Abstract
With the continuous improvement in human awareness of environmental protection, energy savings, and emission reduction, as well as the vigorous development of precision machinery and process technology, energy-saving and efficient diaphragm pumps have become a hot research topic at home and abroad. The diaphragm pump is a membrane-isolated reciprocating transport pump that isolates the transport medium from the piston through the diaphragm and can be used to transport high-viscosity, volatile, and corrosive media, and the symmetrical structure can make it easier for the diaphragm pump to achieve stable operation, reduce vibration and noise, and extend the life of the pump. This paper summarizes the development and research status of diaphragm pumps in recent years, including diaphragm pump structure, working principle, category, cavitation research, wear research, fault diagnosis research, vibration and noise research, fluid–solid-interaction research, and optimum research on one-way valves and diaphragms. It also puts forward some reasonable and novel viewpoints, such as applying the theory of entropy production to explore the motion mechanism of diaphragm pumps, optimizing the performance of diaphragm pumps, using new technologies to study new materials for diaphragm pumps, and designing diaphragm protection devices. This review provides valuable references and suggestions for the future development and research of diaphragm pumps.
    1. Introduction
1.1. Background
The diaphragm pump is the type of reciprocating piston pump in which the conveying medium is completely isolated from the piston. It can convey high-concentration solid particles, acid, alkali, salt, and other media, which has the advantage of no leakage [,,,,,]. Diaphragm pumps are widely used in petroleum, the chemical industry, mining, pharmaceutical biology, aerospace, and other industrial fields, and the research prospects are very broad [,,,,,]. However, the diaphragm and the one-way valve, as the most critical components for internal transmission of the diaphragm pump, are most susceptible to erosion and damage by the transported materials. Diaphragm pumps are usually designed to be highly symmetrical. This symmetry ensures that the diaphragm moves symmetrically during reciprocation, thereby balancing pressure and flow characteristics. Symmetrical diaphragm movement minimizes vibration and noise during operation and also reduces wear and tear on components, which means less maintenance and replacement and longer service life, resulting in cost savings over the life of the pump. With the deepening of the contradiction between energy supply and demand, the energy problem has become more and more serious. Therefore, it is imperative to research the diaphragm pump in depth [].
1.2. Scope of this Review
As shown in Figure 1, in the past 14 years, research on diaphragm pumps has become a hot spot in the field of fluid machinery research. Not only have the shape design, production materials, and production process technology of diaphragm pumps become more and more mature, but diaphragm pumps are also more widely used in fields such as fluid transportation, chemical processing, and drug delivery. In some energy fields, new systems such as ORC low-temperature waste heat power generation coupled with diaphragm pumps are also developing rapidly. Moreover, with the advancement of modern experimental and simulation technology, scholars can more accurately explore the operating status and behavior of diaphragm pumps, accelerating the development and research of diaphragm pumps. However, most of the research is focused on the macroscopic hydraulic characteristics or component optimization of the diaphragm pump, and there is no systematic summary of the research on the diaphragm pump [,,,,,,,,]. The purpose of this review is to summarize the research of diaphragm pumps in the past ten years, to look forward to the research of diaphragm pumps in the future and to facilitate relevant researchers to directly understand the research status of diaphragm pumps.
      
    
    Figure 1.
      Number of diaphragm pump works obtained from “Web of Science” (accessed on Wednesday, 12 July 2023 at www.webofscience.com).
  
Figure 2 presents the outline of this review. First, it covers the origin and applications of diaphragm pumps. Second, it categorizes and explains the working principles of diaphragm pumps. Additionally, it examines the advancements of diaphragm pumps in six research areas: cavitation, wear, fault diagnosis, vibration and noise, fluid–solid interaction, and optimization [,,,,,,,,,,,]. Finally, this paper summarizes the present state and future challenges of diaphragm pumps and highlights their bright prospects [,,,,,]. The results show that the diaphragm pump is an indispensable mechanical device, that the performance of the diaphragm pump is continuously improving, and that the manufacturing cost is continuously reducing. Therefore, diaphragm pumps have broad development prospects in the future.
      
    
    Figure 2.
      The outline of this review.
  
