment of Helicobacter pylori infection. Annu. Rev. Med. 2022, 73, 183–195. [Google Scholar] [CrossRef] [PubMed]
- Malfertheiner, P.; MOssner, J.; Fischbach, W.; Layer, P.; Leodolter, A.; Stolte, M.; Demleitner, K.; Fuchs, W. Helicobacter pylori eradication is beneficial in the treatment of functional dyspepsia. Aliment. Pharmacol. Ther. 2003, 18, 615–625. [Google Scholar] [CrossRef] [PubMed]
- Moayyedi, P. Helicobacter pylori eradication for functional dyspepsia: What are we treating?: Comment on “Helicobacter pylori eradication in functional dyspepsia”. Arch. Intern. Med. 2011, 171, 1936–1937. [Google Scholar] [CrossRef] [PubMed]
- Sugano, K.; Tack, J.; Kuipers, E.J.; Graham, D.Y.; El-Omar, E.M.; Miura, S.; Haruma, K.; Asaka, M.; Uemura, N.; Malfertheiner, P.; et al. Kyoto global consensus report on Helicobacter pylori gastritis. Gut 2015, 64, 1353–1367. [Google Scholar] [CrossRef] [PubMed]
- Ebara, S.; Shirasaka, D.; Aoyama, N.; Kachi, M.; Miki, I.; Morita, Y.; Tamura, T.; Kasuga, M. The relationship between gastric emptying determined by the breath test and H. pylori. Hepato-Gastroenterol. 2007, 54, 613–616. [Google Scholar] [PubMed]
- Kodama, M.; Murakami, K.; Okimoto, T.; Abe, T.; Nakagawa, Y.; Mizukami, K.; Uchida, M.; Inoue, K.; Fujioka, T. Helicobacter pylori eradication improves gastric atrophy and intestinal metaplasia in long-term observation. Digestion 2012, 85, 126–130. [Google Scholar] [CrossRef] [PubMed]
- Miki, K.; Morita, M.; Sasajima, M.; Hoshina, R.; Kanda, E.; Urita, Y. Usefulness of gastric cancer screening using the serum pepsinogen test method. Am. J. Gastroenterol. 2003, 98, 735–739. [Google Scholar] [CrossRef]
- Miki, K.; Urita, Y. Using serum pepsinogens wisely in a clinical practice. J. Dig. Dis. 2007, 8, 8–14. [Google Scholar] [CrossRef]
- Chinda, D.; Shimoyama, T.; Mikami, T.; Arai, T.; Chiba, D.; Sasaki, Y.; Komai, K.; Sawada, Y.; Saito, Y.; Chiba, H.; et al. Serum pepsinogen levels indicate the requirement of upper gastrointestinal endoscopy among group a subjects of ABC classification: A multicenter study. J. Gastroenterol. 2018, 53, 924–931. [Google Scholar] [CrossRef] [PubMed]
- Iijima, K.; Koike, T.; Abe, Y.; Shimosegawa, T. Cutoff serum pepsinogen values for predicting gastric acid secretion status. Tohoku J. Exp. Med. 2014, 232, 293–300. [Google Scholar] [CrossRef] [PubMed]
- Nakamura, M.; Haruma, K.; Kamada, T.; Mihara, M.; Yoshihara, M.; Sumioka, M.; Fukuhara, T.; Chayama, K. Cigarette smoking promotes atrophic gastritis in Helicobacter pylori-positive subjects. Dig. Dis. Sci. 2002, 47, 675–681. [Google Scholar] [CrossRef] [PubMed]
- Kusano, M.; Hosaka, H.; Kawada, A.; Kuribayashi, S.; Shimoyama, Y.; Kawamura, O.; Moki, F. Development and evaluation of a modified frequency scale for the symptoms of gastroesophageal reflux disease to distinguish functional dyspepsia from non-erosive reflux disease. J. Gastroenterol. Hepatol. 2012, 27, 1187–1191. [Google Scholar] [CrossRef] [PubMed]
- Kusano, M.; Shimoyama, Y.; Sugimoto, S.; Kawamura, O.; Maeda, M.; Minashi, K.; Kuribayashi, S.; Higuchi, T.; Zai, H.; Ino, K.; et al. Development and evaluation of FSSG: Frequency scale for the symptoms of GERD. J. Gastroenterol. 2004, 39, 888–891. [Google Scholar] [CrossRef] [PubMed]
