Abstract
Modeling carbonate growth in fractures and pores is important for understanding carbon sequestration in the environment or when supersaturated solutions are injected into rocks. Here, we study the simple but nontrivial problem of calcite growth on fractures with rough walls of the same mineral using kinetic Monte Carlo simulations of attachment and detachment of molecules and scaling approaches. First, we consider wedge-shaped fracture walls whose upper terraces are in the same low-energy planes and show that the valleys are slowly filled by the propagation of parallel monolayer steps in the wedge sides. The growth ceases when the walls reach these low-energy configurations so that a gap between the walls may not be filled. Second, we consider fracture walls with equally separated monolayer steps (vicinal surfaces with roughness below 1 nm) and show that growth by step propagation will eventually clog the fracture gap. In both cases, scaling approaches predict the times to attain the final configurations as a function of the initial geometry and the step-propagation velocity, which is set by the saturation index. The same reasoning applied to a random wall geometry shows that step propagation leads to lateral filling of surface valleys until the wall reaches the low-energy crystalline plane that has the smallest initial density of molecules. Thus, the final configurations of the fracture walls are much more sensitive to the crystallography than to the roughness or the local curvature. The framework developed here may be used to determine those configurations, the times to reach them, and the mass of deposited mineral. Effects of transport limitations are discussed when the fracture gap is significantly narrowed.
1. Introduction
A promising method for sequestration of atmospheric carbon is the injection of reactive fluids containing into mafic or ultramafic rocks because it promotes reactions with silicates and the precipitation of carbonate minerals in the pores [1,2,3,4,5]. However, the success of this method is still limited, and the pathways to improve it are unclear due to the large number of open questions ranging from the transport of solutions in time-evolving porous media to the distribution of the carbonates in those media [1]. Similar questions appear in natural processes of mineral dissolution and precipitation that affect porosity and fluid transport [6,7]. These phenomena motivated a large number of experimental and modeling studies in recent decades [8,9,10,11,12,13,14,15,16,17].
The initial steps of carbonate growth in rock pores consist of nucleation of crystals on surfaces of primary or secondary minerals [10,11,12,13,14,15,16,18,19,20,21,22]. A variety of crystal morphologies may appear, such as compact layers that cover the entire pore surface, isolated growing crystals, or disordered layers with nanoporosity. For instance, calcite grains with sizes from ∼10 m to ∼1 mm were formed in experiments with the flow of supersaturated solutions in microporous quartz columns [12], in 1 mm diameter plexiglass tubes [23], and packings of sand grains [13]. Some column experiments show the growth of calcite coatings around sand grains [24] and barite layers covering particles [10], which means that the growing mineral may wet the surface of another mineral. Other problems with nontrivial interactions are those with the injection of supersaturated solutions of and and calcite growth: the injection into fractured samples containing calcite and dolomite predominantly leads to mineral grain formation on the calcite substrates [14], but the flow in columns with calcite and aragonite grains mixed with glass beads leads to preferential growth of homogeneous layers on those substrates [11]. In these and other column experiments, preferential growth at the column inlets is generally observed, possibly with fracture sealing, which means that obtaining significant mineralization in the whole pore space may be a difficult task.
The growth of calcite, quartz, and barite on fracture surfaces has been previously addressed with reactive transport models based on hydrodynamic equations of fluid or solute transport and on reaction rate laws obtained in laboratory works [14,17,25,26,27,28,29,30]. Some of these studies discuss growth patterns formed in the individual pores. The reactive transport equations are very useful to relate observations in several length scales, but they do not represent molecular scale processes at crystal surfaces which may be crucial in the initial steps of the mineralization when wetting layers or isolated mineral grains are formed. There are cases in which reactive transport equations cannot properly describe the patterns of dissolving surfaces at the nano or microscale, even if those equations account for the local surface slope [31]. Instead, techniques such as kinetic Monte Carlo (KMC) simulations and scaling approaches are suitable for the description of crystal growth and dissolution at those scales [32,33]. For instance, they have successfully described step waves in dissolving etch pits [34], smoothening of rough surfaces [35], and dissolution rate spectra [36].
Here we address a simple but nontrivial problem of calcite growth in conditions that may be relevant to technological and natural processes: the growth on fracture walls formed by the same mineral and in contact with a solution with approximately uniform saturation. This initial condition of the walls may occur either because a mineral layer has formerly precipitated on those walls or because that was the primary mineral in the sample. The uniform saturation is possible if the advective transport in the fracture gap is sufficiently fast to homogenize the solution while precipitation occurs; this corresponds to a Damköhler number [37]. Although this is a relatively simple case in the scenario of mineral growth in rock fractures, it is an essential step before attempting to model more complex problems.
A combination of kinetic Monte Carlo (KMC) simulations and scaling methods will be used here to determine the evolution of the wall profiles until the growth ceases, the resulting fracture profiles (which are possibly sealed), and the time to attain these final configurations. The nanoscale model considers the random aggregation of molecules coming from the solution and a stochastic model that accurately represents molecule detachment from calcite surfaces [38,39]. The model parameters are calibrated by laboratory values of velocities of propagation of monolayer steps [40,41,42]. The results are upscaled by considering the crystallographic orientations of the initial wall profiles and those velocities.
2. Materials and Methods
2.1. Approximation of the Calcite Crystal Structure
The structure of calcite crystals is simplified using the Kossel crystal approximation (simple cubic lattice) [43], in which the lowest energy planes mimic the (104) surface of calcite. This approximation was recently used to determine far-from-equilibrium dissolution rates in an alkaline environment, which were in excellent agreement with experimental data [38,39]. Each lattice site represents one molecule with an edge length nm in order to match the molar volume /mol of the mineral in normal temperature and pressure. The rates of molecule detachment from a surface, given in Section 2.3, depend on the numbers n of nearest neighbors (NNs), which are illustrated in Figure 1. The terms kink, step, and terrace sites are used throughout the text to refer to sites with , 4, and 5, respectively.
Figure 1.
A region of a surface in the Kossel crystal where site colors indicate their coordinations: in purple, in yellow, (kink site) in blue, (step site) in red, (terrace site) in gray, and in brown. The sites surrounding this region contain molecules that affect site colors at the boundaries.
