A Comprehensive Study on Meshing Performances Compensation for Face-Hobbed Hypoid Gears: Coupled Analysis of Spatial Installation Errors and Manufactured Tooth Flank Characteristics
Abstract
1. Introduction
- (1)
- Establishing a coupled model of 3D installation errors and the tooth flank errors.
- (2)
- Optimizing 3D installation error compensation parameters based on the orthogonal experimental design method.
- (3)
- Determining the optimal 3D installation error compensation position, orientation, and parameter combination, using key indicators such as peak-to-peak transmission error (PPTE), contact pattern length, and contact pattern area as the basis.
2. Mathematical and Analysis Model of FH-HG
2.1. Mathematical Modelling of FH-HG
2.2. Analysis Models Considering 3D Installation Errors
3. Analysis of Meshing Performance Under Standard Installation
4. Analysis of Meshing Performance Under Installation Error Compensation
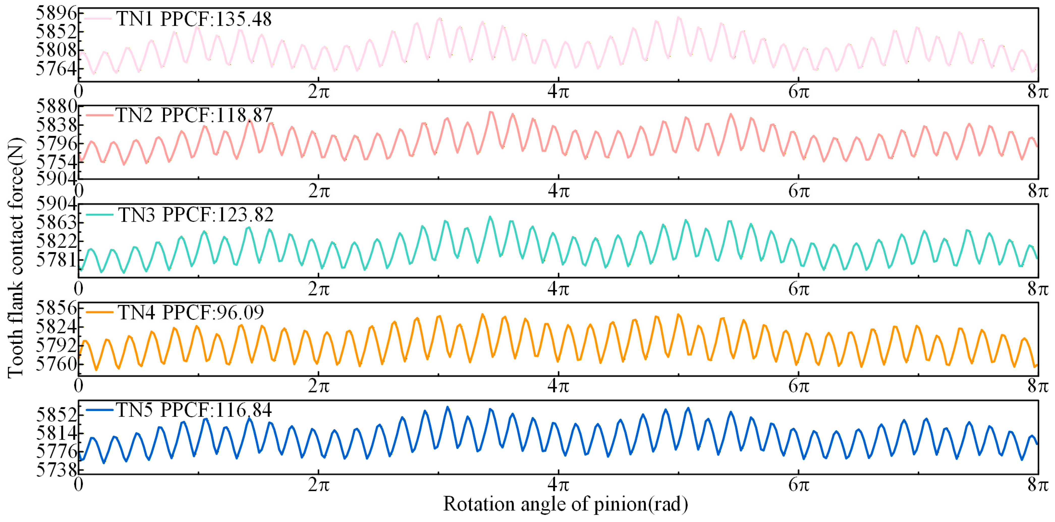
4.1. Multi-Working Conditions Meshing Performance Analysis
4.2. Analysis of Meshing Performance Under the Optimal Compensation Parameter
4.3. Analysis of Meshing Performance Under the Worst Compensation Parameter
5. Conclusions
- (1)
- By introducing , the construction of a 3D installation error model is enabled for the quantitative characterization of installation parameters. A coupling characteristics analysis between installation errors and tooth pitch deviations is conducted.
- (2)
- The influence of installation errors on meshing performance exhibits dual effects. Installation errors can compensate for midpoint tooth pitch errors, effectively reducing PPTE and thereby enhancing meshing performance. Installation errors may also increase PPTE, while reducing the maximum contact stress and increasing the contact pattern area ratio.
- (3)
- The sensitivity of PPTE to various installation error parameters, in descending order, is as follows: > > > > . To minimize PPTE, the adjustment of and should be prioritized.
- (4)
- Under TN10, the PPTE is reduced by 3.78% compared to TN13, thereby collectively enhancing meshing performance. Under TN25, the PPTE increases by 26.28% compared to TN13. However, the contact pattern average length improves by 2.29%, and the maximum contact stress is significantly reduced.
