Al2O3-Cu\Ethylene Glycol-Based Magnetohydrodynamic Non-Newtonian Maxwell Hybrid Nanofluid Flow with Suction Effects in a Porous Space: Energy Saving by Solar Radiation
Abstract
:1. Introduction
2. Mathematical Modeling
3. Solution Mythology
3.1. Similarity Variable Formulation
3.2. Quantities of Engineering
3.3. Solution Technique
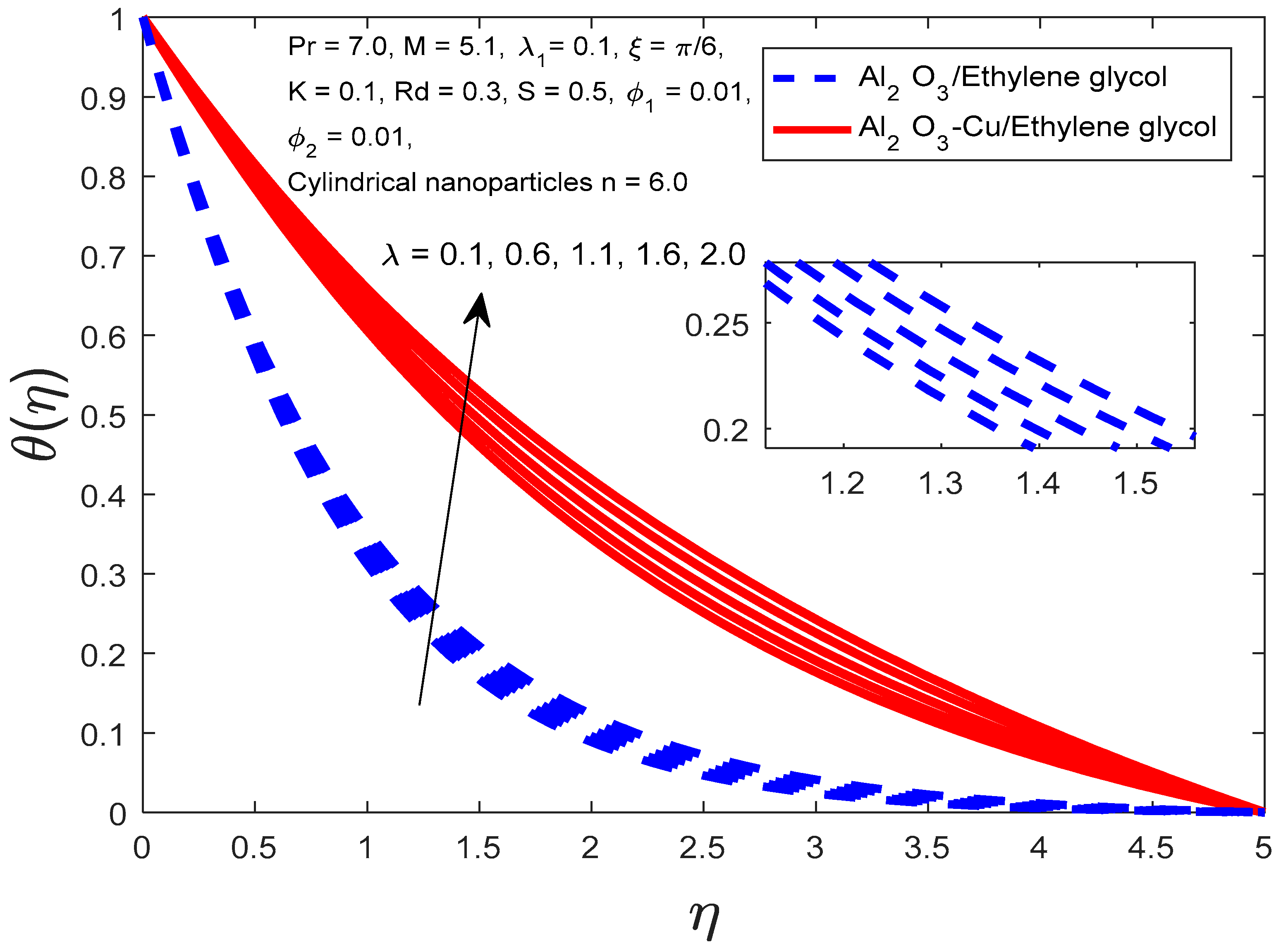
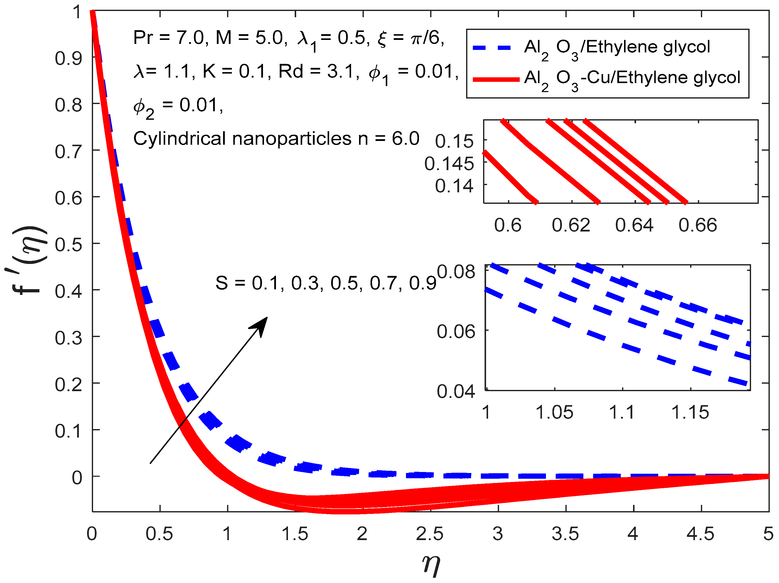
4. Results and Discussion
5. Conclusions
- It is concluded that more nanoparticles in a fluid can make it heat up faster, as they are typically better at conducting heat than the fluid itself. This means heat is transferred more quickly, raising the fluid’s temperature. However, more nanoparticles can also slow the fluid’s flow at angle ;
- The presence of a magnetic field results in the Lorentz force. The resistance this force creates slows the fluid down. The temperature of the fluid flow domain is increased by this resistance;
- The stretching rate constant and relaxation time are increasing as a result of a decrease in the density of the base fluid, which helps the fluid climb in speed;
- According to the definition of the porosity parameter, an increase in the porosity parameter results from an increase in kinematic viscosity and a decrease in porous spaces, which impede fluid flow and reduce speed. Additionally, when we compare the cases of nanofluid and hybrid nanofluid, the volume proportion of nanoparticles in nanofluid is lower than that in hybrid nanofluid, which results in stronger velocity curves for nanofluid;
- As the radiation parameter is enhanced, the temperature of the fluid flow domain rises. The purpose of the radiation parameter in the energy equation is to raise the temperature of the fluid, hence serving its purpose;
- Nussle number increases with increasing values of Prandtl number and decreases with increasing values of buoyancy parameter;
- Skin friction coefficient increases values of buoyancy parameter but reduces with rising values of Prandlt number;
- All solutions satisfy the given boundary conditions, which endorses the accuracy of the obtained results at angle ;
- For the validation of the current results, a comparison of the present solutions for the Nusselt number with already published results is given. From the comparison, it has been concluded that there is excellent agreement between the present and published solutions, which serves the purpose of ensuring the accuracy of the proposed model;
- This study is limited to incorporating the MHD Maxwell fluid model by using a hybrid nanofluid prepared by -\Ethylene glycol. In this study, solar recitation, suction, and porous space over inclined geometry are considered. Further, this study can be extended by adding the reduced gravity effects along with the Soret and Dufour effects. It can also be enhanced to include Fourier’s and Fick’s Laws in future work.