2.2. Fractures with Rough Walls
In the first model, the walls have a sequence of wedges whose sections are schematically illustrated in Figure 2a. Each wedge has base length l (x direction), height h (z direction), and is symmetric under translation in the y direction. The reference planes and are indicated at the bases and the tips of the wedges in Figure 2a, where g is the distance between the tips in the z direction. The wedge angle is given by
By matching tips and valleys of the bottom and top walls, this may be viewed as a model for an idealized fracturing of a single crystal and the displacement of the resulting crystal surfaces by a distance .
Figure 2.
(a) Two-dimensional section of a fracture with wedge-shaped walls. The magnified zoom shows a three-dimensional view of a wedge with a small angle , which is formed by wide terraces separated by monolayer steps (the bottoms and the tips of the wedges belong to two low-energy planes of the calcite crystal). (b) Two-dimensional section of a fracture whose walls are vicinal surfaces forming angle with the z direction.
The magnified zoom of Figure 2a shows that wedges with small slopes ( or ) are formed by low-energy (0,0,) terraces separated by monolayer steps of height a. The terraces at the wedge tips belong to the same low-energy planes (0,0,) and the same occurs with the terraces at the wedge valleys.
The second model considers that the fracture walls are vicinal surfaces with equally separated monolayer steps and terraces of length w oriented in [0,0,] directions, as illustrated in Figure 2b. This is a typical configuration of cleaved calcite surfaces [40]. The matching of the initial steps of the top and bottom crystals may also be viewed as the result of fracturing a single crystal and displacing it in the z direction. The wall roughness is smaller than nm. The vector normal to the bottom surface is denoted as and forms an angle with the [0,0,] direction, so that
Here we consider only cases of small angles: . The gap g between the walls is measured along the direction of , as shown in Figure 2b. The separation between the terraces in the same x position is
In all geometries, we use the term column to denote the set of molecules of a wall with the same coordinates and varying z. For small slopes, only the molecule with the largest (smallest) z of the bottom (top) wall is in contact with the solution.
In Section 3.3, a third model with fracture walls with random fluctuations and different crystallographic orientations is analyzed.
2.3. Model of Calcite Dissolution and Precipitation
We assume that the ion transport in the pore solution is sufficiently fast to maintain a uniform supersaturation at all points. Thus, the model does not represent that transport but represents only the rates for calcite molecules (sites) to detach from the crystal surface and the rates for new molecules to attach to that surface.
The detachment model was formerly used to predict accurate values of the far-from-equilibrium dissolution rate of calcite grains and defect-free surfaces [38,39]. The detachment rate depends on the coordination number n as
where is a characteristic frequency, , E is an activation energy, is the Boltzmann constant, and T is the temperature. The room temperature parameters considered here are [38]
The driving force for precipitation is the supersaturation inside the fracture gap, which leads to significant ion flux towards the crystal surface and their reactions to form calcite molecules. Here, this process is simplified by randomly choosing columns of the crystal surface and attempting to aggregate calcite molecules on them. The model flow rate is defined as the average number of choices of each column (in the bottom or the top wall) per unit of time. This rate depends on the properties of the solution and is expected to be proportional to the product of the activities of calcium and carbonate ions. However, the probability that an incident molecule actually attaches to the crystal is the sticking coefficient s [44], which depends on the properties of the surface and of the incoming ions; with probability , the aggregation attempt is rejected. Thus, the attachment rate is , where s may depend on . This dependence is determined in Appendix A using step-propagation velocities from AFM studies.
Chemical equilibrium is achieved when the total number of molecule attachments matches the total number of detachments in any given time interval. Assuming in this equilibrium condition, the attachment rate is . The detachment is dominated by kink sites, whose rate is [45]. Thus, the equality of the total rates leads to ; in Section 3.1, we will show that this condition actually leads to zero net growth (or zero net dissolution) of the wedge-shaped walls. The saturation ratio of the solution indicates the depletion or excess of calcium and carbonate ions relative to the equilibrium and is expected to be proportional to the flow rate [45], so that
Here the model index indicates that this saturation is defined in terms of kinetic parameters, which are expected to be proportional to thermodynamic activities.
The assumption of uniform attachment rates on the crystal surface is reasonable if a solution with constant ion concentrations is flowing through the fracture and if diffusion of those ions is sufficiently fast to homogenize the solution between the surface protrusions and valleys. If the height difference between protrusions and valleys is of ∼1 m and if a diffusion coefficient in a solution of order is considered, the diffusion time across that height is of the order of one millisecond. However, the growth time of a calcite monolayer in our simulations is s, which is sufficiently long to warrant the solution equilibration between those points. This justifies the assumption of uniform attachment rates.
2.4. Quantities of Interest and Methods of Solution
The simulations of the lattice model are performed with an extension of the kinetic Monte Carlo algorithm by Meakin and Rosso [46], which is summarized in Ref. [35].
The wedge-shaped fractures typically have 4 wedges with angles from to and base length l from 40 nm to 4 m. The total length of the simulation cell is in the x direction, and the width in the y direction is a constant nm. Periodic boundaries are considered in the x and y direction to avoid spurious effects of crystal edges. The vicinal surfaces have angles from to and total lengths in the x and y directions of nm.
During the simulations, we compute the numbers of detached and attached molecules, which give the net change of the number of molecules in the solid at time t. The dissolution rate , in mol/(s), is the change in the number of moles of the solid per unit of time and unit of planar area, i.e., considering the projected area in the plane:
where is the change in N in the time interval and is the Avogadro number.
In the simulations with wedge-shaped walls, we also calculate the ratio between and the number of molecules initially located between the reference planes and shown in Figure 2a. The value of is given as
In a regime where growth occurs, is a measure of the fractional filling of the valleys between the surface wedges.
3. Results and Discussion
3.1. Growth in the Fracture with Wedge-Shaped Walls
Figure 3a shows snapshots of the vertical cross-sections ( plane) of a fracture with wedge-shaped walls during calcite growth under supersaturation with . Figure 3b shows the corresponding perspective views of the bottom wall. These images show that the initial surface steps propagate laterally towards the center of the valleys between the wedges. This propagation occurs at all depths until opposite steps meet at a valley and form a low-energy plane; the valley then moves up a distance a (the lattice constant). At the ridges, there is an expansion of the topmost terraces in directions. The sharp morphology of the valleys does not change because the steps at all depths propagate with approximately the same velocity; this is revealed by comparison of the growing walls with the initial walls in Figure 3b. Although the detachment of molecules occurs and competes with the precipitation, no dissolution is visible at the scale of those snapshots.
Figure 3.