2. Structure and Classification of Diaphragm Pump
2.1. Structure and Working Principle of Diaphragm Pump
The diaphragm pump is mainly composed of two parts: the transmission end and the hydraulic end. The transmission end includes the crankshaft, the connecting rod, and other components, which can transfer the energy of the prime mover to the hydraulic end. The hydraulic end includes pump cylinders, pistons, suction valves, discharge valves, etc., which can convert mechanical energy into kinetic energy of the conveying medium. The diaphragm must have good flexibility and good corrosion resistance and is usually made of materials such as polytetrafluoroethylene or rubber [,,,].
The volume of the hydraulic end can be changed by reciprocating pushing the diaphragm through the transmission end, and the diaphragm pump can realize the pressurization and delivery of the conveying medium. When the diaphragm is driven by the transmission end to generate negative pressure in the pump cylinder, the conveying medium will be sucked into the pump cylinder. When the movement of the diaphragm causes positive pressure in the pump cylinder, the conveying medium will be discharged from the pump cylinder. Since the diaphragm separates the conveying medium and the working liquid, the conveying medium only contacts the pump cylinder, suction valve, discharge valve, and one side of the diaphragm, which cannot get to the piston. This makes the piston and other parts completely work in the oil medium, which not only effectively isolates the leakage of the diaphragm pumps, but also reduces the wear of the transmission end [,,,].
2.2. Classification of Diaphragm Pump
There are many classification methods of diaphragm pumps, which are mainly divided into three types: mechanical transmission, hydraulic transmission, and pneumatic transmission, according to the power action mode [,] The mechanical diaphragm pump is a pump that directly drives the elastic deformation of the diaphragm by the reciprocating motion of the parts. The hydraulic diaphragm pump is a pump that uses the pressure of a liquid medium (such as oil) as the power source. The pneumatic diaphragm pump uses compressed air as the power source.
According to different structural forms, diaphragm pumps can also be divided into single-diaphragm pumps and double-diaphragm pumps. Single-diaphragm pumps and double-diaphragm pumps are common diaphragm pumps used for liquid transportation. Their main differences lie in the number and construction of diaphragms, as well as their performance and use in different applications. The single-diaphragm pump has only one diaphragm, which is used to transmit non-corrosive liquids, such as freshwater, mineral water, cleaning solution, etc. The double-diaphragm pump has two diaphragms, which can ensure that the conveying liquid will not pollute the working medium, and has better safety performance; it is mainly used to transport corrosive liquids and high-temperature liquids, etc. [,].
According to the boost-pressure ratio of the diaphragm pump (ratio of outlet pressure to inlet pressure), diaphragm pumps can be defined as low-boost-pressure diaphragm pumps, medium-boost-pressure diaphragm pumps, and high-boost-pressure diaphragm pumps. When the boost-pressure ratio of the diaphragm pump is less than 2, it is a low-boost-pressure diaphragm pump. When the boost pressure ratio of the diaphragm pump is 2 to 6, it is defined as a medium-boost-pressure diaphragm pump. Finally, if the boost pressure ratio of a diaphragm pump is greater than 6, it is defined as a high-boost-pressure diaphragm pump.
3. Research Status of Diaphragm Pumps
The diaphragm pump, as a kind of pump with no leakage and good corrosion resistance, is widely used in many industrial fields, which makes diaphragm pumps a research hotspot in the field of fluid machinery in recent years. Over the past few decades, many scholars in the world have focused on the six fields of diaphragm pump research—cavitation, wear, fault diagnosis, vibration and noise, fluid–solid interaction, and optimization of diaphragms and check valves. Therefore, summarizing the research status of diaphragm pumps in these six fields in the past few decades will greatly improve the existing diaphragm pump technology.
3.1. Cavitation Research
Cavitation is a common phenomenon in the working process of diaphragm pumps. When the absolute pressure of the liquid transported by the diaphragm pump drops to the vaporization pressure, the liquid will vaporize to form cavitation, and the gas dissolved in the liquid will also precipitate to form cavitation. These cavities will burst within nanoseconds, generating many shock waves and forming high-speed micro jets, which will impact the solid boundary around the diaphragm pump. When the impact strength generated by the shock wave and the high-speed micro-jet is greater than the mechanical strength limit of the diaphragm pump material, small pits of several microns will be formed on the solid boundary, and the small pits will continue to accumulate, eventually forming a sponge-like plastic deformation and falling off. Therefore, for diaphragm pump researchers, it is of great significance to study the influence of cavitation on diaphragm pumps and accurately predict cavitation in diaphragm pumps to improve the hydraulic performance and reliability of diaphragm pumps [].
Chai et al. [] conducted an in-depth study on the cavitation problem, which occurs easily in petrochemical diaphragm pumps. Their research showed that the main cause of diaphragm pump cavitation is that the temperature of the conveying medium is too high and contains solid particles, which leads to the reduction of the diameter and NPSH of the diaphragm pump. To address this issue, they adopted many methods to improve the structure. By comparing the cavitation test of the new and old diaphragm pumps, the researchers found that these improvements greatly improved the cavitation performance of the diaphragm pump and provided the best matching working conditions for the cavitation performance. This provides an important reference and guidance for the cavitation research of petrochemical diaphragm pumps.
Li et al. [,] focused on solving the NPSHr problem of the organic liquid R245fa in the organic Rankine cycle (ORC) system by considering the thermodynamic effect of cavitation. They first deduced and solved the suction valve’s one-dimensional and two-dimensional kinematic models. The structure of the suction valve and the simplified mechanical model are shown in Figure 3. However, the validation results showed that neither model can accurately predict the cavitation behavior of the valve, because the minimum pressure estimation in this mechanical model is completely dependent on the flow coefficient, which will lead to inaccurate minimum pressure values. Therefore, they used the k-ω turbulence model, the ZGB cavitation model, the valve one-dimensional motion model, and dynamic mesh technology to research flow cavitation on the suction stroke of the diaphragm pump in the ORC system in the subsequent research. The results are shown in Figure 4. The results showed that the cavitation phenomenon starts from the edge of the valve seat and, then, appears on the valve surface. Then, the pressure, opening, and velocity of the valve oscillate violently, due to the collapse of the bubble. Next, expansion cavitation and flow-induced cavitation occur at different crank rotation angles, in sequence. In the studied case, the vortex flow was generated at the valve seat and propagated down the valve surface, and the entropy generation rate of the volume integral had a correlation with the cavitation state.
      