- Oshima, T.; Fukui, H.; Watari, J.; Miwa, H. Childhood abuse history is associated with the development of dyspepsia: A population-based survey in Japan. J. Gastroenterol. 2015, 50, 744–750. [Google Scholar] [CrossRef] [PubMed]
- Ohara, S.; Kato, M.; Asaka, M.; Toyota, T. Studies of 13C-urea breath test for diagnosis of Helicobacter pylori infection in Japan. J. Gastroenterol. 1998, 33, 6–13. [Google Scholar] [CrossRef] [PubMed]
- Sato, M.; Shimoyama, T.; Takahashi, R.; Kajiyama, H.; Sano, Y.; Sakaedani, N.; Kato, A.; Hirata, H.; Fukuda, Y. Characterization and usefulness of stool antigen tests using a monoclonal antibody to Helicobacter pylori catalase. J. Gastroenterol. Hepatol. 2012, 27 (Suppl. 3), 23–28. [Google Scholar] [CrossRef] [PubMed]
- Akutagawa, K.; Iwakiri, R.; Hara, M.; Fujimoto, K.; Fujiwara, Y.; Inamori, M.; Tanaka, J.; Shimatani, T.; Akiyama, J.; Ando, T.; et al. Risk factors for low response to proton-pump inhibitor treatment in reflux esophagitis and non-erosive reflux disease evaluated by the frequency scale for the symptoms of gastroesophageal reflux disease. Esophagus 2015, 12, 225–232. [Google Scholar] [CrossRef]
- Kawamura, Y.; Funaki, Y.; Yoshimine, T.; Tamura, Y.; Yamamoto, S.; Izawa, S.; Hayakawa, T.; Ebi, M.; Murotani, K.; Ogasawara, N.; et al. Characteristics and predictive factor of Helicobacter pylori-associated functional dyspepsia in Japanese patients. Digestion 2019, 100, 277–285. [Google Scholar] [CrossRef] [PubMed]
- Razuka-Ebela, D.; Polaka, I.; Daugule, I.; Parshutin, S.; Santare, D.; Ebela, I.; Rudzite, D.; Vangravs, R.; Herrero, R.; Young Park, J.; et al. Factors associated with false negative results in serum pepsinogen testing for precancerous gastric lesions in a European population in the GISTAR study. Diagnostics 2022, 12, 1166. [Google Scholar] [CrossRef] [PubMed]
- Miki, K. Gastric cancer screening using the serum pepsinogen test method. Gastric Cancer 2006, 9, 245–253. [Google Scholar] [CrossRef] [PubMed]
- Kitamura, Y.; Yoshihara, M.; Ito, M.; Boda, T.; Matsuo, T.; Kotachi, T.; Tanaka, S.; Chayama, K. Diagnosis of Helicobacter pylori-induced gastritis by serum pepsinogen levels. J. Gastroenterol. Hepatol. 2015, 30, 1473–1477. [Google Scholar] [CrossRef] [PubMed]
- Kishikawa, H.; Ojiro, K.; Nakamura, K.; Katayama, T.; Arahata, K.; Takarabe, S.; Miura, S.; Kanai, T.; Nishida, J. Previous Helicobacter pylori infection-induced atrophic gastritis: A distinct disease entity in an understudied population without a history of eradication. Helicobacter 2020, 25, e12669. [Google Scholar] [CrossRef] [PubMed]
- Tahara, T.; Shibata, T.; Okubo, M.; Yamashita, H.; Yoshioka, D.; Yonemura, J.; Maruyama, N.; Kamano, T.; Kamiya, Y.; Fujita, H.; et al. Examination of serum pepsinogen in functional dyspepsia. Hepato-Gastroenterol. 2012, 59, 2516–2522. [Google Scholar] [CrossRef] [PubMed]
- Kang, S.J.; Park, B.; Shin, C.M. Helicobacter pylori eradication therapy for functional dyspepsia: A meta-analysis by region and H. pylori prevalence. J. Clin. Med. 2019, 8, 1324. [Google Scholar] [CrossRef] [PubMed]