(a) Cross-sections ( plane) of a fracture with initially wedge-shaped walls, total length of 400 nm, and angle , in solution with . In all panels, orange lines indicate the projection of the initial walls on the plane. (b) Evolution of the bottom wall of the fracture. Site colors are those defined in Figure 1.
Figure 4a shows the ratio as a function of time for three saturation ratios near or at equilibrium, , 1, and . This shows that the dynamical equilibrium of molecule attachment and detachment is attained with a fine-tuning of the model parameters at . Small deviations from this value lead to dissolution () or growth () at a global scale in times of minutes to a few hours, despite the competition between the aggregation and detachment of molecules in both cases.
Figure 4.
Results for growth or dissolution in wedge-shaped fracture walls: (a) Ratio with nm and for the saturations indicated in the plot. (b) Ratio with m and for the saturations indicated in the plots. (c) Evolution of the growth rate for the same walls and saturations of (b).
Figure 4b shows as a function of time for and . The positive slopes show that precipitation is dominant over dissolution at all times, but the downward curvatures indicate a slowdown of the growth rate. This occurs because opposite steps are continuously meeting at the valleys between the wedges, so the number of propagating steps that contribute to the growth rate decreases in time; see Figure 3a,b. The process eventually reaches a stationary state with , in which the valleys are filled, and the walls become flat (0,0,±1) surfaces. The unit value of this ratio corresponds to the full filling of the valleys and negligible dissolution, which is consistent with the longest-time snapshots in Figure 3a,b. Figure 4c shows the evolution of the growth rate k for the same parameters of Figure 4b and confirms the decrease of that rate.
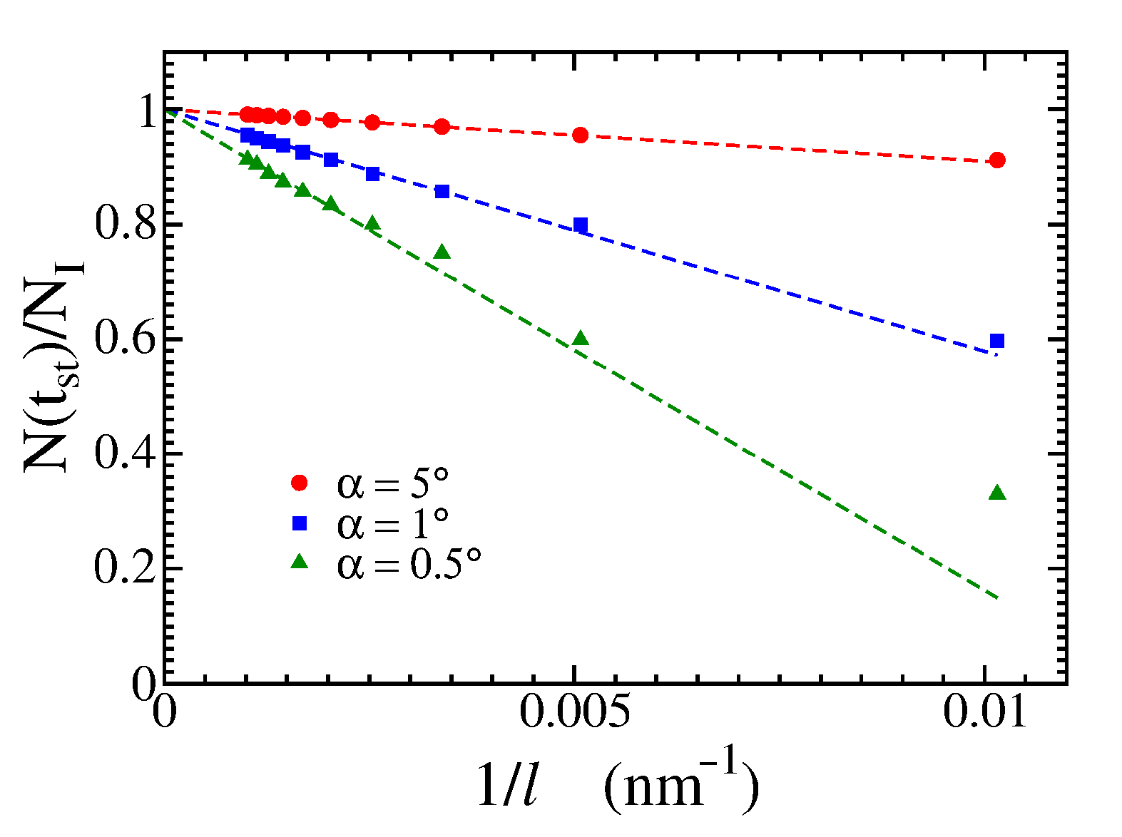
The time in which the stationary state is attained is defined as the first time in which only terrace sites are present on the surface. The stationary value measured at that time is shown in Figure 5 as a function of (reciprocal of the length of a wedge) for three wedge angles. The extrapolations to show that . This limit is applicable to wedges with microscale lengths, in which . In these cases, the initial valleys between the edges are filled with precipitated mineral, the dissolution of the initial walls is negligible, and the precipitation ceases when the walls become (0,0,) terraces.
Figure 5.
Stationary value of as function of for different angles .
The zero growth rate on (0,0,) surfaces is a consequence of the fast detachment of molecules deposited on terraces, i.e., detachment rate much larger than the attachment rates , as discussed in the Appendix A. Sequential deposition of two molecules at neighboring sites is highly unlikely in these conditions, which prevents crystal nucleation.
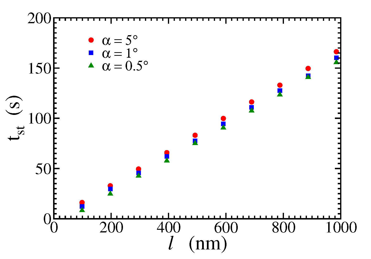
Figure 6 shows the time to reach the stationary state as a function of l for three angles of the wedges and . There is a linear relation between these quantities because the complete filling of the gap between two wedges occurs when the monolayer steps at the ridges meet. Denoting the velocity of those steps as , it can be estimated as
From the reciprocal of the slopes of fits of Figure 6 and Equation (9), we obtain nm/s for . This result is in good agreement with the direct simulation of step propagation for the same saturation ratio, which gives nm/s; see Appendix A.
Figure 6.
Stationary times as function of l for and .
