Low-Calcium, Porous, Alkali-Activated Materials as Novel pH Stabilizers for Water Media
Abstract
1. Introduction
2. Materials and Methods
2.1. Raw Materials
2.2. Mixture Design and Sample Preparation
2.3. Techniques
3. Results and Discussions
3.1. Physical and Mechanical Properties
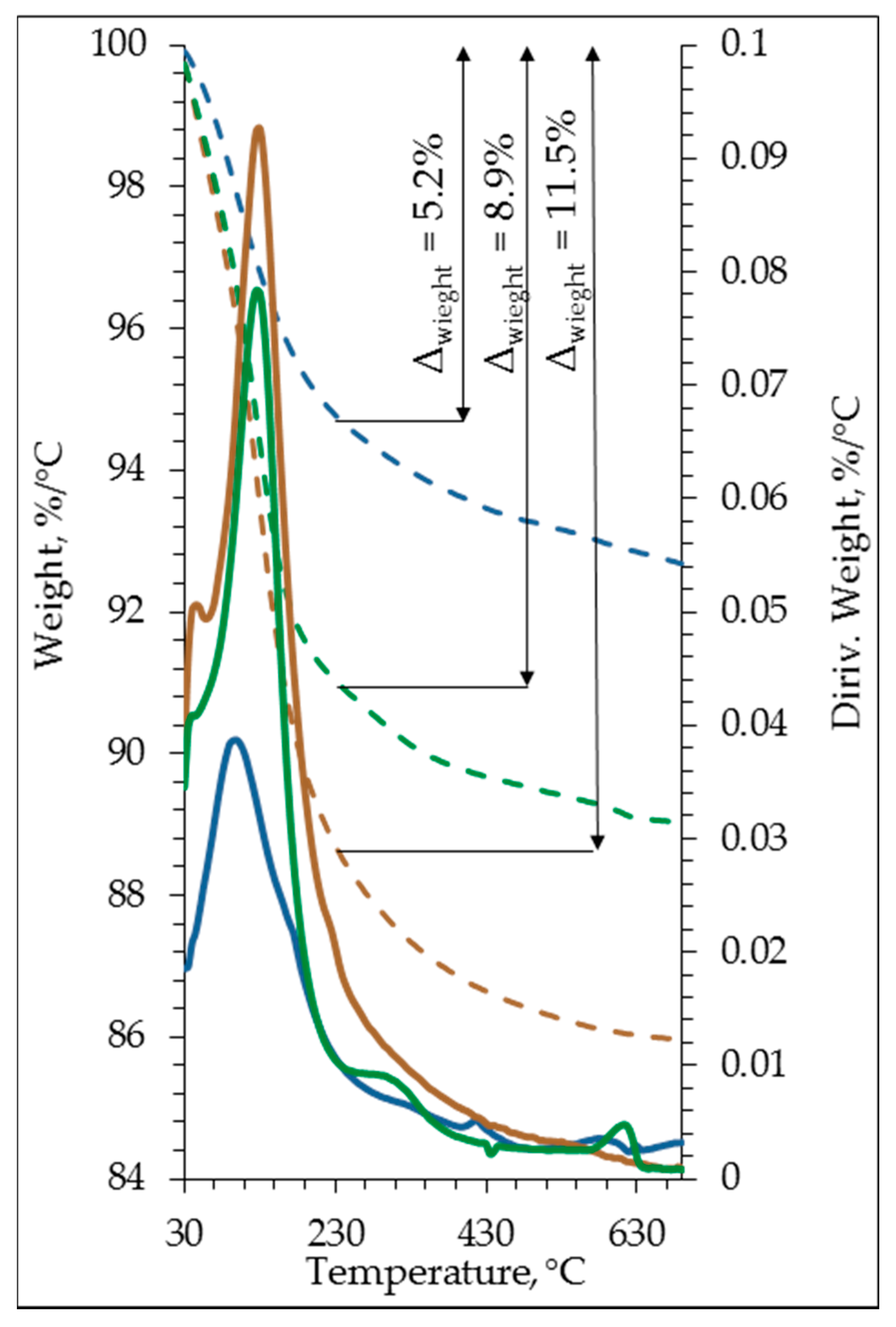
3.2. Reaction Product Characterization
3.3. Leaching Behavior
4. Conclusions
Author Contributions
Funding
Conflicts of Interest
References
- Loyd, M.R. Global water security. In Selected Issues in Water Resources and Management; Nova Science Publishers: Hauppauge, NY, USA, 2013; pp. 1–30. ISBN 9781629484563. [Google Scholar]
- Rugele, K.; Bumanis, G.; Bajare, D.; Lakevics, V.; Rubulis, J. Alkaline Activated Material for pH Control in Biotechnologies. Key Eng. Mater. 2014, 604, 223–226. [Google Scholar] [CrossRef]
- Bajare, D.; Bumanis, G. Alkali diffusion in porous alkali activated materials. In Proceedings of the NTCC International Conference on Non-Traditional Cement and Concrete, Brno, Czech Republic, 16–19 June 2014; pp. 1–9. [Google Scholar]
- Gruskevica, K.; Bumanis, G.; Tihomirova, K.; Bajare, D.; Juhna, T. Alkaline activated material as the adsorbent for uptake of high concentration of Zinc from wastewater. Key Eng. Mater. 2016, 721, 123–127. [Google Scholar] [CrossRef]
- Novais, R.M.; Buruberri, L.H.; Seabra, M.P.; Bajare, D.; Labrincha, J.A. Novel porous fly ash-containing geopolymers for pH buffering applications. J. Clean. Prod. 2016, 124, 395–404. [Google Scholar] [CrossRef]
- Novais, R.M.; Seabra, M.P.; Labrincha, J.A. Porous geopolymer spheres as novel pH buffering materials. J. Clean. Prod. 2017, 143, 1114–1122. [Google Scholar] [CrossRef]
- Provis, J.L. Geopolymers and other alkali activated materials: Why, how, and what? Mater. Struct. 2014, 47, 11–25. [Google Scholar] [CrossRef]
- Pacheco-Torgal, F.; Castro-Gomes, J.; Jalali, S. Alkali-activated binders: A review Part 1. Historical background, terminology, reaction mechanisms and hydration products. Constr. Build. Mater. 2008, 22, 1305–1314. [Google Scholar] [CrossRef]
- Lloyd, R.R.; Provis, J.L.; Van Deventer, J.S.J. Pore solution composition and alkali diffusion in inorganic polymer cement. Cem. Concr. Res. 2010, 40, 1386–1392. [Google Scholar] [CrossRef]
- Komnitsas, K.; Zaharaki, D.; Bartzas, G. Effect of sulphate and nitrate anions on heavy metal immobilisation in ferronickel slag geopolymers. Appl. Clay Sci. 2013. [Google Scholar] [CrossRef]
- Bumanis, G.; Bajare, D. The effect of porous alkali activated material composition on buffer capacity in bioreactors. Int. J. Chem. Nucl. Metall. Mater. Eng. 2014, 8, 1040–1046. [Google Scholar]