Author Contributions
Funding
Data Availability Statement
Acknowledgments
Conflicts of Interest
Nomenclature
| Dynamic viscosity of hybrid nanofluid | Maxwell fluid parameter | ||
| Dynamic viscosity of base fluid | Buoyancy parameter | ||
| Kinematic viscosity of hybrid nanofluid | Magnetic field parameter | ||
| Density of hybrid nanofluid | Porous medium parameter | ||
| Density of base fluid | Thermal diffusivity of hybrid nanofluid | ||
| Thermal conductivity of hybrid nanofluid | Thermal diffusivity of base fluid | ||
| Thermal conductivity of base fluid | Suction parameter | ||
| Specific heat of hybrid nanofluid | Similarity variable | ||
| Specific heat of base fluid | Reynolds number | ||
| Electrical conductivity of hybrid nanofluid | Volume fraction of solid nanoparticles Aluminum ( | ||
| Electrical conductivity Electrical conductivity | Volume fraction of solid nanoparticles Copper | ||
| Thermal expansion of hybrid nanofluid | Skin friction coefficient | ||
| Thermal expansion of base fluid | Nussle number | ||
| Temperature of the fluid | Stretching rate constant | ||
| Temperature of the surface of stretching sheet | Porosity constant | ||
| Temperature of free stream region | Prandtl number | ||
| Time relaxation constant | Magnetic field strength | ||
| Angle of inclination of the stretching sheet | Horizontal and normal coordinates | ||
| Gravity force | Stefan-Boltzmann constant | ||
| Velocity components in and directions(unit;m/s) | Ambient conditions | ||
| Solar radiation parameter | Wall conditions | ||
| Mean absorption coefficient |
References
- Choi, S.U.; Eastman, J.A. Enhancing Thermal Conductivity of Fluids with Nanoparticles; Argonne National Lab (ANL): Argonne, IL, USA, 1995; Volume 231, pp. 99–106.
- Masuda, H.; Ebata, A.; Teramae, K. Alteration of thermal conductivity and viscosity of liquid by dispersing ultra-fine particles. Dispersion of Al2O3, SiO2 and TiO2 ultra-fine particles. Netsu Bussei. 1993, 7, 227–233. [Google Scholar] [CrossRef]
- Buongiorno, J.; Hu, W. Nanofluid Coolants for Advanced Nuclear Power Plants. In Proceedings of the ICAPP, Seoul, Republic of Korea, 15–19 May 2005; Volume 5, pp. 15–19. [Google Scholar]
- Buongiorno, J. Convective Transport in Nanofluids. J. Heat Transf. 2006, 128, 240–245. [Google Scholar] [CrossRef]
- Sidik, N.A.C.; Adamu, I.M.; Jamil, M.M. Preparation methods and thermal performance of hybrid nanofluids. J. Adv. Res. Mater. Sci. 2019, 56, 1–10. [Google Scholar]
- Lee, S.; Choi, S.S.; Li, S.A.; Eastman, J.A. Measuring thermal conductivity of fluids containing oxide nanoparticles. J. Heat. Transf. 1999, 121, 280289. [Google Scholar] [CrossRef]
- Choi, S.U. Nanofluids: A new field of scientific research and innovative applications. Heat Transf. Eng. 2008, 29, 429–431. [Google Scholar] [CrossRef]
- Turcu, R.; Darabont, A.L.; Nan, A.; Aldea, N.; Macovei, D.; Bica, D.; Biro, L.P. New polypyrrole-multiwall carbon nanotubes hybrid materials. J. Optoelectron. Adv. Mater. 2006, 8, 643–647. [Google Scholar]
- Jha, N.; Ramaprabhu, S. Thermal conductivity studies of metal dispersed multiwalled carbon nanotubes in water and ethylene glycol based nanofluids. J. Appl. Phys. 2009, 106, 084317. [Google Scholar] [CrossRef]