These results show that the lateral growth by step propagation occurs with approximately the same velocity at all depths of the wedges, from the tips to the valleys. At a hydrodynamic scale, the valleys have the highest surface curvatures [Figure 2a], but this does not lead to faster growth at those points. Instead, the valleys slowly move up due to the lateral filling. Moreover, the wedge tips have the lowest curvatures at the hydrodynamic scale, but this neither prevents lateral growth nor favors dissolution because the tips are low-energy terraces at the nanoscale.
Thus, at the hydrodynamic scale, step propagation is the mechanism that controls the growth, not the surface curvature. The saturation ratio (or saturation index) is the thermodynamic quantity that determines the step velocity. Equation (9) shows how this mechanism can be used to predict the time in which the precipitation is expected to cease. The mass of deposited material can also be easily calculated from the initial geometry. It is also important to observe that this fracture model allows the gap of size g to remain open for fluid flow after the growth ceases, as illustrated in Figure 3a. This occurs because the initial tips of each wall are aligned in the same low-energy plane. This result is valid even if the initial roughness of the walls is large.
As a final note, the above interpretations based on step-propagation features are possible because the separation between the steps is large in the studied models (small angles ). This parallels the interpretations based on the step-wave model [34], which is able, e.g., to describe calcite dissolution rates controlled by etch pitting [47]. However, when monolayer steps are close to each other, their interaction may lead to curvature effects as those observed when grain edges dissolve and become rounded [31].
3.2. Growth in the Fracture with Vicinal Surfaces
Here, we study mineral growth in fractures whose walls are vicinal surfaces [Figure 2b], which have subnanoscale roughness but are not low-energy surfaces. Figure 7 shows cross-sections of a fracture with nm during the growth. Again, we observe that the gap is slowly filled by the propagation of surface steps. However, contrary to the previous case, all steps in a wall propagate in the same direction, so they do not meet to form low-energy planes. Thus, the growth ceases only when steps of opposite walls meet and clog the fracture spacing.
Figure 7.
Evolution of the cross-section of a fracture with vicinal surfaces with terrace length of 40 nm. The orange lines indicate the initial walls.
The time for the fracture gap to be filled can also be calculated from the initial geometry and the step-propagation velocity at the chosen saturation. The average time for deposition of one layer of molecules in each wall is the time for a step to propagate to a distance w, which is the distance between consecutive steps [Figure 2b]:
During this time, the walls move a distance a in the z direction, so their growth velocity in that direction is
where Equation (2) was used. The gap between the walls is filled when the sum of the displacements of the two walls in the z direction reaches the initial separation [Figure 2b]; using Equation (3) we obtain:
Observe that, for small angles , the separation and the gap width g have approximately the same value [Equation (3)].
Figure 8 shows the values of the scaled time as a function of the separation obtained in KMC simulations for two angles and two saturations. The collapse of the data for the same saturation gives support to the prediction of Equation (12). From Equation (12), the reciprocal of the slopes of the linear fits of the plots in Figure 8 is expected to be twice the step-propagation velocity. This gives nm/s and nm/s for and , respectively, both in good agreement with the simulations of step propagation (see Appendix A).
Figure 8.
Scaled time to fill the gap between the vicinal surfaces as a function of the gap distance for two different angles and saturation ratios.
These results confirm the leading role of step propagation when a mineral is deposited in fracture walls, with the step velocity being related to the saturation ratio. More importantly, they show that the fracture spacing is filled in conditions of very small initial roughness, in contrast to the case of rough wedge-shaped walls. This shows that the wall crystallography is much more important than the roughness in predicting the final pore shape.
3.3. Growth in a Fracture with Rough Surfaces
The growth on fracture walls is controlled by step propagation along the main crystallographic directions, and this propagation ends only when steps moving in opposite directions meet and form low-energy terraces. A more general case of an initial fracture with the symmetry in the y direction is shown in Figure 9a, with upper and lower crystals aligned in different orientations. The dashed lines across the whole image are some low-energy planes that cross the upper and lower walls. The two solid lines are the low-energy planes that cross the smallest density of molecules of each wall; geometrically, these planes intercept the wall cross-sections in a minimal (but non-zero) number of points. The left and right ends of the lower crystal in Figure 9a were chosen at two subsequent intersections with the smallest density plane (red line).
Figure 9.
Expected time evolution of a fracture: (a) initial configuration with rough walls; (b) a configuration during calcite growth; (c) final configuration. Low-energy planes are indicated by parallel lines, with increasing initial density of molecules in the following order in the lower crystal: red solid line; pink dashed line; magenta dashed line; orange dashed line. Brown dashed lines in the intermediate configuration are drawn through the terraces formed around local surface peaks. Flow lines in the fracture spacing are schematically represented.
Figure 9b shows the walls after some time. In the lowest wall, dashed brown lines passing through the surface tips show that those tips laterally expand to form low-energy terraces, similar to what was observed in the wedge-shaped geometry [Figure 3a,b]. The valleys may move up, but they remain sharp. Similar features are observed in the upper wall. In both walls, observe that some wide valleys are low-energy planes that remain partially exposed in Figure 9b.
Figure 9c shows the configuration in which the two walls become low-energy planes and where no growth occurs. Those configurations are the initial low-energy planes with the smallest density of molecules because the most protuberant steps propagate along those planes until covering the intermediate parts of the surfaces. The velocity of step propagation (which depends on the saturation ratio) and the distance between those protuberances can be directly used to estimate the deposition time in that region. The average depth below those protuberances can be used to estimate the mass of deposited material.
We also performed simulations of calcite growth on a wall with features similar to those of the lower wall of Figure 9a. The evolution of this simulated wall is shown in Figure 10 and confirms the predictions of the previous schematic images. The only difference is that some steps enter at the right side in Figure 10 because the highlighted region is part of a larger crystal.
Figure 10.
Evolution of the cross-section of a rough wall during calcite growth. The initial configuration of the wall is indicated by the orange line and the blue line indicates the low energy plane with the smallest density of molecules in the initial wall.
3.4. Possible Effects of Solution Transport
Applying the above framework typically demands high fluxes along the pore length to ensure uniform solution concentrations. The time in which all ions in solution precipitate is given by , where C is the concentration of one of the ions, is the typical width of the fracture, and k may be taken as an average dissolution rate. For a slight supersaturation, and [see Figure 4c], so in SI units. The time for the pore solution to be renewed is , where is the seepage velocity for the flow along the length . A nearly uniform concentration can be maintained if is at least 10 times smaller than , which means a Damköhler number smaller than ; for the above-mentioned conditions, this requires a minimal seepage velocity
Here the unit is of cm/s because it is the most commonly used. Considering a gap with m, , which may be reasonable in laboratory works (e.g., Ref. [8]) but larger than typical values in natural processes [48].
