Intuitionistic Fuzzy Granular Matrix: Novel Calculation Approaches for Intuitionistic Fuzzy Covering-Based Rough Sets
Abstract
1. Introduction
- Huang et al. [35] presented the notion of IF -minimal description. But the dual notion of IF -maximal description is not proposed. Therefore, this new notion will be given in this paper, which reflects a different method of information screening.
- In [33], matrix methods are used for calculating minimal and maximal descriptions in covering approximation spaces. In [33,38], fuzzy matrix methods are used for calculating fuzzy -minimal and fuzzy -maximal descriptions in fuzzy -covering approximation spaces. Therefore, we can also present IF matrix methods for calculating IF -minimal and IF -maximal descriptions in IF -covering approximation spaces.
- There are many different notions of reductions in covering and fuzzy -covering approximation spaces, respectively. It is interesting to define reductions in IF -covering approximation spaces by IF -minimal and IF -maximal descriptions in this paper, respectively. Based on the matrix representations of IF -minimal and -maximal descriptions, these new notions of IF reductions can be represented by matrices.
2. Basic Definitions
- (1)
- iff and for all ;
- (2)
- iff and ;
- (3)
- ;
- (4)
- ;
- (5)
- .
3. Matrix Representations of IF β-Minimal and β-Maximal Descriptions
3.1. Matrix Representations of IF -Minimal Descriptions

- (1)
- For any , is called an IF eigenmatrix of , where ,
- (2)
- is called the IF β-covering number matrix of .
3.2. Matrix Representations of IF -Maximal Descriptions
4. Matrix Approaches for Reductions in IF -Covering Approximation Spaces
4.1. Reductions of IF -Covering Approximation Spaces via IF -Minimal Descriptions

- (1)
- For any , ;
- (2)
- For any , there exists such that .
4.2. Reductions of IF -Covering Approximation Spaces via IF -Maximal Descriptions

- (1)
- For any , ;
- (2)
- For any , there exists such that .

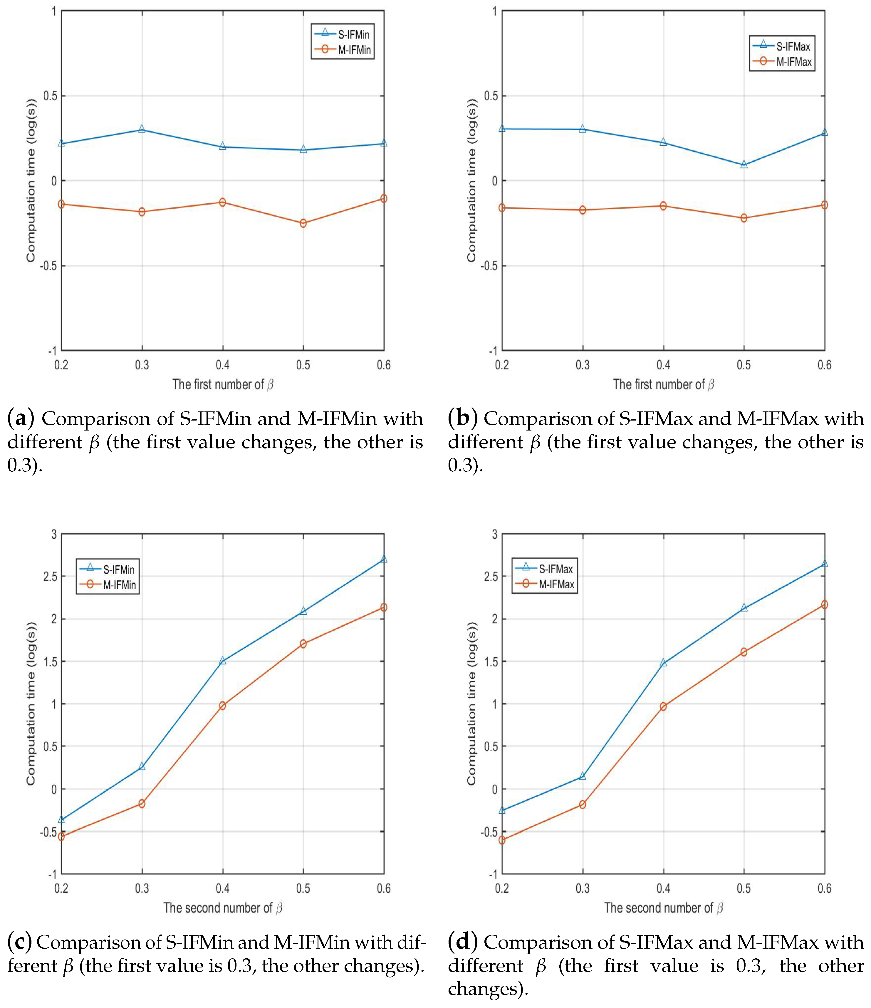
5. Experimental Evaluations
5.1. The Process of Experiments
5.2. Results and Analysis
6. Conclusions
- The matrix representations of IF -minimal and -maximal descriptions are proposed. Moreover, the comparative analysis illustrates that the proposed calculus based on matrices is feasible for large IF -coverings as well as big data sets.