    
    Figure 3.
      (a) Suction valve structure and (b) simplified mechanics model [].
  
      
    
    Figure 4.
      The suction stroke contours of the diaphragm pump in the ORC system of vapor volume fraction mixture, static pressure, velocity, and temperature [].
  
Landelle et al. [] investigated the energy consumption, volumetric efficiency, and NPSH of the diaphragm pump applied to an organic Rankine cycle through different experimental equipment. The test bench of diaphragm pump is shown in Figure 5, and the diaphragm pump discharge process is shown in Figure 6. The study found that variable-speed drives and electric motors have high energy losses, while diaphragm pumps exhibit good volumetric efficiency at high loads. When the NPSH increases, the thermal efficiency of the ORC decreases, especially when the heat source temperature is low, and the maximum efficiency has decreased. The experimental results showed that the cavitation margin of the ORC system’s diaphragm pump meets the manufacturing requirements. Meanwhile, it was also demonstrated that an accelerometer can monitor the cavitation margin.
      
    
    Figure 5.
      The test bench of diaphragm pump [].
  
      
    
    Figure 6.
      Diaphragm pump discharge process [].
  
Cavitation problems will not only cause the performance of the diaphragm pump to decrease, but may even damage the diaphragm pump equipment. Cavitation of diaphragm pumps usually occurs in places with large pressure drops, so the main areas where cavitation occurs in diaphragm pumps are concentrated on the suction side of the diaphragm pump, the high-speed flow area inside the diaphragm pump, and near the valve or nozzle. Factors such as the high temperature of the conveying medium and the presence of solid particles will also increase the possibility of cavitation in the operating state of the diaphragm pump. To further prevent diaphragm pump cavitation, it is not only necessary to use existing experimental equipment to measure the performance, efficiency, and NPSH value of the diaphragm pump, but also use the experimental results to verify the model and improve the design of the diaphragm pump. Computational fluid dynamics and entropy production analysis are also needed to predict the flow, entropy production, and pressure distribution of cavitation phenomena inside a diaphragm pump. The combination of experiments and simulations will provide important reference value for observing diaphragm pump cavitation phenomena, improving diaphragm pump design, and mitigating diaphragm pump cavitation problems.
3.2. Wear Research
Wear is one of the major problems faced by systems, including power generating sets, steam systems, jet turbines, chemical processing equipment, and aircraft engines. The causes of diaphragm pump wear are more complicated, and there are three main factors: mechanical structure, liquid-phase parameters, and solid-phase parameters, which are mainly related to the mechanical structure of the flow-passing parts of the diaphragm pump. To solve the wear problem of diaphragm pumps, scholars at home and abroad have spent a lot of time on experiments and numerical simulations.
In the research of bilge reciprocating pumps, Xia et al. [,,] conducted kinematics simulation and vibration analysis of the crank-link mechanism, using the rigid and flexible multi-body system dynamics theory. They also analyzed the frequency and magnitude of the main excitation force. Then, the contact-separation mechanical model of the kinematic pair at the crank connecting rod of the bilge reciprocating pump was established, the mechanism of the influence of the kinematic pair wear on the vibration characteristics was explored, and the different kinematic pairs were analyzed. Finally, they established the kinematics and vibration characteristics model of the bilge reciprocating pump transmission device and studied the vibration of the crankshaft and kinematic pair when the bilge reciprocating pump machine was in normal operation properties and had been verified experimentally. The research results showed that for components with high motion intensity and large deformation, such as crank linkage, flexible treatment is more in line with the actual working conditions. By performing force source calculations and analyses, it becomes possible to understand the causes of vibration and failure mechanisms. Additionally, the wear gap significantly impacts the kinematics and vibration characteristics of the bilge reciprocating pump. These particular characteristics can be utilized to identify fault signatures related to crankshaft and kinematic pair wear. Overall, the new ideas and methods proposed by Xia et al. provide a useful reference for the study of diaphragm pump wear.
The two-state contact force model was adopted by Xiao et al. [] to establish the wear failure model of the diaphragm pump crank-slider mechanism, and the Runge–Kutta method was adopted for numerical simulation analysis. The results showed that the slider is not sensitive to the amount of wear and working pressure, and the amount of wear has a great influence on the contact force of the kinematic pair in the initial stage of motion.
On the basis of considering the linear elastic deformation and damping of the contact surface of the kinematic pair, Zhou et al. [] also adopted the two-state model to establish the wear dynamics model of the diaphragm pump crank-slider mechanism. The results showed that the kinematic pair will produce severe impact and collision in the wear state, and the separation and collision of the auxiliary components are very obvious, which makes the reaction force of the kinematic pair change drastically. Meanwhile, the acceleration and displacement of the slider increase, resulting in strong vibration of the mechanism.
Shi et al. [] applied chaos theory and fractal technology to conduct a more in-depth study on the nonlinear variation of wear faults in diaphragm pump systems. By analyzing the vibration signals from different fault types, corresponding Poincare cross-section diagrams were constructed, and the maximum Lyapunov exponents and correlation dimensions were calculated for various wear faults. The study found that when there is no wear fault, the system presents a quasi-periodic state. However, various wear-fault signals of the diaphragm pump show chaotic behavior, and the maximum Lyapunov exponent and correlation dimension of different fault states are quite different. Next, Shi et al. [] discussed the wear characteristics of the reciprocating piston diaphragm pump from the perspective of vibration signal analysis. Moreover, the wavelet fractal technique was used to study the nonlinear and non-stationary working signal when the reciprocating piston diaphragm pump wears. Figure 7 shows the correlation dimensions of different wavelet packets under different wearing clearances of the diaphragm pump. The results showed that the frequency band of wear fault is in the high-frequency band, and the correlation dimension of the high-frequency band can be used as the characteristic parameter of condition monitoring. Wavelet fractal technology can analyze vibration signals of different scales, and the correlation dimension of each frequency band can sensitively capture subtle non-stationary vibration signals.
      