- Liu, B.; Huang, T.; Zhang, Z.; Wang, Z.; Zhang, Y.; Li, J. The effect of the alkali additive on the highly active Ru/C catalyst for water gas shift reaction. Catal. Sci. Technol. 2014, 4, 1286. [Google Scholar] [CrossRef]
- Bumanis, G.; Bajare, D. Porous alkali activated materials with slow alkali release dynamic. Role of composition. Mater. Constr. 2018, 68. [Google Scholar] [CrossRef]
- Hrachovcova, K.; Tisler, Z.; Svobodová, E.; Safar, J. Modified alkali activated zeolite foams with improved textural and mechanical properties. Minerals 2020, 10, 483. [Google Scholar] [CrossRef]
- Stoleriu, S.; Vlasceanu, I.N.; Dima, C.; Badanoiu, A.I.; Voicu, G. Alkali activated materials based on glass waste and slag for thermal and acoustic insulation. Mater. Constr. 2019, 69, 194. [Google Scholar] [CrossRef]
- Vegere, K.; Vitola, L.; Argalis, P.P.; Bajare, D.; Krauklis, A.E. Alkali-activated metakaolin as a zeolite-like binder for the production of adsorbents. Inorganics 2019, 7, 141. [Google Scholar] [CrossRef]
- Tuff, Z.; Ibrahim, K.M.; Khoury, H.N.; Tuffaha, R. Mo and Ni Removal from drinking water using zeolitic tuff from Jordan. Minerals 2016, 6, 116. [Google Scholar] [CrossRef]
- Teresa, M.; Deng, S. Ce–Fe-modified zeolite-rich tuff to remove Ba2+-like 226Ra2+ inpresence of As (V) and F− from aqueous media as pollutants of drinking water. J. Hazard. Mater. 2016, 302, 341–350. [Google Scholar] [CrossRef]
- Dessalegne, M.; Diaz, I. Aluminum hydroxide supported on zeolites for fluoride removal from drinking water. J. Chem. Technol. Biotechnol. 2016, 92, 605–613. [Google Scholar] [CrossRef]
- Minkiewicz, J.; Mozgawa, W.; Kr, M. IR spectroscopy studies of zeolites in geopolymeric materials derived from kaolinite. J. Mol. Struct. 2016, 1126, 200–206. [Google Scholar] [CrossRef]
- Criado, M.; Fernandez-Jimenez, A.; De La Torre, A.G.; Aranda, M.A.G.; Palomo, A. An XRD study of the effect of the SiO2/Na2O ratio on the alkali activation of fly ash. Cem. Concr. Res. 2007, 37, 671–679. [Google Scholar] [CrossRef]
- Duxson, P.; Fernandez-Jimenez, A.; Provis, J.L.; Lukey, G.C.; Palomo, A.; Van Deventer, J.S.J. Geopolymer technology: The current state of the art. J. Mater. Sci. 2007, 42, 2917–2933. [Google Scholar] [CrossRef]
- Pablo, J.; Campbell, K.M.; Kane, T.J.; Shoemaker, R.K.; Srubar, W.V. Cement and Concrete Research Mineralization dynamics of metakaolin-based alkali-activated cements. Cem. Concr. Res. 2017, 94, 1–12. [Google Scholar] [CrossRef]
- Pitcher, S.K.; Slade, R.C.T.; Ward, N.I. Heavy metal removal from motorway stormwater using zeolites. Sci. Total Environ. 2004, 334–335, 161–166. [Google Scholar] [CrossRef] [PubMed]