If decreases due to gap filling, higher seepage velocities are needed to maintain a uniform concentration. Physically, this occurs because the ions within the pore are consumed more rapidly (decrease of ). For instance, if decreases to 10 nm in the above conditions, is required, which in turn requires very high pressures for fluid injection. If the injection rate is insufficient to sustain uniform supersaturation, the saturation ratio (or saturation index) is expected to decrease along the flow direction, resulting in faster growth near the pore entrance. However, this is not expected to change the main growth mechanism, which is the propagation of steps that slowly fill the valleys of the walls. Two subsequent situations are possible: (i) If the fracture clogs at the entrance, the flow ceases, and the mass of deposited mineral is smaller than that estimated with the above framework; (ii) If the fracture is not clogged at the entrance, then the growth ceases there and the injected solution can continue to fill the valleys which are more distant from the entrance. Again, the situation observed in an application will depend on the crystallography of the fracture walls.
4. Conclusions
The success of the permanent carbon sequestration process based on sub-surface mineralization critically depends on the dissolution and precipitation process within the fractures and pores of the host reservoir rocks. This raises some questions: Under what conditions will mineralization occur on a given surface? How do these processes modify the transport processes? As mineralization occurs, is the flow of the charge through the rock matrix maintained, or is it shut off? The work presented here has provided some initial clues to address these questions, informing potential constitutive relationships at the nano and microscale that may be used in large (field) scale models aimed at predicting the permanent storage potential of a given reservoir.
Calcite growth was studied on fractures with walls of the same mineral and different roughness patterns, with special emphasis on (large roughness) wedge-shaped walls and (low roughness) vicinal surfaces. Kinetic Monte Carlo simulations of a model of attachment and detachment of molecules were performed and scaling approaches were used to interpret the numerical data, predict the final configurations of the deposits, and the time to reach them. The Kossel crystal approximation was used, in which the low-energy (104) surface of calcite is represented by (0,0,±1) planes.
The initially wedge-shaped walls had tips in the form of narrow terraces in the same low-energy plane, and their lateral sides were terraces separated by monolayer steps (for small wedge angles). Growth took place by propagation of all those steps towards the valleys between the wedges. When opposite steps immediately above a valley meet, they form a low-energy plane at that valley; the height of the valley is displaced by one lattice constant while the other steps continue to propagate. The growth ceases when opposite steps coming from consecutive tips meet, and the walls form a low-energy plane, possibly leaving an open gap in the center of the fracture, which allows fluid flow. The time to reach this final configuration can be calculated from the distance between those tips and the velocity of step propagation at the given supersaturation.
The walls with vicinal surfaces have equally separated monolayer steps and roughness below 1 nm. Growth also occurs by step propagation until opposite steps at opposite walls meet, which leads to pore clogging. We showed that the time to reach this configuration can be calculated from the initial distance between the steps, the gap width, and the step velocity.
We finally considered the case of fractures with random wall geometries and with possibly different crystalline orientations in the upper and lower walls. In each wall, step propagation is also responsible for the lateral filling of surface valleys until the wall reaches the low-energy plane that has the smallest initial density of molecules; the step velocity is controlled by the saturation ratio (or saturation index). The deposited mass may be estimated by the average height of the valleys below this plane. This shows that the wall crystallography controls the growth, while the roughness or the local curvature is not a suitable quantity to predict the final configurations at the nano scale. However, the framework based on the step-propagation mechanism may be used to determine those configurations, the times to reach them, and the mass of deposited mineral. In multiscale reactive transport models, this framework may be incorporated without additional KMC simulations at the nano or micro scale.
Moreover, some applications for growth on substrates of different minerals may be possible. For instance, wetting calcite layers are also formed on sand grain surfaces [24]. In this case, preferential growth is observed on concave regions of the internal surface whose widths are ∼m, which parallels our observation of calcite accumulation in the valleys of the wedge-shaped walls.
However, a note of caution is important in cases where the fracture gap shrinks and eventually fills. The narrowing of the gap makes it more difficult to maintain a uniform supersaturation along the flow direction, so a higher saturation index is expected near the pore entrance. This may lead to clogging at the fracture entrance, causing the deposited mass to be smaller than the model prediction. However, if growth ceases at the entrance without clogging, the injected supersaturation will reach deeper regions, and only the time required to reach the final configuration will be affected. The crystallography of the walls at the pore entrance will determine which of these scenarios will occur.
Author Contributions
Conceptualization, F.D.A.A.R. and V.R.V.; methodology, N.T.R., I.S.S.C. and F.D.A.A.R.; software, N.T.R. and I.S.S.C.; validation, N.T.R. and I.S.S.C.; formal analysis, N.T.R., I.S.S.C., V.R.V. and F.D.A.A.R.; investigation, N.T.R., I.S.S.C. and F.D.A.A.R.; resources, F.D.A.A.R. and V.R.V.; data curation, N.T.R. and I.S.S.C.; writing—original draft preparation, F.D.A.A.R.; writing—review and editing, N.T.R., I.S.S.C., V.R.V. and F.D.A.A.R.; visualization, N.T.R., I.S.S.C. and F.D.A.A.R.; supervision F.D.A.A.R.; project administration, F.D.A.A.R.; funding acquisition, F.D.A.A.R., I.S.S.C. and V.R.V. All authors have read and agreed to the published version of the manuscript.
Funding
V.R.V. is supported by the Center on Geo-processes in Mineral Carbon Storage, an Energy Frontier Research Center funded by the U.S. Department of Energy, Office of Science, Basic Energy Sciences at the University of Minnesota under award #DE-SC0023429. N.T.R. is supported by the Brazilian agency FAPERJ (E-26/204.396/2021). I.S.S.C. is supported by the Brazilian agency FAPDF (00193-00001817/2023-43). F.D.A.A.R. is supported by the Brazilian agencies CAPES (PrInt 88887.310427/2018-00), CNPq (442233/2023-0, 305570/2022-6), and FAPERJ (E-26/210.062/2023, E-26/201.050/2022).
Data Availability Statement
The data presented in this study are available on request from the corresponding author.
Conflicts of Interest
The authors declare no conflicts of interest.
Appendix A
Here, we determine the sticking coefficient s of the model of molecule aggregation.