    
    Figure 7.
      Correlation dimension of different wavelet packets under different wearing clearances of the diaphragm pump.
  
When a diaphragm pump is used for a long time, the diaphragm and other components will wear and tear, which in severe cases will affect the performance and life of the diaphragm pump. The main wear types of diaphragm pumps include diaphragm wear, valve body wear, ball valve wear and seal ring wear. Factors such as transporting solid particles, chemical corrosion, high temperature, and high pressure will accelerate the wear of the diaphragm pump. Through vibration monitoring and pressure monitoring on the wear test bench of the diaphragm pump, a wear model of the diaphragm pump was established. Numerical models and historical usage data of diaphragm pumps were used to predict the wear rate of diaphragm pumps, select appropriate diaphragm pump materials, and formulate appropriate maintenance plans. Not only can the service life of the diaphragm pump be extended and the environmental impact reduced, but the performance of the diaphragm pump can also be improved.
3.3. Fault Diagnosis Research
The failures of diaphragm pumps are often manifested in the form of abnormal vibration, and the vibration signal contains a lot of equipment failure information. Therefore, using vibration signals to diagnose diaphragm pump faults is the most common and effective method. In recent years, domestic and foreign scholars have carried out extensive research on diaphragm pump fault diagnosis, mainly focusing on vibration analysis, such as spectrum analysis, wavelet analysis, and artificial neural networks. Through these methods, the rapid and accurate fault analysis of diaphragm pumps can be realized, which has very important practical significance.
Yang et al. [] studied the problem of fault feature extraction of the diaphragm pump check valve. They commenced the study by analyzing the vibration signals of the one-way valve in the high-pressure diaphragm pump. Fault feature extraction was accomplished through a combination of LMD (local mean decomposition) and wavelet analysis. Initially, they applied LMD decomposition to process the vibration signal and selected pertinent components for reconstruction. Subsequently, the reconstructed signal was denoised using wavelet transform. Finally, they extracted fault signal characteristics through Hilbert envelope spectrum analysis. The results showed that this method can effectively extract the fault features of the one-way valve and overcome the problems of modal aliasing and end-point effects in the EMD (empirical mode decomposition) method. The method not only has fewer iterations, but also extracts the fault features of the one-way valve more effectively. The results are shown in Figure 8, for comparison.
      
    
    Figure 8.
      Signal envelope spectrum based on different wavelet packet denoising of the diaphragm pump check valve [].
  
Yuan et al. [] proposed a fault diagnosis method based on MWPE (multiscale weighted permutation entropy) and TELM (twin extreme learning machine), which is suitable for fault diagnosis of check valves in high-pressure diaphragm pumps. Experiments show that this method can enhance fault characteristics, overcome the lack of vibration signals, and enhance accuracy. MWPE can extract the nonlinear characteristics of high-pressure diaphragm pump check valves, and capture mutation and impact information. The diagnostic accuracy rate of valve fault information is over 97%, based on MWPE and TELM. However, although this method has high feature-extraction accuracy and robustness, the stability of MWPE under coarse-grained data is insufficient, and the optimal parameters of TELM need to be further studied.
Jun et al. [] introduced multi-kernel capabilities and cost-sensitive mechanisms, constructed an MKL-CS-ELM (multi-kernel cost-sensitive extreme learning machine) fault diagnosis model, and validated the model with check valve data. The results in Figure 9 show that the model has good performance and not only reduces the misclassification rate, but also achieves a dynamic balance among the misclassification rate, the missed diagnosis rate, and the accuracy rate, and improves the overall reliability. It was further proved that the multi-kernel capabilities and the cost-sensitive mechanism can overcome the shortcomings of conventional classification models, such as uneven samples and diagnostic balance. Moreover, this method can improve the accuracy of the classification model and is more suitable for practical applications.