- Lee, Y.K. The use of nanofluids in domestic water heat exchanger. J. Adv. Res. Appl. Mech. 2014, 3, 9–24. [Google Scholar]
- Eastman, J.A.; Choi SU, S.; Li, S.; Yu, W.; Thompson, L.J. Anomalously increased effective thermal conductivities of ethylene glycol-based nanofluids containing copper nanoparticles. Appl. Phys. Lett. 2001, 78, 718–720. [Google Scholar] [CrossRef]
- Hussein, A.M. Thermal performance and thermal properties of hybrid nanofluid laminar flow in a double pipe heat exchanger. Exp. Therm. Fluid Sci. 2017, 88, 37–45. [Google Scholar] [CrossRef]
- Momin, G.G. Experimental investigation of mixed convection with water-Al2O3& hybrid nanofluid in inclined tube for laminar flow. Int. J. Sci. Technol. Res. 2013, 2, 195–202. [Google Scholar]
- Suresh, S.; Venkitaraj, K.P.; Selvakumar, P.; Chandrasekar, M. Effect of Al2O3–Cu/water hybrid nanofluid in heat transfer. Exp. Therm. Fluid Sci. 2012, 38, 54–60. [Google Scholar] [CrossRef]
- Bhattad, A.; Sarkar, J.; Ghosh, P. Discrete phase numerical model and experimental study of hybrid nanofluid heat transfer and pressure drop in plate heat exchanger. Int. Commun. Heat Mass Transf. 2018, 91, 262–273. [Google Scholar] [CrossRef]
- Aziz, A.; Jamshed, W.; Ali, Y.; Shams, M. Heat transfer and entropy analysis of Maxwell hybrid nanofluid including effects of inclined magnetic field, Joule heating and thermal radiation. Discret. Contin. Dyn. Syst.-S. 2020, 13, 2667. [Google Scholar] [CrossRef]
- Ahmad, F.; Abdal, S.; Ayed, H.; Hussain, S.; Salim, S.; Almatroud, A.O. The improved thermal efficiency of Maxwell hybrid nanofluid comprising of graphene oxide plus silver/kerosene oil over stretching sheet. Case Stud. Therm. Eng. 2021, 27, 101257. [Google Scholar] [CrossRef]
- Arif, M.; Kumam, P.; Khan, D.; Watthayu, W. Thermal performance of GO-MoS2/engine oil as Maxwell hybrid nanofluid flow with heat transfer in oscillating vertical cylinder. Case Stud. Therm. Eng. 2021, 27, 101290. [Google Scholar] [CrossRef]
- Chu, Y.M.; Ali, R.; Asjad, M.I.; Ahmadian, A.; Senu, N. Heat transfer flow of Maxwell hybrid nanofluids due to pressure gradient into rectangular region. Sci. Rep. 2020, 10, 16643. [Google Scholar] [CrossRef]
- Ramzan, M.; Mehmood, T.; Alotaibi, H.; Ghazwani HA, S.; Muhammad, T. Comparative study of hybrid and nanofluid flows amidst two rotating disks with thermal stratification: Statistical and numerical approaches. Case Stud. Therm. Eng. 2021, 28, 101596. [Google Scholar] [CrossRef]
- Khan, U.; Shafiq, A.; Zaib, A.; Baleanu, D. Hybrid nanofluid on mixed convective radiative flow from an irregular variably thick moving surface with convex and concave effects. Case Stud. Therm. Eng. 2020, 21, 100660. [Google Scholar] [CrossRef]
- Ghadikolaei, S.S.; Hosseinzadeh, K.; Ganji, D.D.; Jafari, B. Nonlinear thermal radiation effect on magneto Casson nanofluid flow with Joule heating effect over an inclined porous stretching sheet. Case Stud. Therm. Eng. 2018, 12, 176–187. [Google Scholar] [CrossRef]
