Asymmetric Finite-Range Persistence in Time Series Generated by the Modified Discrete Langevin Model
Abstract
1. Introduction
2. The Model
2.1. Persistence
2.2. Modified Discrete Langevin Model
2.3. The Hurst Exponent
2.4. Comparison with Fractional Brownian Motion
3. Asymmetric Persistence
4. Reconstruction of the Drift and Diffusion Functions from Time Series
4.1. Symmetric Persistence
4.2. Antisymmetric Persistence
4.3. Asymmetric Persistence
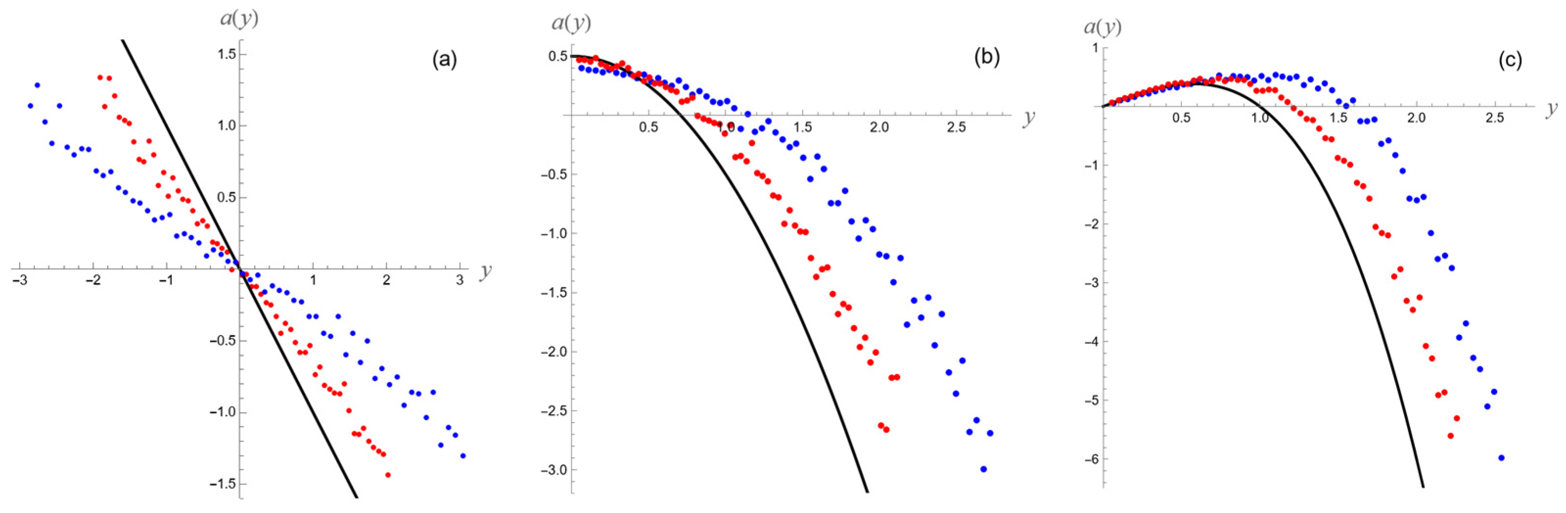
5. Problems with the Modified Reconstruction Procedure
- Step 1. First reconstruction a1(y) and b1(y) of the input a(y) and b(y) using the standard procedure [20];
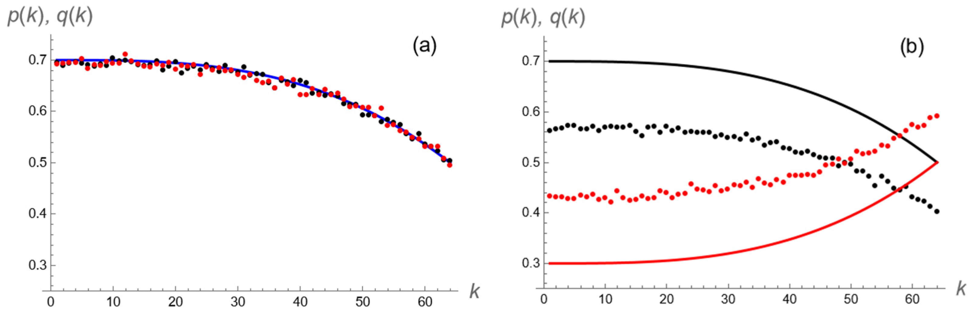
- Step 2. Estimation of persistence parameters p(k) and q(k) from histograms of
- Step 3. Second reconstruction a2(y) from the new time series generated by Equation (2) with a1(y), b1(y), and parameters p(k) and q(k) (estimated in Step 2) as the input;
- Step 4. Third reconstruction a3(y) from new time series generated by Equation (2) with a2(y), b1(y), and parameters p(k) and q(k) (estimated in Step 2) as the input;
- Step 5. The final reconstruction of the drift function is given by the formulawhere h(D) is the factor of proportionality which depends on a1(y), a2(y), and a3(y) (see the appendix in Ref. [14]).