- Two new types of reductions of IF -covering approximation spaces are proposed via IF -minimal and -maximal descriptions, respectively. They are calculated based on the matrix representations of IF -minimal and -maximal descriptions. It is a new viewpoint to study IF -covering rough sets using IF -minimal and -maximal descriptions.
Author Contributions
Funding
Data Availability Statement
Conflicts of Interest
References
- Zhu, W.; Wang, F. Reduction and axiomatization of covering generalized rough sets. Inf. Sci. 2003, 152, 217–230. [Google Scholar] [CrossRef]
- Pawlak, Z. Rough sets. Int. J. Comput. Inf. Sci. 1982, 11, 341–356. [Google Scholar] [CrossRef]
- Zhao, Z. Reductions of a covering approximation space from algebraic points of view. Int. J. Approx. Reason. 2023, 153, 101–114. [Google Scholar] [CrossRef]
- Shakiba, A.; Hooshmandasl, M.R. Data volume reduction in covering approximation spaces with respect to twenty-two types of covering based rough sets. Int. J. Approx. Reason. 2016, 75, 13–38. [Google Scholar] [CrossRef]
- Yao, Y.; Yao, B. Covering based rough set approximations. Inf. Sci. 2012, 200, 91–107. [Google Scholar] [CrossRef]
- Du, Y.; Hu, Q.; Zhu, P.; Ma, P. Rule learning for classification based on neighborhood covering reduction. Inf. Sci. 2011, 181, 5457–5467. [Google Scholar] [CrossRef]
- Mohammed, A.; Shokry, N.; Ashraf, N. Covering soft rough sets and its topological properties with application. SoftComput. 2023, 27, 4451–4461. [Google Scholar]
- Qian, Y.; Liang, J.; Pedrycz, W.; Dang, C. Positive approximation: An accelerator for attribute reduction in rough set theory. Artif. Intell. 2010, 174, 597–618. [Google Scholar] [CrossRef]
- Jing, Y.; Li, T.; Fujita, H.; Yu, Z.; Wang, B. An incremental attribute reduction approach based on knowledge granularity with a multi-granulation view. Inf. Sci. 2017, 411, 23–38. [Google Scholar] [CrossRef]
- Wang, C.; Shi, Y.; Fan, X.; Shao, M. Attribute reduction based on κ-nearest neighborhood rough sets. Int. J. Approx. Reason. 2019, 106, 18–31. [Google Scholar] [CrossRef]
- Long, Z.; Cai, M.; Li, Q.; Li, Y.; Cai, W. Convex granules and convex covering rough sets. Eng. Appl. Artif. Intell. 2023, 124, 106509. [Google Scholar] [CrossRef]
- Dai, J.; Wang, W.; Xu, Q.; Tian, H. Uncertainty measurement for interval-valued decision systems based on extended conditional entropy. Knowl.-Based Syst. 2012, 27, 443–450. [Google Scholar] [CrossRef]
- El-Bably, M.K.; Abo-Tabl, E.A. A topological reduction for predicting of a lung cancer disease based on generalized rough sets. J. Intell. Fuzzy Syst. 2021, 41, 3045–3060. [Google Scholar] [CrossRef]
- Huang, Z.; Li, J. Covering based multi-granulation rough fuzzy sets with applications to feature selection. Expert Syst. Appl. 2024, 238, 121908. [Google Scholar] [CrossRef]
- Wang, S.; Zhu, W.; Zhu, Q.; Min, F. Characteristic matrix of covering and its application to Boolean matrix decomposition. Inf. Sci. 2014, 263, 186–197. [Google Scholar] [CrossRef]
- Lang, G.; Li, Q.; Cai, M.; Yang, T. Characteristic matrixes-based knowledge reduction in dynamic covering decision information systems. Knowl.-Based Syst. 2015, 85, 1–26. [Google Scholar] [CrossRef]