Author Contributions
Funding
Data Availability Statement
Conflicts of Interest
References
- Simon, V. Design of face-hobbed spiral bevel gears with reduced maximum tooth contact pressure and transmission errors. Chin. J. Aeronaut. 2013, 26, 777–790. [Google Scholar] [CrossRef]
- Litvin, F.; Chaing, W.; Lundy, M.; Tsung, W. Design of pitch cones for fac ehobbed hypoid gears. J. Mech. Des. 1990, 112, 413–418. [Google Scholar] [CrossRef]
- Fan, Q. Computerized modeling and simulation of spiral bevel and hypoid gears manufactured by Gleason face Hobbing process. J. Mech. Des. 2006, 128, 1315–1327. [Google Scholar] [CrossRef]
- Yuan, B.; Liu, G.; Yue, Y.; Liu, L.; Shen, Y. A novel tooth surface modification methodology for wide-faced double-helical gear pairs. Mech. Mach. Theory 2021, 160, 104299. [Google Scholar] [CrossRef]
- Yin, F.; Cao, Z.; Lu, B.; Zhou, Y.; Wang, S.; Tang, J. A Comprehensive Tooth Surface Modification Method for Harmonic Drive by Changing the Radial Deformation Coefficient. Machines 2025, 13, 942. [Google Scholar] [CrossRef]
- Liu, L.; Wu, S.; Wang, X. Generation and contact of modified non-orthogonal offset face gear drives. Int. J. Mech. Sci. 2025, 300, 110314. [Google Scholar] [CrossRef]
- Shih, Y.; Fong, Z. Flank Modification Methodology for Face-Hobbing Hypoid Gears Based on Ease-Off Topography. J. Mech. Des. 2007, 129, 1294–1302. [Google Scholar] [CrossRef]
- Huangfu, Y.; Zhao, Z.; Ma, H.; Han, H.; Chen, K. Effects of tooth modifications on the dynamic characteristics of thin-rimmed gears under surface wear. Mech. Mach. Theory 2020, 150, 103870. [Google Scholar] [CrossRef]
- Ni, G.; Zhu, C.; Song, C.; Shi, J.; Liu, S. Effects of rack-cutter parabolic modification on loaded contact characteristics for crossed beveloid gears with misalignments. Int. J. Mech. Sci. 2018, 141, 359–371. [Google Scholar] [CrossRef]
- Xiao, G.; Bo, X.; Xue, W.; Jiang, Y. Gear modification optimization design and simulation research of hybrid powertrain transmission system. Int. J. Interact. Des. Manuf. 2025, 19, 6283–6300. [Google Scholar] [CrossRef]
- Simon, V. Optimization of face-hobbed hypoid gears. Mech. Mach. Theory 2014, 77, 164–181. [Google Scholar] [CrossRef]
- Kolivand, M.; Kahraman, A. An Ease-Off Based Method for Loaded Tooth Contact Analysis of Hypoid Gears Having Local and Global Surface Deviations. J. Mech. 2010, 132, 071004. [Google Scholar] [CrossRef]
- Duan, L.; Wang, L.; Du, W.; Shao, Y.; Chen, Z. Analytical method for time-varying meshing stiffness and dynamic responses of modified spur gears considering pitch deviation and geometric eccentricity. Mech. Syst. Signal Process. 2024, 218, 111590. [Google Scholar] [CrossRef]
- Liang, C.; Song, C.; Zhu, C.; Liu, S. Modelling method, simulation and experimental verification of hypoid gear involved tooth surface deviation under manufacturing process. Mech. Mach. Theory 2023, 182, 105248. [Google Scholar] [CrossRef]
- Fan, Q. Tooth surface error correction for face-hobbed hypoid gears. J. Mech. Des. 2009, 132, 011004. [Google Scholar] [CrossRef]