- Abbas, N.; Saleem, S.; Nadeem, S.; Alderremy, A.A.; Khan, A.U. On stagnation point flow of a micro polar nanofluid past a circular cylinder with velocity and thermal slip. Results Phys. 2018, 9, 1224–1232. [Google Scholar] [CrossRef]
- Hsiao, K.L. Stagnation electrical MHD nanofluid mixed convection with slip boundary on a stretching sheet. Appl. Therm. Eng. 2016, 98, 850–861. [Google Scholar] [CrossRef]
- Chen, S.B.; Shahmir, N.; Ramzan, M.; Sun, Y.L.; Aly, A.A.; Malik, M.Y. Thermophoretic particle deposition in the flow of dual stratified Casson fluid with magnetic dipole and generalized Fourier’s and Fick’s laws. Case Stud. Therm. Eng. 2021, 26, 101186. [Google Scholar] [CrossRef]
- Zainal, N.A.; Nazar, R.; Naganthran, K.; Pop, I. Unsteady flow of a Maxwell hybrid nanofluid past a stretching/shrinking surface with thermal radiation effect. Appl. Math. Mech. 2021, 42, 1511–1524. [Google Scholar] [CrossRef]
- Reddy, P.S.; Sreedevi, P. Effect of Cattaneo–Christov heat flux on heat and mass transfer characteristics of Maxwell hybrid nanofluid flow over stretching/shrinking sheet. Phys. Scr. 2021, 96, 125237. [Google Scholar] [CrossRef]
- Khan, U.; Zaib, A.; Waini, I.; Ishak, A.; Sherif ES, M.; Xia, W.F.; Muhammad, N. Impact of Smoluchowski temperature and Maxwell velocity slip conditions on axisymmetric rotated flow of hybrid nanofluid past a porous moving rotating disk. Nanomaterials. 2022, 12, 276. [Google Scholar] [CrossRef]
- Zainal, N.A.; Nazar, R.; Naganthran, K.; Pop, I. The impact of thermal radiation on Maxwell hybrid nanofluids in the stagnation region. Nanomaterials. 2022, 12, 1109. [Google Scholar] [CrossRef]
- Arif, U.; Nawaz, M.; Salmi, A. Numerical study of simultaneous transport of heat and mass transfer in Maxwell hybrid nanofluid in the presence of Soret and Dufour effects. Phys. Scr. 2022, 97, 025207. [Google Scholar] [CrossRef]
- Devi, S.A.; Devi, S.S.U. Numerical investigation of hydromagnetic hybrid Cu–Al2O3/water nanofluid flow over a permeable stretching sheet with suction. Int. J. Nonlinear Sci. Numer. Simul. 2016, 17, 249–257. [Google Scholar] [CrossRef]
- Rauf, A.; Hussain, F.; Mushtaq, A.; Shah, N.A.; Ali, M.R. MHD mixed convection flow for Maxwell Hybrid nanofluid with Soret, Dufour and Morphology effects. Arab. J. Chem. 2023, 16, 104965. [Google Scholar] [CrossRef]
- Cortell, R.A. Nnumerical tackling on Sakiadis flow with thermal radiation. Chin. Phys. Lett. 2008, 25, 1340. [Google Scholar] [CrossRef]
- Khan, W.A.; Pop, I. Boundary-layer flow of a nanofluid past a stretching sheet. Int. J. Heat Mass Transf. 2010, 53, 2477–2483. [Google Scholar] [CrossRef]
- Ramesh, G.K.; Madhukesh, J.K.; Shah, N.A.; Yook, S.J. Flow of hybrid CNTs past a rotating sphere subjected to thermal radiation and thermophoretic particle deposition. Alex. Eng. J. 2023, 64, 969–979. [Google Scholar] [CrossRef]
- Zhang, K.; Shah, N.A.; Alshehri, M.; Alkarni, S.; Wakif, A.; Eldin, S.M. Water thermal enhancement in a porous medium via a suspension of hybrid nanoparticles: MHD mixed convective Falkner’s-Skan flow case study. Case Stud. Therm. Eng. 2023, 47, 103062. [Google Scholar] [CrossRef]