- Ma, L. The investigation of covering rough sets by Boolean matrices. Int. J. Approx. Reason. 2018, 100, 69–84. [Google Scholar] [CrossRef]
- Wang, J.; Zhang, X.; Liu, C. Grained matrix and complementary matrix: Novel methods for computing information descriptions in covering approximation spaces. Inf. Sci. 2022, 591, 68–87. [Google Scholar] [CrossRef]
- Zadeh, L.A. Fuzzy sets. Inf. Control. 1965, 8, 338–353. [Google Scholar] [CrossRef]
- Yao, Y. A comparative study of fuzzy sets and rough sets. Inf. Sci. 1998, 109, 227–242. [Google Scholar] [CrossRef]
- Dubois, D.; Prade, H. Rough fuzzy sets and fuzzy rough sets. Int. J. Gen. Syst. 1990, 17, 191–208. [Google Scholar] [CrossRef]
- Morsi, N.N.; Yakout, M.M. Axiomatics for fuzzy rough sets. Fuzzy Sets Syst. 1998, 100, 327–342. [Google Scholar] [CrossRef]
- Radzikowska, A.M.; Kerre, E.E. A comparative study of fuzzy rough sets. Fuzzy Sets Syst. 2002, 126, 137–155. [Google Scholar] [CrossRef]
- Greco, S.; Matarazzo, B.; Slowinski, R. Rough set processing of vague information using fuzzy similarity relations. In Finite Versus Infinite; Calude, C.S., Paun, G., Eds.; Springer: London, UK, 2000; pp. 149–173. [Google Scholar]
- Wu, W.; Mi, J.; Zhang, W. Generalized fuzzy rough sets. Inf. Sci. 2003, 151, 263–282. [Google Scholar] [CrossRef]
- D’eer, L.; Cornelis, C.; Godo, L. Fuzzy neighborhood operators based on fuzzy coverings. Fuzzy Sets Syst. 2017, 312, 17–35. [Google Scholar] [CrossRef]
- Feng, T.; Zhang, S.; Mi, J. The reduction and fusion of fuzzy covering systems based on the evidence theory. Int. J. Approx. Reason. 2012, 53, 87–103. [Google Scholar] [CrossRef]
- Ma, L. Two fuzzy covering rough set models and their generalizations over fuzzy lattices. Fuzzy Sets Syst. 2016, 294, 1–17. [Google Scholar] [CrossRef]
- Yang, B.; Hu, B. Fuzzy neighborhood operators and derived fuzzy coverings. Fuzzy Sets Syst. 2019, 370, 1–33. [Google Scholar] [CrossRef]
- Zhan, J.; Zhang, X.; Yao, Y. Covering based multigranulation fuzzy rough sets and corresponding applications. Artif. Intell. Rev. 2020, 53, 1093–1126. [Google Scholar] [CrossRef]
- Yang, B.; Hu, B. Matrix representations and interdependency on L-fuzzy covering-based approximation operators. Int. J. Approx. Reason. 2018, 96, 57–77. [Google Scholar] [CrossRef]
- Yang, B.; Hu, B. A fuzzy covering-based rough set model and its generalization over fuzzy lattice. Inf. Sci. 2016, 367–368, 463–486. [Google Scholar] [CrossRef]
- Wang, J.; Zhang, X.; Yao, Y. Matrix approach for fuzzy description reduction and group decision-making with fuzzy β-covering. Inf. Sci. 2022, 597, 53–85. [Google Scholar] [CrossRef]
- Atanassov, K. Intuitionistic fuzzy sets. Fuzzy Sets Syst. 1986, 20, 87–96. [Google Scholar] [CrossRef]
- Huang, B.; Guo, C.; Li, H.; Feng, G.; Zhou, X. An intuitionistic fuzzy graded covering rough set. Knowl.-Based Syst. 2016, 107, 155–178. [Google Scholar] [CrossRef]
- Ye, J.; Zhan, J.; Ding, W.; Fujita, H. A novel fuzzy rough set model with fuzzy neighborhood operators. Inf. Sci. 2021, 544, 266–297. [Google Scholar] [CrossRef]
- Jain, P.; Som, T. Multigranular rough set model based on robust intuitionistic fuzzy covering with application to feature selection. Int. J. Approx. Reason. 2023, 156, 16–37. [Google Scholar] [CrossRef]