- Zhou, L.; Fan, S.; Liu, Y.; Li, Y.; Taguchi, T.; Takeda, R. An alignment angle error compensation method of spiral bevel gear tooth surface measurement based on tooth surface matching. Meas. Sci. Technol. 2021, 32, 105020. [Google Scholar] [CrossRef]
- Li, T.; Li, Y.; Deng, X.; Li, J. A measurement method for tooth surface errors of straight bevel gears based on 3D model. Meas. Sci. Technol. 2021, 32, 025011. [Google Scholar] [CrossRef]
- Liang, S.; Wu, Y.; Hou, L.; Dong, L.; Fan, Q.; Zhang, H. Research on influence mechanism of geometric error sources on tooth surface error of VH-CATT gear special machine tool. Int. J. Adv. Manuf. Technol. 2023, 128, 5529–5546. [Google Scholar] [CrossRef]
- Wei, X.; Wang, Y.; Zhang, W.; Lim, T. Robust optimization of hypoid gear contact performance considering tooth form error: Design sensitivity and Pareto front. Mech. Mach. Theory 2024, 201, 105754. [Google Scholar] [CrossRef]
- Li, G.; Wang, Z.; Kubo, A. Error-sensitivity analysis for hypoid gears using a real tooth surface contact model. Proc. Inst. Mech. Eng. C J. Mech. Eng. Sci 2017, 231, 507–521. [Google Scholar] [CrossRef]
- Gonzalez, I.; Fuentes, A.; Ruiz, R. An Approach for Determination of Basic Machine-Tool Settings From Blank Data in Face-Hobbed and Face-Milled Hypoid Gears. J. Mech. Des. 2015, 137, 093303. [Google Scholar] [CrossRef]
- Xue, C.; Liang, C.; Song, C.; Li, X.; Liu, S. An analytical prediction methodology of the correlation between transmission error and tooth pitch error for face-hobbed hypoid gears. Meccanica 2024, 59, 217–233. [Google Scholar] [CrossRef]
- Vivet, M.; Tamarozzi, T.; Desmet, W.; Mundo, D. On the modelling of gear alignment errors in the tooth contact analysis of spiral bevel gears. Mech. Mach. Theory 2021, 155, 104065. [Google Scholar] [CrossRef]
- Chen, P.; Wang, S.; Li, B.; Li, F. A novel geometric error compensation method for improving machining accuracy of spiral bevel gear based on inverse kinematic model. Int. J. Adv. Manuf. Technol. 2023, 127, 4339–4355. [Google Scholar] [CrossRef]
- Liu, Y.; Fang, S.; Chen, Y.; Zhang, J. Compensation method for inclination errors in measurement results of tooth surface of spiral bevel gear. Math. Probl. Eng. 2021, 1, 6617077. [Google Scholar] [CrossRef]
- Deng, M.; Jiang, B.; Bao, L.; Ye, Z.; Liu, Y. Study on the contact performance of the variable hyperbolic circular arc tooth trace cylindrical gear with installation errors. Mech. Sci. 2024, 15, 353–366. [Google Scholar] [CrossRef]
- Ding, H.; Tang, J.; Zhou, Y.; Zhong, J. A multi-objective correction of machine settings considering loaded tooth contact performance in spiral bevel gears by nonlinear interval number optimization. Mech. Mach. Theory 2017, 113, 85–108. [Google Scholar] [CrossRef]
- He, D.; Ding, H.; Tang, J. A new analytical identification approach to the tooth contact points considering misalignments for spiral bevel or hypoid gears. Mech. Mach. Theory 2018, 121, 785–803. [Google Scholar] [CrossRef]
- Tang, J.; Wei, J.; Shi, Z. An evaluation method of gear profile deviations based on the consideration of installation errors. Measurement 2019, 146, 806–814. [Google Scholar] [CrossRef]