- Zamzow, M.J.; Eichbaum, B.R.; Sandgren, K.R.; Shanks, D.E. Removal of heavy metals and other cations from wastewater using zeolites. Sep. Sci. Technol. 1990, 25, 1555–1569. [Google Scholar] [CrossRef]
- Bumanis, G.; Novais, R.M.; Carvalheiras, J.; Bajare, D.; Labrincha, J.A. Metals removal from aqueous solutions by tailored porous waste-based granulated alkali-activated materials. Appl. Clay Sci. 2019, 179, 105147. [Google Scholar] [CrossRef]
- Cooney, E.L.; Booker, N.A. Ammonia removal from wastewaters using natural australian zeolite. II pilot-scale study using continuous packed column process. Sep. Sci. Technol. 1999, 34, 2741–2760. [Google Scholar]
- Bumanis, G.; Vitola, L.; Fernandez-Jimenez, A.; Palomo, A.; Bajare, D. The Effect of Heat Treatment on Alkali Activated Materials. Medziagotyra 2017, 23, 266–272. [Google Scholar] [CrossRef]
- Bai, C.; Colombo, P. High-porosity geopolymer membrane supports by peroxide route with the addition of egg white as surfactant. Ceram. Int. 2017, 43, 2267–2273. [Google Scholar] [CrossRef]
- Bajare, D.; Bumanis, G.; Korjakins, A.; Sele, L. Reuse of non-metallic residues from aluminium recycling industry in production of porous building materials. In Construction Materials and Structures; Riga Technical University: Riga, Latvia, 2014; Volume 1, pp. 136–144. [Google Scholar]
- Strozi, M.; Colombo, P.; Raymundo, M. Geopolymer foams by gelcasting. Ceram. Int. 2014, 40, 5723–5730. [Google Scholar] [CrossRef]
- Korat, L.; Ducman, V. The influence of the stabilizing agent SDS on porosity development in alkali-activated fly-ash based foams. Cem. Concr. Compos. 2017, 80, 168–174. [Google Scholar] [CrossRef]
- Bajare, D.; Vitola, L.; Dembovska, L.; Bumanis, G. Waste stream porous alkali activated materials for high temperature application. Front. Mater. 2019, 6. [Google Scholar] [CrossRef]
- Horvat, B.; Ducman, V. Potential of green ceramicswaste for alkali activated foams. Materials 2019, 12, 3563. [Google Scholar] [CrossRef] [PubMed]
- ASTM International. Standard Specification for Coal Fly Ash and Raw or Calcined Natural Pozzolan for Use in Concrete; ASTM International: West Conshohocken, PA, USA, 2012. [Google Scholar]
- Ruiz-Santaquiteria, C.; Fernández-Jimenez, A.; Skibsted, J.; Palomo, A. Clay reactivity: Production of alkali activated cements. Appl. Clay Sci. 2013, 73, 11–16. [Google Scholar] [CrossRef]
- Bumanis, G.; Vitola, L.; Bajare, D.; Dembovska, L.; Pundiene, I. Impact of reactive SiO2/Al2O3 ratio in precursor on durability of porous alkali activated materials. Ceram. Int. 2017, 43, 5471–5477. [Google Scholar] [CrossRef]