- Liu, C.; Cai, K.; Miao, D.; Qian, J. Novel matrix-based approaches to computing MinD and MaxD in covering-based rough sets. Inf. Sci. 2020, 539, 312–326. [Google Scholar] [CrossRef]
- Bonikowski, Z.; Bryniarski, E.; Wybraniec-Skardowska, U. Extensions and intentions in the rough set theory. Inf. Sci. 1998, 107, 149–167. [Google Scholar] [CrossRef]
- Pomykala, J.A. Approximation operations in approximation space. Bull. Pol. Acad. Sci. 1987, 35, 653–662. [Google Scholar]
- Zhu, W. Relationship among basic concepts in covering-based rough sets. Inf. Sci. 2009, 179, 2478–2486. [Google Scholar] [CrossRef]
- Wang, Z.; Shu, L.; Ding, X. Minimal description and maximal description in covering-based rough sets. Fundam. Inform. 2013, 128, 503–526. [Google Scholar] [CrossRef]
- Atef, M.; Ali, M.I.; Al-Shami, T.M. Fuzzy soft covering-based multi-granulation fuzzy rough sets and their applications. Comput. Appl. Math. 2021, 40, 115. [Google Scholar] [CrossRef]
- Wang, J.; Shao, S.; Zhang, X. Choquet-like integrals with multi-neighborhood approximation numbers for novel covering granular reduction methods. Mathematics 2023, 11, 4650. [Google Scholar] [CrossRef]
- Wang, J.; Zhang, X.; Shen, Q. Choquet-like integrals with rough attribute fuzzy measures for data-driven decision-making. IEEE Trans. Fuzzy Syst. 2024, 32, 2825–2836. [Google Scholar] [CrossRef]



| Full Name | Relevant Symbol | |
|---|---|---|
| Original Symbols | Covering approximation space | |
| Minimal description of x | ||
| Maximal description of x | ||
| IF -covering approximation space | ||
| IF -neighborhood | ||
| IF -minimal description of x | ||
| New Symbols | IF -maximal description of x | |
| IF granular matrix representation of | ||
| IF eigenmatrix of x | ||
| IF -covering number matrix of |
Disclaimer/Publisher’s Note: The statements, opinions and data contained in all publications are solely those of the individual author(s) and contributor(s) and not of MDPI and/or the editor(s). MDPI and/or the editor(s) disclaim responsibility for any injury to people or property resulting from any ideas, methods, instructions or products referred to in the content. |
© 2024 by the authors. Licensee MDPI, Basel, Switzerland. This article is an open access article distributed under the terms and conditions of the Creative Commons Attribution (CC BY) license (https://creativecommons.org/licenses/by/4.0/).
Share and Cite
Wang, J.; Zhang, X. Intuitionistic Fuzzy Granular Matrix: Novel Calculation Approaches for Intuitionistic Fuzzy Covering-Based Rough Sets. Axioms 2024, 13, 411. https://doi.org/10.3390/axioms13060411
Wang J, Zhang X. Intuitionistic Fuzzy Granular Matrix: Novel Calculation Approaches for Intuitionistic Fuzzy Covering-Based Rough Sets. Axioms. 2024; 13(6):411. https://doi.org/10.3390/axioms13060411
Chicago/Turabian StyleWang, Jingqian, and Xiaohong Zhang. 2024. "Intuitionistic Fuzzy Granular Matrix: Novel Calculation Approaches for Intuitionistic Fuzzy Covering-Based Rough Sets" Axioms 13, no. 6: 411. https://doi.org/10.3390/axioms13060411
APA StyleWang, J., & Zhang, X. (2024). Intuitionistic Fuzzy Granular Matrix: Novel Calculation Approaches for Intuitionistic Fuzzy Covering-Based Rough Sets. Axioms, 13(6), 411. https://doi.org/10.3390/axioms13060411