- Wang, X.; Lu, J.; Yang, S. Sensitivity analysis and optimization design of hypoid gears’ contact pattern to misalignments. J. Zhejiang Univ. Sci. A 2019, 20, 411–430. [Google Scholar] [CrossRef]
- Zhang, W.; Wei, X.; Guo, X.; Tan, R.; Wang, Y. A novel continuous indexing method for face-hobbed hypoid gear tooth grinding. Mech. Mach. Theory 2022, 173, 104826. [Google Scholar] [CrossRef]
- Huang, K.; Yu, J.; Luo, H.; Shang, Z.; Huang, S.; Fu, L. An efficient vectorization solution to cutting dynamics modeling for face-hobbing of hypoid gears. Mech. Mach. Theory 2024, 191, 105504. [Google Scholar] [CrossRef]
- Li, Q.; Xie, L. Analysis and Optimization of tooth surface contact stress of gears with tooth profile deviations, meshing errors and lead crowning modifications based on finite element method and Taguchi method. Metals 2020, 10, 1370–1395. [Google Scholar] [CrossRef]
- Liu, S.; Song, C.; Zhu, C.; Ling, C.; Yang, X. Investigation on the influence of work holding equipment errors on contact characteristics of face-hobbed hypoid gear. Mech. Mach. Theory 2019, 138, 95–111. [Google Scholar] [CrossRef]
- Han, H.; Ma, H.; Wang, H.; Zhu, J.; Li, Z.; Liu, Z. Dynamic Simulation of Cracked Spiral Bevel Gear Pair Considering Assembly Errors. Machines 2022, 10, 929. [Google Scholar] [CrossRef]
- Song, C.; Zhao, S.; Liu, S.; Xue, C.; Zhu, C. Influence of assembly errors on meshing characteristics of spiral bevel gear and compensation approach of misalignment. Proc. Inst. Mech. Eng. Part C 2023, 238, 4743–4756. [Google Scholar] [CrossRef]
- Wang, Y.; Zhang, J.; Li, Z.; Liang, R.; Zhu, R.; Ma, H. Mesh Characteristic Analysis of Spiral Bevel Gear Pairs Considering Assembly Errors and Tooth Tip Chipping Faults. Appl. Sci. 2024, 14, 3227. [Google Scholar] [CrossRef]
- Xia, M.; Song, C.; Liang, C.; Liu, S.; Li, Z.; Wei, P. Influences of rubber cushion and bearing position on the mesh characteristics of small-module spiral bevel gear. J. Mech. Sci. Technol. 2021, 35, 5579–5589. [Google Scholar] [CrossRef]
























| Parameters | Pinion | Gear | Units | |||
|---|---|---|---|---|---|---|
| Convex | Concave | Convex | Concave | |||
| Hypoid offset | E | 38.1 | mm | |||
| Shaft angle | 90 | deg | ||||
| Mean normal module | 3.4885 | mm | ||||
| Blade group | 17 | - | ||||
| Teeth number | 11 | 47 | - | |||
| Pressure angle | 22.3059 | 17.6933 | 19.0931 | 23.5060 | deg | |
| Nominal cutter radius | 75.9340 | 76.0660 | 75.9193 | 76.0807 | mm | |
| Reference point angle | −21.1765 | −10.5882 | 10.5882 | 21.1765 | deg | |
| Spheric radius | 1093.65 | 210.0213 | 1046.9999 | 1113.1838 | mm | |
| TN | A (mm) | B (mm) | C (mm) | D (deg) | E (deg) | F |
|---|---|---|---|---|---|---|
| 1 | −0.02 | −0.02 | −0.02 | −0.02 | −0.02 | 1 |
| 2 | −0.01 | −0.01 | −0.01 | −0.01 | −0.01 | 2 |
| 3 | 0 | 0 | 0 | 0 | 0 | 3 |
| 4 | 0.01 | 0.01 | 0.01 | 0.01 | 0.01 | 4 |
| 5 | 0.02 | 0.02 | 0.02 | 0.02 | 0.02 | 5 |
| TN | A | B | C | D | E | F |
|---|---|---|---|---|---|---|
| TN1 | −0.02 | −0.02 | −0.02 | −0.02 | −0.02 | 1 |
| TN 2 | −0.02 | −0.01 | 0 | 0.01 | 0.02 | 2 |
| TN 3 | −0.02 | 0 | 0.02 | −0.01 | 0.01 | 3 |