      
    
    Figure 9.
      The performance comparisons of robust performance evaluation for different cost-sensitive methods of the diaphragm pump check valve [].
  
Xu et al. [] proposed a diagnostic method based on multi-domain features and KELM (kernel extreme learning machine), which solved the problem of difficult classification of check valve fault states. The results showed that the diagnostic accuracy of bearing fault diagnosis using time domain, frequency domain, and time-frequency domain features are 30.00%, 86.67%, and 91.00%, respectively, while using KPLS (kernel partial least squares) multi-domain feature extraction, and the KELM method increases the accuracy rate to 97.33%. In addition, the accuracy of multi-domain features combined with KPLS and KELM increased from 45.56%, 82.22%, and 68.89% to 97.33% when carrying out bearing fault diagnosis tests under different numbers of hidden layer nodes. The research also showed that the KPLS–KELM algorithm can effectively extract the fault information of the check valve, and its accuracy rate reaches 95%. Compared with the traditional time domain, frequency domain, and time-frequency domain analysis methods, it has higher accuracy.
The accuracy of fault diagnosis is the key to ensuring the reliability of diaphragm pump equipment and improving maintenance efficiency. In the fault diagnosis of diaphragm pumps, both experiments and numerical simulations play an important role. Fault-feature extraction methods are diverse, such as LMD and wavelet analysis, multi-core capabilities and cost-sensitive mechanisms, multi-domain features and KELM. Using experiments to further demonstrate the accuracy of various method applications will be a crucial step. The use of more advanced vibration sensors and vibration analysis instruments and other experimental tools can help us collect diaphragm pump signals more carefully and accurately, ensure the reliability of experimental data, and maximize the credibility of numerical simulation and fault-feature extraction methods.
3.4. Vibration and Noise Research
Vibration and noise are inseparable, and vibration is one of the main causes of noise. According to research, noise will not only endanger human health but also reduce the performance and life of diaphragm pumps. Therefore, noise reduction technology is critical to the proper operation of diaphragm pump systems. It is of great significance to study the influence of diaphragm pump vibration and noise to improve the stability and life of the diaphragm pump system.
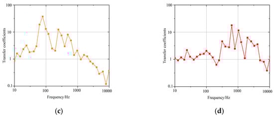
Yang et al. [] conducted a scale model test and considered four types of pipelines: SLMB (single-layer metal bellows), DLMB (double-layer metal bellows), BCR (bellows-coated rubber), and RP (rubber pipe), as shown in Figure 10. The results of Figure 11 and Figure 12 show that, compared with SLMB, DLMB and BCR have significant and stable isolation effects in the high-frequency region, and the shock-absorbing frequency of BCR is slightly higher than that of DLMB. Under all conditions, especially at 2600 r/min, RP maintains a low transfer coefficient at low frequencies. Therefore, in actual engineering, the appropriate damping tube can be selected according to different vibration-damping requirements.
      
    
    Figure 10.
      The structure diagram of different damping tubes [].
  

      
    
    Figure 11.
      Test results of vibration isolation under 2300 r/min: (a) SLMB; (b) DLMB; (c) BCR; and (d) RP [].
  
      
    
    Figure 12.
      Test results of vibration isolation under 2600 r/min: (a) SLMB; (b) DLMB; (c) BCR; and (d) RP [].
  