- Ali, L.; Kumar, P.; Iqbal, Z.; Alhazmi, S.E.; Areekara, S.; Alqarni, M.M.; Apsari, R. The optimization of heat transfer in thermally convective micropolar-based nanofluid flow by the influence of nanoparticle’s diameter and nanolayer via stretching sheet: Sensitivity analysis approach. J. Non-Equilib. Thermodyn. 2023, 48, 313–330. [Google Scholar] [CrossRef]
- Kumar, P.; Poonia, H.; Ali, L.; Areekara, S. The numerical simulation of nanoparticle size and thermal radiation with the magnetic field effect based on tangent hyperbolic nanofluid flow. Case Stud. Therm. Eng. 2022, 37, 102247. [Google Scholar] [CrossRef]
- Ashraf, M.; Khan, A.; Abbas, A.; Hussanan, A.; Ghachem, K.; Maatki, C.; Kolsi, L. Finite Difference Method to Evaluate the Characteristics of Optically Dense Gray Nanofluid Heat Transfer around the Surface of a Sphere and in the Plume Region. Mathematics 2023, 11, 908. [Google Scholar] [CrossRef]
- Abbas, A.; Wakif, A.; Shafique, M.; Ahmad, H.; Ain, Q.U.; Muhammad, T. Thermal and mass aspects of Maxwell fluid flows over a moving inclined surface via generalized Fourier’s and Fick’s laws. Waves Random Complex Media. 2023, 1–27. [Google Scholar] [CrossRef]
- Abbas, A.; Noreen, A.; Ali, M.A.; Ashraf, M.; Alzahrani, E.; Marzouki, R.; Goodarzi, M. Solar radiation over a roof in the presence of temperature-dependent thermal conductivity of a Casson flow for energy saving in buildings. Sustain. Energy Technol. Assess. 2022, 53, 102606. [Google Scholar] [CrossRef]
- Abbas, A.; Ijaz, I.; Ashraf, M.; Ahmad, H. Combined effects of variable density and thermal radiation on MHD Sakiadis flow. Case Stud. Therm. Eng. 2021, 28, 101640. [Google Scholar] [CrossRef]
- Abbas, A.; Ashraf, M.; Chamkha, A.J. Combined effects of thermal radiation and thermophoretic motion on mixed convection boundary layer flow. Alex. Eng. J. 2021, 60, 3243–3252. [Google Scholar] [CrossRef]
- Yaseen, M.; Rawat, S.K.; Shah, N.A.; Kumar, M.; Eldin, S.M. Ternary hybrid nanofluid flow containing gyrotactic microorganisms over three different geometries with Cattaneo–Christov model. Mathematics 2023, 11, 1237. [Google Scholar] [CrossRef]
- Kavya, S.; Nagendramma, V.; Ahammad, N.A.; Ahmad, S.; Raju CS, K.; Shah, N.A. Magnetic-hybrid nanoparticles with stretching/shrinking cylinder in a suspension of MoS4 and copper nanoparticles. Int. Commun. Heat Mass Transf. 2022, 136, 106150. [Google Scholar] [CrossRef]
- Wakif, A.; Shah, N.A. Hydrothermal and mass impacts of azimuthal and transverse components of Lorentz forces on reacting Von Kármán nanofluid flows considering zero mass flux and convective heating conditions. Waves Random Complex Media. 2022, 1–22. [Google Scholar] [CrossRef]
- Ragupathi, P.; Ahammad, N.A.; Wakif, A.; Shah, N.A.; Jeon, Y. Exploration of multiple transfer phenomena within viscous fluid flows over a curved stretching sheet in the co-existence of gyrotactic micro-organisms and tiny particles. Mathematics 2022, 10, 4133. [Google Scholar] [CrossRef]
- Abbas, A.; Khandelwal, R.; Ahmad, H.; Ilyas, A.; Ali, L.; Ghachem, K.; Kolsi, L. Magnetohydrodynamic Bioconvective Flow of Williamson Nanofluid over a Moving Inclined Plate Embedded in a Porous Medium. Mathematics 2023, 11, 1043. [Google Scholar] [CrossRef]