- American Society for Testing and Materials International ASTM (2009). Standard Test Method for Density of Hydraulic Cement. Annu. B. ASTM Stand. 2017. [CrossRef]
- Pacheco-Torgal, F.; Labrincha, J.A.; Leonelli, C.; Palomo, A.; Chindaprasirt, P. Handbook of Alkali-Activated Cements, Mortars and Concretes; Elsevier: Amsterdam, The Netherlands, 2014; ISBN 9781782422884. [Google Scholar]
- Zhang, Z.; Wang, H.; Provis, J.L.; Bullen, F.; Reid, A.; Zhu, Y. Quantitative kinetic and structural analysis of geopolymers. Part 1. The activation of metakaolin with sodium hydroxide. Thermochim. Acta 2012, 539, 23–33. [Google Scholar] [CrossRef]
- Garcia-Lodeiro, I.; Fernandez-Jimenez, A.; Blanco, M.T.; Palomo, A. FTIR study of the sol-gel synthesis of cementitious gels: C-S-H and N-A-S-H. J. Sol. Gel. Sci. Technol. 2008, 45, 63–72. [Google Scholar] [CrossRef]
- Criado, M.; Palomo, A.; Fernandez-Jimenez, A. Alkali activation of fly ashes. Part 1: Effect of curing conditions on the carbonation of the reaction products. Fuel 2005, 84, 2048–2054. [Google Scholar] [CrossRef]
- Lee, W.K.W.; van Deventer, J.S.J. Use of infrared spectroscopy to study geopolymerization of heterogeneous amorphous aluminosilicates. Langmuir 2003, 19, 8726–8734. [Google Scholar] [CrossRef]
- Fernandez-Jimenez, A.; Palomo, A. Mid-infrared spectroscopic studies of alkali-activated fly ash structure. Microporous Mesoporous Mater. 2005, 86, 207–214. [Google Scholar] [CrossRef]
- Fernandez-Jimenez, A.; Garcia-Lodeiro, I.; Palomo, A. Durability of alkali-activated fly ash cementitious materials. J. Mater. Sci. 2007, 42, 3055–3065. [Google Scholar] [CrossRef]
- Hong, S.Y.; Glasser, F.P. Alkali sorption by C-S-H and C-A-S-H gels: Part II. Role of alumina. Cem. Concr. Res. 2002, 32, 1101–1111. [Google Scholar] [CrossRef]
- Ascensano, G.; Seabra, M.P.; Aguiar, J.B.; Labrincha, J.A. Red mud-based geopolymers with tailored alkali diffusion properties and pH buffering ability. J. Clean. Prod. J. 2017, 148, 23–30. [Google Scholar] [CrossRef]
- Querol, X.; Moreno, N.; Umaña, J.T.; Alastuey, A.; Hernández, E.; Lopez-Soler, A.; Plana, F. Synthesis of zeolites from coal fly ash: An overview. Int. J. Coal Geol. 2002, 50, 413–423. [Google Scholar] [CrossRef]











| Chemical Compounds | FA | MK | * FA + MK |
|---|---|---|---|
| SiO2 | 39.03 | 53.74 | 45.06 |
| ** 36.61 | ** 38.55 | ** 37.41 | |
| Al2O3 | 27.06 | 44.47 | 34.20 |
| ** 15.47 | ** 33.49 | ** 22.86 | |
| Fe2O3 | 19.5 | 0.45 | 11.69 |
| CaO | 6.4 | 0.21 | 3.86 |
| K2O | 1.04 | 0.55 | 0.84 |
| TiO2 | 0.96 | 0.10 | 0.61 |
| MgO | 1.04 | 0.10 | 0.65 |
| Na2O | 0.16 | 0.00 | 0.09 |
| Others | 2.56 | 0.18 | 1.59 |
| LOI, 1000 °C | 2.25 | 0.2 | 1.41 |
| Sum | 100.00 | 100.00 | 100.00 |