| TN 4 | −0.02 | 0.01 | −0.01 | 0.02 | 0 | 4 |
| TN 5 | −0.02 | 0.02 | 0.01 | 0 | −0.01 | 5 |
| TN 6 | −0.01 | −0.02 | 0.02 | 0.01 | 0 | 5 |
| TN 7 | −0.01 | −0.01 | −0.01 | −0.01 | −0.01 | 1 |
| TN 8 | −0.01 | 0 | 0.01 | 0.02 | −0.02 | 2 |
| TN 9 | −0.01 | 0.01 | −0.02 | 0 | 0.02 | 3 |
| TN 10 | −0.01 | 0.02 | 0 | −0.02 | 0.01 | 4 |
| TN 11 | 0 | −0.02 | 0.01 | −0.01 | 0.02 | 4 |
| TN 12 | 0 | −0.01 | −0.02 | 0.02 | 0.01 | 5 |
| TN 13 | 0 | 0 | 0 | 0 | 0 | 1 |
| TN 14 | 0 | 0.01 | 0.02 | −0.02 | −0.01 | 2 |
| TN 15 | 0 | 0.02 | −0.01 | 0.01 | −0.02 | 3 |
| TN 16 | 0.01 | −0.02 | 0 | 0.02 | −0.01 | 3 |
| TN 17 | 0.01 | −0.01 | 0.02 | 0 | −0.02 | 4 |
| TN 18 | 0.01 | 0 | −0.01 | −0.02 | 0.02 | 5 |
| TN 19 | 0.01 | 0.01 | 0.01 | 0.01 | 0.01 | 1 |
| TN 20 | 0.01 | 0.02 | −0.02 | −0.01 | 0 | 2 |
| TN 21 | 0.02 | −0.02 | −0.01 | 0 | 0.01 | 2 |
| TN 22 | 0.02 | −0.01 | 0.01 | −0.02 | 0 | 3 |
| TN 23 | 0.02 | 0 | −0.02 | 0.01 | −0.01 | 4 |
| TN 24 | 0.02 | 0.01 | 0 | −0.01 | −0.02 | 5 |
| TN 25 | 0.02 | 0.02 | 0.02 | 0.02 | 0.02 | 1 |
| Parameters | Mean Values of PPTE (μrad) | Range (μrad) |
|---|---|---|
| 2016.34–2549.36 | 533.02 | |
| 2062.91–2509.62 | 268.03 | |
| 2174.86–2287.79 | 112.93 | |
| 2211.21–2296.92 | 85.71 | |
| 2201.46–2267.61 | 66.15 |
Disclaimer/Publisher’s Note: The statements, opinions and data contained in all publications are solely those of the individual author(s) and contributor(s) and not of MDPI and/or the editor(s). MDPI and/or the editor(s) disclaim responsibility for any injury to people or property resulting from any ideas, methods, instructions or products referred to in the content. |
© 2025 by the authors. Licensee MDPI, Basel, Switzerland. This article is an open access article distributed under the terms and conditions of the Creative Commons Attribution (CC BY) license (https://creativecommons.org/licenses/by/4.0/).
Share and Cite
Liang, C.; Zhang, Y.; Liu, L.; Song, C.; Liu, S. A Comprehensive Study on Meshing Performances Compensation for Face-Hobbed Hypoid Gears: Coupled Analysis of Spatial Installation Errors and Manufactured Tooth Flank Characteristics. Machines 2025, 13, 1145. https://doi.org/10.3390/machines13121145
Liang C, Zhang Y, Liu L, Song C, Liu S. A Comprehensive Study on Meshing Performances Compensation for Face-Hobbed Hypoid Gears: Coupled Analysis of Spatial Installation Errors and Manufactured Tooth Flank Characteristics. Machines. 2025; 13(12):1145. https://doi.org/10.3390/machines13121145
Chicago/Turabian StyleLiang, Chengcheng, Yihao Zhang, Longhua Liu, Chaosheng Song, and Siyuan Liu. 2025. "A Comprehensive Study on Meshing Performances Compensation for Face-Hobbed Hypoid Gears: Coupled Analysis of Spatial Installation Errors and Manufactured Tooth Flank Characteristics" Machines 13, no. 12: 1145. https://doi.org/10.3390/machines13121145
APA StyleLiang, C., Zhang, Y., Liu, L., Song, C., & Liu, S. (2025). A Comprehensive Study on Meshing Performances Compensation for Face-Hobbed Hypoid Gears: Coupled Analysis of Spatial Installation Errors and Manufactured Tooth Flank Characteristics. Machines, 13(12), 1145. https://doi.org/10.3390/machines13121145