Li et al. [] studied the noise characteristics of diaphragm pumps and found that the noise of diaphragm pumps is closely related to water pressure and pulsation. Meanwhile, they determined the effects of water pressure pulsation frequency, sudden expansion tube radius, baffle length, and inner insertion tube length on the pulsation attenuation performance and pressure loss of the pulsation attenuator. Afterward, they designed a series-parallel composite micro-perforated tube muffler and carried out experimental verification on the diaphragm pump. The experimental results showed that the pulsation attenuator is effective in reducing the noise of the diaphragm pump.
Song et al. [] studied the vibration and noise problems of reverse osmosis diaphragm booster pumps. They used the anechoic chamber and vibration test platform to conduct noise tests under rated conditions, variable speed excitation vibration tests, and three different eccentric wheel angles. In the vibration test, the vibration and noise information of the reverse osmosis diaphragm booster pump was obtained, and the frequency spectrum analysis and feature comparison were carried out. The research results showed that the highest noise sound pressure level appears at the outlet end, reaching 45 dB. The dominant frequency of vibration and noise in the operating state of the reverse osmosis diaphragm booster pump is four times the shaft frequency, and the main cause of pump vibration and noise is the inertial impact of liquid in the chamber striking the housing and cam bracket.
Aiming at the problem of high-frequency broadband exhaust noise of diaphragm pumps, Liu et al. [] proposed a series-parallel composite micro-perforated pipe muffler and applied the transmission loss model and multi-population genetic algorithm to optimize the design of the muffler’s structural parameters. Experiments showed that with the optimized muffler, the exhaust noise of the diaphragm suction pump was significantly reduced in the whole frequency range, and the total sound pressure level was reduced by 10 dB. In addition, the muffler had high-efficiency broadband noise reduction characteristics.
Vibration and water pressure pulsation are the main sources of diaphragm pump noise, and they are related to the operating characteristics and design parameters of the diaphragm pump. In the research on the noise of diaphragm pumps, it is not only necessary to explore the influence of diaphragm pump force speed and rotation speed on noise, but also to further explore the parameters of membrane structure, material, mechanical durability, and diaphragm shape. Of course, the application of tools such as vibration attenuators and noise loss models will also greatly improve the noise impact of diaphragm pumps.
3.5. Fluid–Solid-Interaction Research (FSI)
Diaphragm pumps will produce various faults in complex and diverse working environments. These faults will not only affect the normal operation of the diaphragm pump but also affect the safe operation of the entire diaphragm pump system. If not handled properly, this can lead to huge economic losses. The fluid–solid coupling research not only considers the effect of the fluid load on the solid deformation but also realizes the influence of the solid deformation on the fluid. Therefore, the fluid–solid coupling research of the diaphragm pump is of great significance in the engineering field, which can ensure the safe operation of the diaphragm pump device.
Alberto et al. [] established a full 3D dynamic mesh numerical model for simulating the FSI problem of the non-return valve in the pneumatic diaphragm positive displacement pump. As shown in Figure 13 and Figure 14, the results showed that the three-dimensional model can better capture the change process of the performance curve, and the partial pressure in the diaphragm cavity has the same time-average effect. Under standard operating conditions, the low air pressure (2 bar) would lead to higher instability, especially at the outlet check valve. When the supplied pressure was increased (6 bar), this phenomenon was alleviated, and the diaphragm pump exhibited lower oscillations and better volumetric efficiency. The instability of the exhaust valve is significantly higher than that of the suction valve, and the suction valve also has better sealing performance.
      
    
    Figure 13.
      Response of the aspirating non-return valve over the operative cycle for low air-supplied pressure. Comparison of 2D (top) and 3D (bottom) computations [].
  
      
    
    Figure 14.
      Streamlines in the internal cavities of the diaphragm positive displacement pump comparison of forward (left) and backward (right) strokes at free-delivery conditions [].
  
Shi et al. [] studied the dynamic characteristics of the exhaust valve of a micro-diaphragm pump with a plate valve based on the fluid-structure interaction model. The results showed that the FSI model can predict the complete flow process of the pump. And it was found that there was a large difference between the center offset and the edge offset of the exhaust valve plate, and the oscillation period of the pressure in the pump working chamber was about twice that of the exhaust valve plate. When the pump speed was lower than 2500 r/min, the lag angle of the discharge valve under the rated pressure had little effect, but at the rated pump speed, the lag angle increased with the increase in the back pressure. The stress on the exhaust valve plate reached a peak when the plate hit the valve stop or seat. These results can help to further understand the dynamic characteristics of the exhaust valve of the micro-diaphragm pump and guide the development and performance optimization of the diaphragm pump.
Menéndez et al. [] used dynamic mesh technology and UDF to accurately simulate the dynamic motion and FSI of a pneumatic double-diaphragm pump, including sinusoidal motion and the opening and closing of check valves. The study successfully solved the FSI problem of the ball valve and performed accurate simulations of the leakage flow, valve vibration, and the resulting instability and high-frequency noise. The experimental results confirmed the correctness of the numerical calculation model and verified the selection of small geometric gaps and channel grids inside the pump. Moreover, the study also found that when the exhaust valve was reopened at high output pressure, the diaphragm decelerated toward top dead center, and the instantaneous flow rate fluctuated greatly.
By considering the deformation of the diaphragm, Pan et al. [] used dynamic mesh technology and a transient 3D FSI model to simulate the complete working process of the diaphragm pump. As shown in Figure 15 and Figure 16, the results showed that the FSI method can predict the dynamic characteristics of end valves. As the back pressure and speed increase, the flow rate of the diaphragm pump decreases and the opening speed of the end valve increases. In addition, the opening lag angle of the diaphragm pump significantly increased, but the study found that this was mainly related to the change in back pressure. The stroke of the end valve was affected by the back pressure and the pump speed, but the deformation of the diaphragm was only affected by the back pressure.
      