- Ford, A.C.; Tsipotis, E.; Yuan, Y.; Leontiadis, G.I.; Moayyedi, P. Efficacy of Helicobacter pylori eradication therapy for functional dyspepsia: Updated systematic review and meta-analysis. Gut 2022, 71, 1967–1975. [Google Scholar] [CrossRef] [PubMed]
- Hammond, C.E.; Beeson, C.; Suarez, G.; Peek, R.M.; Backert, S.; Smolka, A.J. Helicobacter pylori virulence factors affecting gastric proton pump expression and acid secretion. Am. J. Physiol. Gastrointest. Liver Physiol. 2015, 309, G193–G201. [Google Scholar] [CrossRef] [PubMed]
- Saha, A.; Hammond, C.E.; Beeson, C.; Peek, R.M.; Smolka, A.J. Helicobacter pylori represses proton pump expression and inhibits acid secretion in human gastric mucosa. Gut 2010, 59, 874–881. [Google Scholar] [CrossRef]
- Koskenpato, J.; Korppi-Tommola, T.; Kairemo, K.; Färkkilä, M. Long-term follow-up study of gastric emptying and Helicobacter pylori eradication among patients with functional dyspepsia. Dig. Dis. Sci. 2000, 45, 1763–1768. [Google Scholar] [CrossRef] [PubMed]
- Talley, N.J.; Powell, N.; Walker, M.M.; Jones, M.P.; Ronkainen, J.; Forsberg, A.; Kjellström, L.; Hellström, P.M.; Aro, P.; Wallner, B.; et al. Role of smoking in functional dyspepsia and irritable bowel syndrome: Three random population-based studies. Aliment. Pharmacol. Ther. 2021, 54, 32–42. [Google Scholar] [CrossRef]
- Zagari, R.M.; Law, G.R.; Fuccio, L.; Cennamo, V.; Gilthorpe, M.S.; Forman, D.; Bazzoli, F. Epidemiology of functional dyspepsia and subgroups in the Italian general population: An endoscopic study. Gastroenterology 2010, 138, 1302–1311. [Google Scholar] [CrossRef] [PubMed]
- Miller, G.; Palmer, K.R.; Smith, B.; Ferrington, C.; Merrick, M.V. Smoking delays gastric emptying of solids. Gut 1989, 30, 50–53. [Google Scholar] [CrossRef] [PubMed]
- Scott, A.M.; Kellow, J.E.; Shuter, B.; Nolan, J.M.; Hoschl, R.; Jones, M.P. Effects of cigarette smoking on solid and liquid intragastric distribution and gastric emptying. Gastroenterology 1993, 104, 410–416. [Google Scholar] [CrossRef] [PubMed]
- di Stefano, M.; Vos, R.; Vanuytsel, T.; Janssens, J.; Tack, J. Prolonged duodenal acid perfusion and dyspeptic symptom occurrence in healthy volunteers. Neurogastroenterol. Motil. 2009, 21, 712-e40. [Google Scholar] [CrossRef] [PubMed]
- Lee, K.J.; Tack, J. Duodenal implications in the pathophysiology of functional dyspepsia. J. Neurogastroenterol. Motil. 2010, 16, 251–257. [Google Scholar] [CrossRef] [PubMed]
- Futagami, S.; Shindo, T.; Kawagoe, T.; Horie, A.; Shimpuku, M.; Gudis, K.; Iwakiri, K.; Itoh, T.; Sakamoto, C. Migration of eosinophils and CCR2-/CD68-double positive cells into the duodenal mucosa of patients with postinfectious functional dyspepsia. Am. J. Gastroenterol. 2010, 105, 1835–1842. [Google Scholar] [CrossRef] [PubMed]
- Du, L.; Shen, J.; Kim, J.J.; Yu, Y.; Ma, L.; Dai, N. Increased duodenal eosinophil degranulation in patients with functional dyspepsia: A prospective study. Sci. Rep. 2016, 6, 34305. [Google Scholar] [CrossRef] [PubMed]
- Oshima, T.; Miwa, H. Functional dyspepsia: A revolution in management. Am. J. Gastroenterol. 2018, 113, 1420–1422. [Google Scholar] [CrossRef] [PubMed]