| Name of Sample | Mixture Design, Mass Part | Main Oxides in Pastes, % in Weight | ||||||||||
|---|---|---|---|---|---|---|---|---|---|---|---|---|
| From Precursor | From Activator | Ratios | ||||||||||
| MK | FA | Activator | Foaming Agent P | L/S | SiO2 | Al2O3 | Na2O | SiO2 | SiO2/ Al2O3 | SiO2/ Na2O | Al2O3/ Na2O | |
| FA_0 | 0.00 | 1.00 | 0.32 | 0.015 | 0.32 | a 27.77 | a 22.98 | b 8.73 | b 1.28 | a 1.26 | a 3.33 | a 2.63 |
| c 19.92 | c 17.31 | c 1.23 | c 2.43 | c 1.98 | ||||||||
| MK_0 | 1.00 | 0.00 | 0.92 | 0.015 | 0.92 | a 27.77 | a 22.98 | b 8.73 | b 1.28 | a 1.26 | a 3.33 | a 2.63 |
| c 19.92 | c 17.31 | c 1.23 | c 2.43 | c 1.98 | ||||||||
| FA + MK_0 | 0.41 | 0.59 | 0.57 | 0.015 | 0.57 | a 28.43 | a 21.58 | b 6.60 | b 0.97 | a 1.36 | a 4.45 | a 3.27 |
| c 23.60 | c 14.42 | c 1.70 | c 3.72 | c 2.18 | ||||||||
| Name of Samples | Bulk Density, kg/m3 | True Density, kg/m3 | Water Absorption by Mass, % | Total Porosity, % | Open Porosity, % | Closed Porosity, % |
|---|---|---|---|---|---|---|
| FA_0 | 750 ± 5 | 2450 | 40 ± 3 | 71 ± 1 | 29 ± 1 | 42 ± 1 |
| FA_200 | 680 ± 10 | 2450 | 44 ± 5 | 74 ± 1 | 31 ± 1 | 43 ± 1 |
| MK_0 | 490 ± 15 | 2160 | 58 ± 1 | 77 ± 2 | 29 ± 2 | 48 ± 2 |
| MK_200 | 460 ± 8 | 2160 | 60 ± 1 | 79 ± 1 | 32 ± 1 | 47 ± 1 |
| MK + FA_0 | 550 ± 17 | 2270 | 53 ± 4 | 76 ± 1 | 25 ± 1 | 51 ± 1 |
| MK + FA_200 | 520 ± 15 | 2270 | 59 ± 3 | 77 ± 1 | 28 ± 1 | 49 ± 1 |
Publisher’s Note: MDPI stays neutral with regard to jurisdictional claims in published maps and institutional affiliations. |
© 2020 by the authors. Licensee MDPI, Basel, Switzerland. This article is an open access article distributed under the terms and conditions of the Creative Commons Attribution (CC BY) license (http://creativecommons.org/licenses/by/4.0/).
Share and Cite
Vitola, L.; Bajare, D.; Palomo, A.; Fernandez-Jimenez, A. Low-Calcium, Porous, Alkali-Activated Materials as Novel pH Stabilizers for Water Media. Minerals 2020, 10, 935. https://doi.org/10.3390/min10110935
Vitola L, Bajare D, Palomo A, Fernandez-Jimenez A. Low-Calcium, Porous, Alkali-Activated Materials as Novel pH Stabilizers for Water Media. Minerals. 2020; 10(11):935. https://doi.org/10.3390/min10110935
Chicago/Turabian StyleVitola, Laura, Diana Bajare, Angel Palomo, and Ana Fernandez-Jimenez. 2020. "Low-Calcium, Porous, Alkali-Activated Materials as Novel pH Stabilizers for Water Media" Minerals 10, no. 11: 935. https://doi.org/10.3390/min10110935
APA StyleVitola, L., Bajare, D., Palomo, A., & Fernandez-Jimenez, A. (2020). Low-Calcium, Porous, Alkali-Activated Materials as Novel pH Stabilizers for Water Media. Minerals, 10(11), 935. https://doi.org/10.3390/min10110935