6. Discussion
Funding
Data Availability Statement
Conflicts of Interest
Appendix A
- (1)
- For p(k), the last increment Δk is positive;
- (2)
- We arrange the groups of sequences which have the same number of ‘plus’ signs in the following way one by one: the fewer ‘plus’ signs in the sequence, the lower their place in the order;
- (3)
- The order of sequences of signs of p previous increments within each group depends on the ‘minus’ signs shifting to the right, i.e., the more ‘minus’ signs shifted closer to the right, the higher the value of k;
- (1)
- For q(k), the last increment Δk is negative;
- (2)
- We arrange the groups of sequences which have the same number of signs ‘minus’ in the following way one by one: the fewer ‘minus’ signs in the sequence, the lower their place in the order;
- (3)
- The order of sequences of signs of p previous increments within each group depends on the ‘plus’ signs shifting to the right, i.e., the more ‘plus’ signs shifted closer to the right, the higher the value of k.
| Δk−6 Δk−5 Δk−4 Δk−3 Δk−2 Δk−1 Δk + + + + + + + p1 − + + + + + + p2 + − + + + + + p3 + + − + + + + p4 + + + − + + + p5 + + + + − + + p6 + + + + + − + p7 − − + + + + + p8 − + − + + + + p9 + − − + + + + p10 − + + − + + + p11 + − + − + + + p12 + + − − + + + p13 − + + + − + + p14 + − + + − + + p15 + + − + − + + p16 + + + − − + + p17 − + + + + − + p18 + − + + + − + p19 + + − + + − + p20 + + + − + − + p21 + + + + − − + p22 − − − + + + + p23 − − + − + + + p24 − + − − + + + p25 + − − − + + + p26 − − + + − + + p27 − + − + − + + p28 + − − + − + + p29 − + + − − + + p30 + − + − − + + p31 + + − − − + + p32 − − + + + − + p33 − + − + + − + p34 + − − + + − + p35 − + + − + − + p36 + − + − + − + p37 + + − − + − + p38 − + + + − − + p39 + − + + − − + p40 + + − + − − + p41 + + + − − − + p42 − − − − + + + p43 − − − + − + + p44 − − + − − + + p45 − + − − − + + p46 + − − − − + + p47 − − − + + − + p48 − − + − + − + p49 − + − − + − + p50 + − − − + − + p51 − − + + − − + p52 − + − + − − + p53 + − − + − − + p54 − + + − − − + p55 + − + − − − + p56 + + − − − − + p57 − − − − − + + p58 − − − − + − + p59 − − − + − − + p60 − − + − − − + p61 − + − − − − + p62 + − − − − − + p63 − − − − − − + p64 |
References
- Franses, P.H.; Paap, R. Modelling Asymmetric Persistence over the Business Cycle. Econometric Institute Research Papers (No. EI 9852). 1998. Available online: http://hdl.handle.net/1765/1525 (accessed on 9 February 2025).
- Silvapulle, P.; Granger, C.W.J. Large returns, conditional correlation and portfolio diversification: A value-at-risk approach. Quant. Financ. 2001, 1, 542–551. [Google Scholar] [CrossRef]
- Okimoto, T. New evidence of asymmetric dependence structures in international equity Markets. J. Financ. Quant. Anal. 2008, 43, 787–816. [Google Scholar] [CrossRef]
- Ang, A.; Chen, J. Asymmetric correlations of equity portfolios. J. Financ. Econ. 2002, 63, 443–494. [Google Scholar] [CrossRef]
- Hong, Y.; Tu, J.; Zhou, G. Asymmetries in stock returns: Statistical tests and economic evaluation. Rev. Financ. Stud. 2007, 20, 1547–1581. [Google Scholar] [CrossRef]
- Chollete, L.; Heinen, A.; Valdesogo, A. Modeling international financial returns with a multivariate regime switching copula. J. Financ. Econom. 2009, 7, 437–480. [Google Scholar] [CrossRef]
- Garcia, R.; Tsafack, G. Dependence structure and extreme comovements in international equity and bond markets. J. Bank. Financ. 2011, 35, 1954–1970. [Google Scholar] [CrossRef]
- Rydberg, T.H.; Shephard, N. A modelling framework for the prices and times of trades made on the New York stock exchange. In Nonlinear and Nonstationary Signal Processing; Fitzgerald, W.J., Smith, R.L., Walden, A.T., Young, P.C., Eds.; Cambridge University Press: London, UK, 2000; pp. 217–246. [Google Scholar]
- Tjøstheim, D.; Hufthammer, K.O. Local Gaussian correlation: A new measure of dependence. J. Econom. 2013, 172, 33–48. [Google Scholar] [CrossRef]
- Alvarez-Ramirez, J.; Rodriguez, E.; Echeverria, J.C. A DFA approach for assessing asymmetric correlations. Phys. A 2009, 388, 2263–2270. [Google Scholar] [CrossRef]
- Rossetto, V. The one-dimensional asymmetric persistent random walk. J. Stat. Mech. 2018, 2018, 043204. [Google Scholar] [CrossRef]
- Czechowski, Z.; Telesca, L. Construction of A Langevin model from time series with a periodical correlation function: Application to wind speed data. Phys. A 2013, 392, 5592–5603. [Google Scholar] [CrossRef]
- Czechowski, Z. Reconstruction of the modified discrete Langevin equation from persistent time series. Chaos 2016, 26, 053109. [Google Scholar] [CrossRef] [PubMed]
- Czechowski, Z. Discrete Langevin-type equation for p-order persistent time series and procedure of its reconstruction. Chaos 2021, 31, 063102. [Google Scholar] [CrossRef]
- Kubo, R. The Fluctuation-Dissipation Theorem. Rep. Prog. Phys. 1966, 29, 255–284. [Google Scholar] [CrossRef]
- Mainardi, F.; Mura, A.; Tampieri, F. Brownian motion and anomalous diffusion revisited via a fractional Langevin Equation. Mod. Probl. State Phys. 2009, 8, 3. Available online: http://arxiv.org/abs/1004.3505 (accessed on 20 April 2010).