The equilibrium of dissolution and precipitation is well established by the relation [45], so is a reasonable assumption in this condition. Growth occurs for , and s depends on the physical properties of the growing surface. For very rapid growth, , the surface properties are determined by the freshly deposited material, and we assume that those properties become independent of the growth rate in that limit. Thus, we propose a simple relation in which s saturates for large :
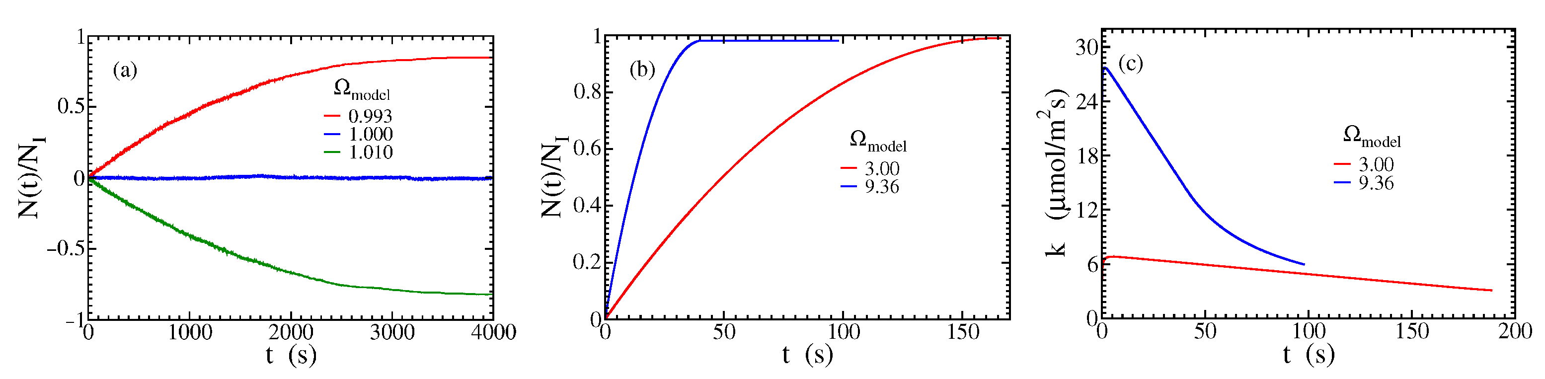
where c and are constants and is given by Equations (4) and (5). For , s converges to the constant value .
Using several values of c and , we performed room temperature simulations on large surfaces with monolayer steps, i.e., surfaces with the initial geometry of the walls in Figure 2b and . Figure A1 shows the evolution of a region of the surface for , , and [Equations (6) and (A1)]; the choice of these parameters will be justified below. The initial surface step propagates independently and has low roughness. There is no observable detachment of molecules on the terraces separating the steps; whenever this occurs, the pit is rapidly filled by the attachment of a molecule from the solution. Similar results are obtained in a broad range of model parameters. This is in qualitative agreement with laboratory studies [41,42].
Figure A1.
Snapshots of a growing surface (from left to right) with initially separated monolayer steps () for , , and . Site colors are the same defined in Figure 1.
Figure A1.
Snapshots of a growing surface (from left to right) with initially separated monolayer steps () for , , and . Site colors are the same defined in Figure 1.

Notably, these results are not trivial from the point of view of stochastic growth modeling. If molecule detachment is absent, the random aggregation produces surfaces with Poisson distributions of heights and time-increasing roughness (random deposition model) [49,50]. Thus, the smooth step propagation and absence of crystal nucleation on terraces is possible only because the detachment rates of molecules with low coordinations ( and 2) are large compared to deposition rates. For instance, the attachment rate is [Equations (4) and (6)], which is in the range for the saturations considered here. However, the molecules attached on the (0,0,) terraces have a single NN (), so their detachment rate is , which is much larger than . In simple words, in this model with random aggregation, the growth of smooth surfaces is possible only because in Equation (5).
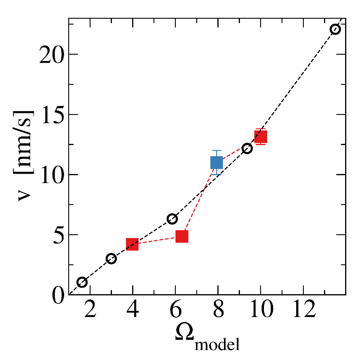
In a recent work [38], the detachment rates of the model [Equations (4) and (5)] were determined by the velocities of dissolving monolayer steps of (104) calcite surfaces measured by AFM [40]. Thus, here we will determine the parameters of the sticking coefficient for aggregation [Equation (A1)] by velocities of growing steps measured by the same technique [41,42]. Since we adopted the Kossel crystal approximation, we will use average values of velocities of acute and obtuse steps of (104) surfaces.
The comparison with AFM results of Sand et al [42] for and gives and . Figure A2 shows the velocities obtained with these parameters as a function of the saturation ratio , the AFM velocities obtained in that work, and the velocity obtained by Hong et al. [41] for . The good agreement shows the reliability of the model in the regime where molecule attachment dominates ().
For the simulation of deposition in rough fractures, the results for two saturation values are particularly important: nm/s for ; nm/s for .
Figure A2.
Monolayer step velocity as a function of the saturation ratio obtained in simulations (black circles) and AFM studies (blue filled squares [41] and red filled squares [42]).
Figure A2.
Monolayer step velocity as a function of the saturation ratio obtained in simulations (black circles) and AFM studies (blue filled squares [41] and red filled squares [42]).