- Ali, L.; Liu, X.; Ali, B.; Mujeed, S.; Abdal, S. Finite element simulation of multi-slip effects on unsteady MHD bioconvective micropolar nanofluid flow over a sheet with solutal and thermal convective boundary conditions. Coatings 2019, 9, 842. [Google Scholar] [CrossRef]
- Eswaramoorthi, S.; Loganathan, K.; Faisal, M.; Botmart, T.; Shah, N.A. Analytical and numerical investigation of Darcy-Forchheimer flow of a nonlinear-radiative non-Newtonian fluid over a Riga plate with entropy optimization. Ain. Shams. Eng. J. 2023, 14, 101887. [Google Scholar] [CrossRef]
- Abbas, A.; Ashraf, M.; Sarris, I.E.; Ghachem, K.; Labidi, T.; Kolsi, L.; Ahmad, H. Numerical Simulation of the Effects of Reduced Gravity, Radiation and Magnetic Field on Heat Transfer Past a Solid Sphere Using Finite Difference Method. Symmetry 2023, 15, 772. [Google Scholar] [CrossRef]
- Abbas, A.; Ashraf, M.; Ahmad, H.; Ghachem, K.; Ullah, Z.; Hussanan, A.; Kolsi, L. Computational analysis of Darcy-Forchheimer relation, reduced gravity, and external applied magnetic field influence on radiative fluid flow and heat transfer past a sphere: Finite difference method. Heliyon 2023, 9, e15696. [Google Scholar] [CrossRef]
- Abbas, A.; Sarris, I.E.; Ashraf, M.; Ghachem, K.; Hnaien, N.; Alshammari, B.M. The Effects of Reduced Gravity and Radiative Heat Transfer on the Magnetohydrodynamic Flow Past a Non-Rotating Stationary Sphere Surrounded by a Porous Medium. Symmetry 2023, 15, 806. [Google Scholar] [CrossRef]
- Quintard, M.; Kaviany, M.; Whitaker, S. Two-medium treatment of heat transfer in porous media: Numerical results for effective properties. Adv. Water Resour. 1997, 20, 77–94. [Google Scholar] [CrossRef]
- Badruddin, I.A.; Khan, T.Y. Heat Transfer in an L Shaped Porous Medium Using FEM. In IOP Conference Series: Materials Science and Engineering; IOP Publishing: Bristol, UK, 2017; Volume 225, p. 012012. [Google Scholar]
- Ghalambaz, M.; Sabour, M.; Pop, I.; Wen, D. Free convection heat transfer of MgO-MWCNTs/EG hybrid nanofluid in a porous complex shaped cavity with MHD and thermal radiation effects. Int. J. Numer. Methods Heat Fluid Flow. 2019, 29, 4349–4376. [Google Scholar] [CrossRef]
- Krishna, M.V.; Ahamad, N.A.; Chamkha, A.J. Hall and ion slip effects on unsteady MHD free convective rotating flow through a saturated porous medium over an exponential accelerated plate. Alex. Eng. J. 2020, 59, 565–577. [Google Scholar] [CrossRef]
- Palencia JL, D.; ur Rahman, S.; Redondo, A.N. Regularity and reduction to a Hamilton-Jacobi equation for a MHD Eyring-Powell fluid. Alex. Eng. J. 2022, 61, 12283–12291. [Google Scholar] [CrossRef]
- Bhatti, M.M.; Bég, O.A.; Ellahi, R.; Doranehgard, M.H.; Rabiei, F. Electro-magnetohydrodynamics hybrid nanofluid flow with gold and magnesium oxide nanoparticles through vertical parallel plates. J. Magn. Magn. Mater. 2022, 564, 170136. [Google Scholar] [CrossRef]
- Menni, Y.; Chamkha, A.J.; Massarotti, N.; Ameur, H.; Kaid, N.; Bensafi, M. Hydrodynamic and thermal analysis of water, ethylene glycol and water-ethylene glycol as base fluids dispersed by aluminum oxide nano-sized solid particles. Int. J. Numer. Methods Heat Fluid Flow. 2020, 30, 4349–4386. [Google Scholar] [CrossRef]