- Miwa, H.; Oshima, T.; Tomita, T.; Fukui, H.; Kondo, T.; Yamasaki, T.; Watari, J. Recent understanding of the pathophysiology of functional dyspepsia: Role of the duodenum as the pathogenic center. J. Gastroenterol. 2019, 54, 305–311. [Google Scholar] [CrossRef] [PubMed]
- Taki, M.; Oshima, T.; Li, M.; Sei, H.; Tozawa, K.; Tomita, T.; Fukui, H.; Watari, J.; Miwa, H. Duodenal low-grade inflammation and expression of tight junction proteins in functional dyspepsia. Neurogastroenterol. Motil. 2019, 31, e13576. [Google Scholar] [CrossRef]
- Nakagawa, K.; Hara, K.; Fikree, A.; Siddiqi, S.; Woodland, P.; Masamune, A.; Aziz, Q.; Sifrim, D.; Yazaki, E. Patients with dyspepsia have impaired mucosal integrity both in the duodenum and jejunum: In vivo assessment of small bowel mucosal integrity using baseline impedance. J. Gastroenterol. 2020, 55, 273–280. [Google Scholar] [CrossRef] [PubMed]
- Walker, M.M.; Aggarwal, K.R.; Shim, L.S.; Bassan, M.; Kalantar, J.S.; Weltman, M.D.; Jones, M.; Powell, N.; Talley, N.J. Duodenal eosinophilia and early satiety in functional dyspepsia: Confirmation of a positive association in an Australian cohort. J. Gastroenterol. Hepatol. 2014, 29, 474–479. [Google Scholar] [CrossRef] [PubMed]
- Stanghellini, V. Three-month prevalence rates of gastrointestinal symptoms and the influence of demographic factors: Results from the Domestic/International Gastroenterology Surveillance Study (DIGEST). Scand. J. Gastroenterol. 1999, 34, 20–28. [Google Scholar] [CrossRef]
- Wang, Z.; Liu, T.; Cao, D.; Luo, H.; Yang, Z.; Kang, X.; Pan, Y. The associations between functional dyspepsia and potential risk factors: A comprehensive Mendelian randomization study. PLoS ONE 2024, 19, e0302809. [Google Scholar] [CrossRef] [PubMed]
- Volarić, M.; Šojat, D.; Majnarić, L.T.; Vučić, D. The Association between Functional Dyspepsia and Metabolic Syndrome-The State of the Art. Int. J. Environ. Res. Public Health. 2024, 21, 237. [Google Scholar] [CrossRef] [PubMed]
- Halder, S.L.; Locke, G.R., 3rd; Schleck, C.D.; Zinsmeister, A.R.; Talley, N.J. Influence of alcohol consumption on IBS and dyspepsia. Neurogastroenterol. Motil. 2006, 18, 1001–1008. [Google Scholar] [CrossRef]
- Feinle-Bisset, C.; Azpiroz, F. Dietary and lifestyle factors in functional dyspepsia. Nat. Rev. Gastroenterol. Hepatol. 2013, 10, 150–157. [Google Scholar] [CrossRef] [PubMed]
- Talley, N.J.; Weaver, A.L.; Zinsmeister, A.R. Smoking, alcohol, and nonsteroidal anti-inflammatory drugs in outpatients with functional dyspepsia and among dyspepsia subgroups. Am. J. Gastroenterol. 1994, 89, 524–528. [Google Scholar] [PubMed]
- Ford, A.C.; Moayyedi, P. Dyspepsia. BMJ 2013, 347, f5059. [Google Scholar] [CrossRef]


| Variables | Responders (n = 14) | Non-Responders (n = 19) | p-Value | |
|---|---|---|---|---|
| Sex (%) | Male | 4 (28.6) | 8 (42.1) | 0.486 |
| Female | 10 (71.4) | 11 (57.9) | ||
| Age (years) | 52.1 ± 13.6 | 57.0 ± 12.0 | 0.279 | |
| Age (%) | <70 | 12 (85.7) | 17 (89.5) | 1 |
| ≥70 | 2 (14.3) | 2 (10.5) | ||
| Observation period (month) | 3.3 ± 2.1 | 2.8 ± 1.2 | 0.391 | |
| BMI (kg/m2) | 23.0 ± 4.1 | 23.7 ± 4.1 | 0.658 | |
| BMI (%) | <25 | 10 (71.4) | 9 (47.4) | 0.286 |
| ≥25 | 4 (28.6) | 10 (52.6) | ||