References
- Jun, Y.; Zhang, L.; Min, Y.; Li, Q. Nanoscale Chemical Processes Affecting Storage Capacities and Seals during Geologic CO2 Sequestration. Acc. Chem. Res. 2017, 50, 1521–1529. [Google Scholar] [CrossRef] [PubMed]
- Xu, R.; Li, R.; Ma, J.; He, D.; Jiang, P. Effect of Mineral Dissolution/Precipitation and CO2 Exsolution on CO2 transport in Geological Carbon Storage. Acc. Chem. Res. 2017, 50, 2056–2066. [Google Scholar] [CrossRef] [PubMed]
- Jiang, H.; Economou, I.G.; Panagiotopoulos, A.Z. Molecular Modeling of Thermodynamic and Transport Properties for CO2 and Aqueous Brines. Acc. Chem. Res. 2017, 50, 751–758. [Google Scholar] [CrossRef] [PubMed]
- Linke, T.; Oelkers, E.H.; Möckel, S.C.; Gislason, S.R. Direct evidence of CO2 drawdown through enhanced weathering in soils. Geochem. Persp. Let. 2024, 30, 7–12. [Google Scholar] [CrossRef]
- Oelkers, E.H.; Gislason, S.R. Carbon Capture and Storage: From Global Cycles to Global Solutions. Geochem. Perspect. 2023, 12, 179–349. [Google Scholar] [CrossRef]
- Putnis, A. Transient Porosity Resulting from Fluid-Mineral Interaction and its Consequences. Rev. Mineral. Geochem. 2015, 80, 1–23. [Google Scholar] [CrossRef]
- Addassi, M.; Hoteit, H.; Oelkers, E.H. The impact of secondary silicate mineral precipitation kinetics on CO2 mineral storage. Int. J. Greenhouse Gas Control 2024, 131, 104020. [Google Scholar] [CrossRef]
- Luquot, L.; Gouze, P. Experimental determination of porosity and permeability changes induced by injection of CO2 into carbonate rocks. Chem. Geol. 2009, 265, 148–159. [Google Scholar] [CrossRef]
- Luquot, L.; Rodriguez, O.; Gouze, P. Experimental Characterization of Porosity Structure and Transport Property Changes in Limestone Undergoing Different Dissolution Regimes. Transp. Porous Med. 2014, 101, 507–532. [Google Scholar] [CrossRef]
- Godinho, J.R.A.; Gerke, K.M.; Stack, A.G.; Lee, P.D. The dynamic nature of crystal growth in pores. Sci. Rep. 2016, 6, 33086. [Google Scholar] [CrossRef] [PubMed]
- Noiriel, C.; Steefel, C.I.; Yang, L.; Bernard, D. Effects of pore-scale precipitation on permeability and flow. Adv. Water Resour. 2016, 95, 125–137. [Google Scholar] [CrossRef]
- Godinho, J.R.; Withers, P.J. Time-lapse 3D imaging of calcite precipitation in a microporous column. Geochim. Cosmochim. Acta 2018, 222, 156–170. [Google Scholar] [CrossRef]
- Baek, S.; Hong, J.; Kim, K.Y.; Yeom, S.; Kwon, T. X-Ray Computed Microtomography Imaging of Abiotic Carbonate Precipitation in Porous Media from a Supersaturated Solution: Insights into Effect of CO2 Mineral Trapping on Permeability. Water Resour. Res. 2019, 55, 3835–3855. [Google Scholar] [CrossRef]
- Noiriel, C.; Seigneur, N.; Guern, P.L.; Lagneau, V. Geometry and mineral heterogeneity controls on precipitation in fractures: An X-ray micro-tomography and reactive transport modeling study. Adv. Water Resour. 2021, 152, 103916. [Google Scholar] [CrossRef]
- Nooraiepour, M.; Masoudi, M.; Shokri, N.; Hellevang, H. Probabilistic Nucleation and Crystal Growth in Porous Medium: New Insights from Calcium Carbonate Precipitation on Primary and Secondary Substrates. ACS Omega 2021, 6, 28072–28083. [Google Scholar] [CrossRef] [PubMed]
- Depp, C.T.; Miller, Q.R.S.; Crum, J.V.; Horner, J.A.; Schaef, H.T. Pore-Scale Microenvironments Control Anthropogenic Carbon Mineralization Outcomes in Basalt. ACS Earth Space Chem. 2022, 6, 2836–2847. [Google Scholar] [CrossRef]
- Steefel, C.I.; Hu, M. Reactive transport modeling of mineral precipitation and carbon trapping in discrete fracture networks. Water Resour. Res. 2022, 58, e2022WR032321. [Google Scholar] [CrossRef]
- Cil, M.B.; Xie, M.; Packman, A.I.; Buscarnera, G. Solute mixing regulates heterogeneity of mineral precipitation in porous media. Geophys. Res. Lett. 2017, 44, 6658–6666. [Google Scholar] [CrossRef]
- Wang, Y.; Zeng, M.; Meldrum, F.C.; Christenson, H.K. Using Confinement To Study the Crystallization Pathway of Calcium Carbonate. Cryst. Growth Des. 2017, 17, 6787–6792. [Google Scholar] [CrossRef]
- Seyyedi, M.; Mahmud, H.K.B.; Verrall, M.; Giwelli, A.; Esteban, L.; Ghasemiziarani, M.; Clennell, B. Pore Structure Changes Occur During CO2 Injection into Carbonate Reservoirs. Sci. Rep. 2020, 10, 3624. [Google Scholar] [CrossRef] [PubMed]
- Ozotta, O.; Kolawole, O.; Malki, M.L.; Ore, T.; Gentzis, T.; Fowler, H.; Liu, K.; Ostadhassan, M. Nano- to macro-scale structural, mineralogical, and mechanical alterations in a shale reservoir induced by exposure to supercritical CO2. Appl. Energy 2022, 326, 120051. [Google Scholar] [CrossRef]
- Li, X.; Nienhuis, E.T.; Nagurney, A.B.; Miller, Q.R.S.; Zhang, X.; Schaef, H.T. Resolving Nanoscale Processes during Carbon Mineralization Using Identical Location Transmission Electron Microscopy. Environ. Sci. Technol. Lett. 2024, 11, 79–88. [Google Scholar] [CrossRef]
- Jaho, S.; Sygouni, V.; Rokidi, S.G.; Parthenios, J.; Koutsoukos, P.G.; Paraskeva, C.A. Precipitation of Calcium Carbonate in Porous Media in the Presence of n-Dodecane. Cryst. Growth Des. 2016, 16, 6874–6884. [Google Scholar] [CrossRef]
- Li, X.; Yang, X. Effects of physicochemical properties and structural heterogeneity on mineral precipitation and dissolution in saturated porous media. Appl. Geochem. 2022, 146, 105474. [Google Scholar] [CrossRef]
- Li, X.; Huang, H.; Meakin, P. Level set simulation of coupled advection-diffusion and pore structure evolution due to mineral precipitation in porous media. Water Resour. Res. 2008, 44, W12407. [Google Scholar] [CrossRef]