| Properties | |||||
|---|---|---|---|---|---|
| Base fluid Ethylene glycol(EG) | 1114.0 | 2415.5 | 0.2520 | 5.5 × | 6.50 |
| 3970.0 | 765.0 | 40.0 | 59.6 × | 0.850 | |
| 8933 | 385.0 | 400.0 | 35.83 × | 1.670 |
| Khan and Pop [34] | Present | |
|---|---|---|
| 2.0 | 0.9113 | 0.9112 |
| 7.0 | 1.8954 | 1.8951 |
| 20.0 | 3.3539 | 3.3537 |
| Parameter | /Ethylene Glycol | /Ethylene Glycol | ||
|---|---|---|---|---|
| 1.0 | −2.440885780048708 | 0.937003251099421 | −2.496158628810037 | 0.260514652198284 |
| 4.0 | −2.433260774141108 | 3.373926809863024 | −2.495086341308096 | 0.494367779665717 |
| 7.0 | −2.429131359963453 | 5.653438109180084 | −2.493875082111052 | 0.776535023741788 |
| 10.0 | −2.426497007689914 | 7.878409464833051 | −2.492684796970896 | 1.073507399135452 |
| 13.0 | −2.424679778344669 | 10.077134176793365 | −2.491578943689763 | 1.369986830558261 |
| Parameter | /Ethylene Glycol | /Ethylene Glycol | ||
|---|---|---|---|---|
| 0.1 | −2.429131359963453 | 5.653438109180084 | −2.493875082111052 | 0.776535023741788 |
| 0.3 | −2.458536705009142 | 5.652062634745575 | −2.548458322173527 | 0.770623015979192 |
| 0.5 | −2.487980959091588 | 5.650498254741243 | −2.603279067543225 | 0.764568776805527 |
| 0.7 | −2.517426119372881 | 5.649053432490057 | −2.658348818265193 | 0.758363732984885 |
| 0.9 | −2.546893601939053 | 5.647544653830980 | −2.713675424578194 | 0.751998460216156 |
Disclaimer/Publisher’s Note: The statements, opinions and data contained in all publications are solely those of the individual author(s) and contributor(s) and not of MDPI and/or the editor(s). MDPI and/or the editor(s) disclaim responsibility for any injury to people or property resulting from any ideas, methods, instructions or products referred to in the content. |
© 2023 by the authors. Licensee MDPI, Basel, Switzerland. This article is an open access article distributed under the terms and conditions of the Creative Commons Attribution (CC BY) license (https://creativecommons.org/licenses/by/4.0/).
Share and Cite
Jeelani, M.B.; Abbas, A. Al2O3-Cu\Ethylene Glycol-Based Magnetohydrodynamic Non-Newtonian Maxwell Hybrid Nanofluid Flow with Suction Effects in a Porous Space: Energy Saving by Solar Radiation. Symmetry 2023, 15, 1794. https://doi.org/10.3390/sym15091794
Jeelani MB, Abbas A. Al2O3-Cu\Ethylene Glycol-Based Magnetohydrodynamic Non-Newtonian Maxwell Hybrid Nanofluid Flow with Suction Effects in a Porous Space: Energy Saving by Solar Radiation. Symmetry. 2023; 15(9):1794. https://doi.org/10.3390/sym15091794
Chicago/Turabian StyleJeelani, Mdi Begum, and Amir Abbas. 2023. "Al2O3-Cu\Ethylene Glycol-Based Magnetohydrodynamic Non-Newtonian Maxwell Hybrid Nanofluid Flow with Suction Effects in a Porous Space: Energy Saving by Solar Radiation" Symmetry 15, no. 9: 1794. https://doi.org/10.3390/sym15091794
APA StyleJeelani, M. B., & Abbas, A. (2023). Al2O3-Cu\Ethylene Glycol-Based Magnetohydrodynamic Non-Newtonian Maxwell Hybrid Nanofluid Flow with Suction Effects in a Porous Space: Energy Saving by Solar Radiation. Symmetry, 15(9), 1794. https://doi.org/10.3390/sym15091794