    
    Figure 15.
      Transient pressure contours of the diaphragm pump at the opening and closing of the port valves in FSI simulation. (a): φ = 9°; (b): φ = 9.4°; (c): φ = 174.2°; (d): φ = 174.6°; (e): φ = 189.7°; (f): φ =190.1°; (g): φ = 353.9°; (h): φ = 354.2° [].
  
      
    
    Figure 16.
      Transient displacement contours under different working conditions of the diaphragm pump in FSI simulation. (a) n = 600 r/min, pb(back pressure) = 0, φ = 36°; (b) n = 600 r/min, pb = 0.2 MPa, φ = 36°; (c) n = 600 r/min, pb = 0.4 MPa, φ = 36°; (d) n = 600 r/min, pb = 0, φ = 90°; (e) n = 600 r/min, pb = 0.2 MPa, φ = 90°; (f) n = 600 r/min, pb = 0.4 MPa, φ = 90°; (g) n = 360 r/min, pb = 0.4 MPa, φ = 108°; (h) n = 480 r/min, pb = 0.4 MPa, φ = 108°; (i) n = 600 r/min, pb = 0.4 MPa, φ = 108°; (j) n = 600 r/min, pb = 0, φ = 216°; (k) n = 600 r/min, pb = 0.2 MPa, φ= 216°; (l) n = 600 r/min, pb = 0.4 MPa, φ = 216°; (m) n = 600 r/min, pb = 0, φ = 270°. (n) n = 600 r/min, pb = 0.2 MPa, φ = 270°; (o) n = 600 r/min, pb = 0.4 MPa, φ = 270° [].
  
The fluid end of the diaphragm pump was simulated and analyzed through the FSI model, and Zhang et al. [] studied the influence of different working pressures on the fluid end of the diaphragm pump. The study found that when the working pressure of the diaphragm pump increased, the rubber diaphragm was still in a state of pressure balance, which basically did not affect its movement law. However, as the working pressure gradually increased, the opening delay of the pump valve increased, and the lift of the pump valve fluctuated. An increase in working pressure reduced the volumetric efficiency of the diaphragm pump, and the volumetric efficiency varied linearly with increasing working pressure.
The above fluid-structure coupling research on diaphragm pumps provides important reference and guidance for the design, improvement, and performance optimization of diaphragm pumps. Fluid–solid coupling helps to study the flow phenomena inside the diaphragm pump and the dynamic characteristics of the diaphragm pump check valve, which plays a key role in optimizing the performance of the diaphragm pump and enhancing the stability and life of the diaphragm pump. The method of combining fluid-structure coupling experiments and simulations can obtain accurate physical quantity data of the diaphragm pump through experiments under controlled variables. At the same time, numerical simulations can be used to further explain the experimental results and various phenomena. Technological advances in experimental devices such as pressure sensors, flow meters, accelerometers, laser velocimeters, and high-speed cameras will also greatly enhance the rapid development of the field of fluid–solid coupling of diaphragm pumps.
3.6. Optimization Research of Check Valve and Diaphragm
The flow state of the conveying medium has an important influence on the transmission and control of the entire system, while the internal flow of the check valve and the diaphragm of the diaphragm pump is more complicated. Therefore, the quantitative analysis of the kinematic characteristics of the check valve and the diaphragm is conducive to a comprehensive grasp of the working mechanism of the check valve and the diaphragm, which also helps to optimize the design of check valves and diaphragms, which is of great significance for improving the working performance of diaphragm pumps.
A new finite element program was developed by Kim et al. [] to optimize the profile of the diaphragm used in the accumulator. Figure 17 shows that the procedure assumes an isenthalpic state of the envelope gas inside the accumulator, considers pressure variations, and applies the DOE (design of experiments) method to determine the optimal profile.
      
    
    Figure 17.
      Experimental data with respect to various angular speeds (p = max(P) − min(P): the averaged alternating pressure during 1 min of operation): (a) comparison without damper, (b) comparison of internal pressures [].
  