- Deng, H.; Tournassat, C.; Molins, S.; Claret, F.; Steefel, C.I. A pore-scale investigation of mineral precipitation driven diffusivity change at the column-scale. Water Resour. Res. 2021, 57, e2020WR028483. [Google Scholar] [CrossRef]
- Deng, H.; Gharasoo, M.; Zhang, L.; Dai, Z.; Hajizadeh, A.; Peters, C.A.; Soulaine, C.; Thullner, M.; Van Cappellen, P. A perspective on applied geochemistry in porous media: Reactive transport modeling of geochemical dynamics and the interplay with flow phenomena and physical alteration. Appl. Geochem. 2022, 146, 105445. [Google Scholar] [CrossRef]
- Wetzel, M.; Kempka, T.; Kühn, M. Hysteresis in permeability evolution simulated for a sandstone by mineral precipitation and dissolution. Adv. Geosci. 2022, 58, 1–10. [Google Scholar] [CrossRef]
- Yang, F.; Yuan, K.; Stack, A.G.; Starchenko, V. Numerical Study of Mineral Nucleation and Growth on a Substrate. ACS Earth Space Chem. 2022, 6, 1655–1665. [Google Scholar] [CrossRef]
- Späth, M.; Nestler, B. Permeability evolution in open fractures during precipitation and dissolution—A phase-field study. Adv. Water Resour. 2023, 182, 104563. [Google Scholar] [CrossRef]
- Rodrigues, N.T.; Carrasco, I.S.S.; Reis, F. Step propagation controls pore shape evolution when mineral walls dissolve under saturation gradients. Geochim. Cosmochim. Acta 2024, 379, 219–232. [Google Scholar] [CrossRef]
- Michely, T.; Krug, J. Islands, Mounds, and Atoms; Springer: Berlin/Heidelberg, Germany, 2003. [Google Scholar]
- Evans, J.W.; Thiel, P.A.; Bartelt, M.C. Morphological evolution during epitaxial thin film growth: Formation of 2D islands and 3D mounds. Surf. Sci. Rep. 2006, 61, 1–128. [Google Scholar] [CrossRef]
- Lasaga, A.C.; Luttge, A. Variation of Crystal Dissolution Rate Based on a Dissolution Stepwave Model. Science 2001, 291, 2400–2404. [Google Scholar] [CrossRef] [PubMed]
- de Assis, T.A.; Reis, F.D.A.A. Dissolution of minerals with rough surfaces. Geochim. Cosmochim. Acta 2018, 228, 27–41. [Google Scholar] [CrossRef]
- Fischer, C.; Luttge, A. Beyond the conventional understanding of water-rock reactivity. Earth Planet. Sci. Lett. 2017, 457, 100–105. [Google Scholar] [CrossRef]
- Fogler, H.S. Elements of Chemical Reaction Engineering, 4th ed.; Prentice Hall PTR International Series in the Physical and Chemical Engineering Sciences; Prentice Hall PTR: Upper Saddle River, NJ, USA, 2006. [Google Scholar]
- Carrasco, I.S.S.; Reis, F.D.A.A. Modeling the kinetics of calcite dissolution in neutral and alkaline solutions. Geochim. Cosmochim. Acta 2021, 292, 271–284. [Google Scholar] [CrossRef]
- Carrasco, I.S.S.; Machado, E.A.; Reis, F.D.A.A. Simulations of Dissolution of Initially Flat Calcite Surfaces: Retreat Velocity Control and Surface Roughness Scaling. ACS Earth Space Chem. 2021, 5, 2755–2767. [Google Scholar] [CrossRef]
- Shiraki, R.; Rock, P.A.; Casey, W.H. Dissolution Kinetics of Calcite in 0.1M NaCl Solution at Room Temperature: An Atomic Force Microscopic (AFM) Study. Aquat. Geochem. 2000, 6, 87–108. [Google Scholar] [CrossRef]
- Hong, M.; Teng, H.H. Implications of solution chemistry effects: Direction-specific restraints on the step kinetics of calcite growth. Geochim. Cosmochim. Acta 2014, 141, 228–239. [Google Scholar] [CrossRef]
- Sand, K.K.; Tobler, D.J.; Dobberschütz, S.; Larsen, K.K.; Makovicky, E.; Andersson, M.P.; Wolthers, M.; Stipp, S.L.S. Calcite Growth Kinetics: Dependence on Saturation Index, Activity Ratio, and Surface Atomic Structure. Cryst. Growth Des. 2016, 16, 3602–3612. [Google Scholar] [CrossRef]
- Lasaga, A.C.; Blum, A.E. Surface chemistry, etch pits and mineral-water reactions. Geochim. Cosmochim. Acta 1986, 50, 2363–2379. [Google Scholar] [CrossRef]
- Kolasinski, K.W. Surface Science: Foundations of Catalysis and Nanoscience, 3rd ed.; John Wiley & Sons: Hoboken, NJ, USA, 2012. [Google Scholar]
- Lasaga, A.C.; Luttge, A. Mineralogical approaches to fundamental crystal dissolution kinetics. Am. Mineral. 2004, 89, 527–540. [Google Scholar] [CrossRef]
- Meakin, P.; Rosso, K.M. Simple kinetic Monte Carlo models for dissolution pitting induced by crystal defects. J. Chem. Phys. 2008, 129, 204106. [Google Scholar] [CrossRef]
- Bouissonnié, A.; Daval, D.; Marinoni, M.; Ackerer, P. From mixed flow reactor to column experiments and modeling: Upscaling of calcite dissolution rate. Chem. Geol. 2018, 487, 63–75. [Google Scholar] [CrossRef]
- Li, L.; Steefel, C.I.; Yang, L. Scale dependence of mineral dissolution rates within single pores and fractures. Geochim. Cosmochim. Acta 2008, 72, 360–377. [Google Scholar] [CrossRef]
- Barabási, A.L.; Stanley, H.E. Fractal Concepts in Surface Growth; Cambridge University Press: New York, NY, USA, 1995. [Google Scholar]
- Krug, J. Origins of scale invariance in growth processes. Adv. Phys. 1997, 46, 139–282. [Google Scholar] [CrossRef]
Disclaimer/Publisher’s Note: The statements, opinions and data contained in all publications are solely those of the individual author(s) and contributor(s) and not of MDPI and/or the editor(s). MDPI and/or the editor(s) disclaim responsibility for any injury to people or property resulting from any ideas, methods, instructions or products referred to in the content. |
© 2024 by the authors. Licensee MDPI, Basel, Switzerland. This article is an open access article distributed under the terms and conditions of the Creative Commons Attribution (CC BY) license (https://creativecommons.org/licenses/by/4.0/).