- Cao, L.; Sun, R.; Ma, T.; Liu, C. On Asymmetric Correlations and Their Applications in Financial Markets. J. Risk Financ. Manag. 2023, 16, 187. [Google Scholar] [CrossRef]
- Kantelhardt, J.W.; Koscielny-Bunde, E.; Rego, H.H.A.; Havlin, S.; Bunde, A. Detecting long-range correlations with detrended fluctuation analysis. Phys. A 2001, 295, 441–454. [Google Scholar] [CrossRef]
- Kantelhardt, J.W.; Zschiegner, S.A.; Koscielny-Bunde, E.; Havlin, S.; Bunde, A.; Stanley, H.E. Multifractal detrended fluctuation analysis of nonstationary time series. Phys. A 2002, 316, 87–114. [Google Scholar] [CrossRef]
- Siegert, S.; Friedrich, R.; Peinke, J. Analysis of data sets of stochastic systems. Phys. Lett. A 1998, 243, 275–280. [Google Scholar] [CrossRef]
- Grasman, J.; van Herwaarden, O.A. Asymptotic Methods for the Fokker-Planck Equation and the Exit Problem in Applications; Springer: Berlin/Heidelberg, Germany, 1999. [Google Scholar]
- Oksendal, B. Stochastic Differential Equations: An Introduction with Applications; Springer: Berlin/Heidelberg, Germany, 1998. [Google Scholar]
- Mandelbrot, B.B.; Van Ness, J.W. Fractional Brownian Motions, Fractional Noises and Applications. SIAM Rev. 1968, 10, 422–437. [Google Scholar] [CrossRef]
- Sura, P.; Barsugli, J. A note on estimating drift and diffusion parameters from timeseries. J. Phys. Lett. A 2002, 305, 304–311. [Google Scholar] [CrossRef]
- Gottschal, J.; Peinke, J. On the definition and handling of different drift and diffusion estimates. New J. Phys. 2008, 10, 083034. [Google Scholar] [CrossRef]
- Anteneodo, C.; Riera, R. Arbitrary order corrections for finite-time drift and diffusion coefficients. Phys. Rev. E 2009, 80, 031103. [Google Scholar] [CrossRef] [PubMed]
- Friedrich, R.; Peinke, J.; Sahimi, M.; Reza Rahimi Tabar, M. Approaching complexity by stochastic methods: From biological systems to turbulence. Phys. Rep. 2011, 506, 87–162. [Google Scholar] [CrossRef]













Disclaimer/Publisher’s Note: The statements, opinions and data contained in all publications are solely those of the individual author(s) and contributor(s) and not of MDPI and/or the editor(s). MDPI and/or the editor(s) disclaim responsibility for any injury to people or property resulting from any ideas, methods, instructions or products referred to in the content. |
© 2025 by the author. Licensee MDPI, Basel, Switzerland. This article is an open access article distributed under the terms and conditions of the Creative Commons Attribution (CC BY) license (https://creativecommons.org/licenses/by/4.0/).
Share and Cite
Czechowski, Z. Asymmetric Finite-Range Persistence in Time Series Generated by the Modified Discrete Langevin Model. Symmetry 2025, 17, 287. https://doi.org/10.3390/sym17020287
Czechowski Z. Asymmetric Finite-Range Persistence in Time Series Generated by the Modified Discrete Langevin Model. Symmetry. 2025; 17(2):287. https://doi.org/10.3390/sym17020287
Chicago/Turabian StyleCzechowski, Zbigniew. 2025. "Asymmetric Finite-Range Persistence in Time Series Generated by the Modified Discrete Langevin Model" Symmetry 17, no. 2: 287. https://doi.org/10.3390/sym17020287
APA StyleCzechowski, Z. (2025). Asymmetric Finite-Range Persistence in Time Series Generated by the Modified Discrete Langevin Model. Symmetry, 17(2), 287. https://doi.org/10.3390/sym17020287