| Smoking (%) | Non-smoker | 11 (78.6) | 8 (42.1) | 0.073 |
| Past/Current smoker | 3 (21.4) | 11 (57.9) | ||
| Alcohol consumption (%) | Non-drinker | 7 (50.0) | 8 (42.1) | 0.733 |
| Past/Current drinker | 7 (50.0) | 11 (57.9) | ||
| Underlying diseases (%) | Absence | 9 (64.3) | 6 (31.6) | 0.085 |
| Presence | 5 (35.7) | 13 (68.4) | ||
| PG I (ng/mL) | 62.8 ± 24.3 | 55.3 ± 29.0 | 0.437 | |
| PG II (ng/mL) | 19.8 ± 8.1 | 23.5 ± 9.1 | 0.229 | |
| PG I/II ratio | 3.4 ± 1.2 | 2.3 ± 1.0 | 0.006 |
| Variables | PG I/II Ratio (Median) | ||
|---|---|---|---|
| >2.3 (n = 22) | ≤2.3 (n = 11) | ||
| Total scores | Pre | 15 | 14 |
| Post | 4.5 ** | 14 | |
| Dyspepsia scores | Pre | 9.5 | 9 |
| Post | 2.5 ** | 7 * | |
| Reflux scores | Pre | 5 | 5 |
| Post | 2 ** | 5 | |
| Variables | Adjusted OR | 95% CI | p-Value | |
|---|---|---|---|---|
| BMI (kg/m2) | <25.0 | 1 | ||
| ≥25.0 | 3.5 | (0.5–24.4) | 0.215 | |
| PG I/II ratio | >2.3 | 1 | ||
| ≤2.3 | 20.1 | (1.2–316.0) | 0.033 | |
| Smoking | Non-smoker | 1 | ||
| Past/Current smoker | 7.8 | (1.1–55.9) | 0.041 | |
| Alcohol consumption | Non-drinker | 1 | ||
| Past/Current drinker | 0.8 | (0.1–5.6) | 0.839 | |
| Underlying diseases | Absence | 1 | ||
| Presence | 1.6 | (0.2–12.8) | 0.652 |
Disclaimer/Publisher’s Note: The statements, opinions and data contained in all publications are solely those of the individual author(s) and contributor(s) and not of MDPI and/or the editor(s). MDPI and/or the editor(s) disclaim responsibility for any injury to people or property resulting from any ideas, methods, instructions or products referred to in the content. |
© 2024 by the authors. Licensee MDPI, Basel, Switzerland. This article is an open access article distributed under the terms and conditions of the Creative Commons Attribution (CC BY) license (https://creativecommons.org/licenses/by/4.0/).
Share and Cite
Yasuda, K.; Chinda, D.; Shimoyama, T.; Arai, T.; Akitaya, K.; Fujiwara, S.; Nomiya, H.; Sasaki, Y.; Komai, K.; Sawada, Y.; et al. Factors Predicting Effectiveness of Eradication Therapy for Helicobacter pylori-Associated Dyspepsia Symptoms. Life 2024, 14, 935. https://doi.org/10.3390/life14080935
Yasuda K, Chinda D, Shimoyama T, Arai T, Akitaya K, Fujiwara S, Nomiya H, Sasaki Y, Komai K, Sawada Y, et al. Factors Predicting Effectiveness of Eradication Therapy for Helicobacter pylori-Associated Dyspepsia Symptoms. Life. 2024; 14(8):935. https://doi.org/10.3390/life14080935
Chicago/Turabian StyleYasuda, Kohei, Daisuke Chinda, Tadashi Shimoyama, Tetsu Arai, Kazuki Akitaya, Sae Fujiwara, Hiroki Nomiya, Yoshio Sasaki, Kazuo Komai, Yoshihiko Sawada, and et al. 2024. "Factors Predicting Effectiveness of Eradication Therapy for Helicobacter pylori-Associated Dyspepsia Symptoms" Life 14, no. 8: 935. https://doi.org/10.3390/life14080935
APA StyleYasuda, K., Chinda, D., Shimoyama, T., Arai, T., Akitaya, K., Fujiwara, S., Nomiya, H., Sasaki, Y., Komai, K., Sawada, Y., Saito, Y., Chiba, H., Sakuraba, H., Fukuda, S., & the RINGO Study Group. (2024). Factors Predicting Effectiveness of Eradication Therapy for Helicobacter pylori-Associated Dyspepsia Symptoms. Life, 14(8), 935. https://doi.org/10.3390/life14080935