As shown in To evaluate the damping efficiency of the developed modules, an optimized pulsation damper module was fabricated and tested, and the results showed that the optimized diaphragm achieves better damping and performance in the lower frequency range.
Zhang et al. [] established a general parametric control model for the disc-shaped rubber diaphragm with full consideration of the diaphragm deformation and movement. Next, diaphragm deformation and stress were obtained. The results showed that the smaller the inclination angle of the diaphragm, the larger and more complex the deformation of the diaphragm. Moreover, too small a diaphragm inclination angle will lead to increased diaphragm displacement, which is not conducive to reducing the average stress and stress amplitude of the diaphragm. In addition, the greater the inclination and radius of the diaphragm, the greater the liquid end volume of the pump. In summary, the inclination angle of the diaphragm is preferably between 50° and 60°, the thickness of the diaphragm is about 6 mm, and the principle of “thickness should not be thin” should be followed. Zhang et al. [] also conducted a static and modal analysis of the hose diaphragm pump, and the maximum deformation position and stress concentration point were obtained. The results showed that the optimization design by the response surface method can reduce the overall deformation of the piston assembly by 6.4% and reduce the maximum equivalent stress, which effectively improves the strength of the piston assembly and reduces the deformation. This has an important reference value for future research.
Deng et al. [] optimized the annular U-shaped diaphragm in a new hydraulic diaphragm pump by applying the stress-strain structural design method. Through the finite element method and the parameter optimization method, the stress distribution diagram of the diaphragm under different displacement loads was calculated. The results showed that the relative deformation of the fixed support end and the movable support end of the diaphragm was relatively large, which belonged to the stress concentration area. After optimization, the stress extreme value of the diaphragm was evenly distributed, and the stress concentration of the support parts at both ends tended to ease. In addition, the maximum stress value of the optimized diaphragm decreased from 0.083 MPa to 0.027 MPa, and the overall stress value of the diaphragm decreased.
Wang et al. [] researched the closing speed of the diaphragm pump valve through fluid–solid coupling analysis and analyzed the influence of different spring stiffnesses. The results showed that the collision velocity of the valve can be controlled by adjusting the stiffness of the valve spring, and the greater the stiffness of the valve spring, the less the mutual collision speed. In addition, appropriately increasing the stiffness of the valve spring will not affect the normal closing of the valve and can prolong the service life. But the stiffness should not be too large, which will affect the maximum lift of the valve and the flow velocity of the valve gap, thereby aggravating the impact of the slurry on the pump.
Jiang et al. [] used fluid–solid coupling analysis to research the motion mechanism of the diaphragm pump ball valve and the influence of different working pressures on the motion mechanism of the ball valve. The results showed that under lower working pressure, the working pressure has an insignificant effect on the valve gap flow rate and the valve lift. But at high working pressure, as the pressure increases, the slit flow rate increases, and the valve lift becomes unstable.
The above research provides some results of optimization research on diaphragm pumps, especially an in-depth exploration of the design and performance of diaphragms. Moreover, the application of research methods such as diaphragm profile optimization, parameter control models, and modal analysis have had a huge impact on improving the performance of diaphragm pumps to meet the needs of different fields. With the development of science and technology, research on the optimization of diaphragm pumps will continue to make progress to meet increasingly complex industrial and production needs.
4. Conclusions and Prospects
Diaphragm pumps possess unique advantages that other pump types do not have, making them widely applied in various industrial sectors and high-precision fluid-transfer fields. This summary of various research results on diaphragm pumps in recent years, including cavitation research, wear research, fault-diagnosis research, vibration and noise research, fluid–solid-interaction research, one-way valve and diaphragm optimization research, etc., have demonstrated significant progress in improving performance, reducing costs, and enhancing the overall structure of diaphragm pumps. Diaphragm pumps have already become indispensable mechanical products, and they are expected to find even greater applications in the future.
Although significant progress has been made in the research of diaphragm pumps, there are still some limitations due to various research conditions and theoretical constraints. However, these limitations also present great opportunities and challenges for the future development of diaphragm pumps. Further in-depth research is needed to address various aspects of diaphragm pumps. The material of diaphragm pumps determines the lower limits of their performance and lifespan. Therefore, it is necessary to strengthen the research and application of manufacturing materials for diaphragm pumps and validate the physical, chemical, and mechanical properties of these materials through numerical simulations and experiments. This not only helps identify the impact of material parameters on the performance of diaphragm pumps but also plays a crucial role in further enhancing the diaphragm’s lifespan. Furthermore, diaphragm pumps exhibit a variety of internal structures, and it is not only the diaphragm and check valve structures that require optimization; other components also need thorough research. The optimization of diaphragm pumps involves selecting parameters for each component and understanding the structural characteristics of critical parts, which can be achieved by integrating numerical simulations and parallel experiments to determine the optimal parameters for each section of the diaphragm pump’s structure. Regarding the vibration and noise issues of diaphragm pumps, it is essential not only to consider improving the lubrication system but also to investigate issues related to the unbalanced load and component fitting of the diaphragm pump. While ensuring precise control of flow and pressure output, it is necessary to implement reasonable control measures based on practical situations. By adopting these measures, it is possible to enhance the operational reliability and overall performance of the diaphragm pump. Lastly, the existing diaphragm pump manufacturing technology still requires improvement, focusing on reducing pump body weight, minimizing material consumption, and decreasing manufacturing costs. The ultimate goal is to manufacture more efficient and energy-saving diaphragm pumps, ensuring they have longer lifespans and broader application ranges.
Diaphragm pumps, as important fluid transfer devices, have been widely utilized in various fields, and research on diaphragm pumps has been conducted for decades. However, as the theoretical and technological advancements in diaphragm pump research continue, there is a need for more in-depth investigations to couple diaphragm pumps with more efficient systems and advanced structural designs. It is hoped that this review can enhance scholars’ understanding of diaphragm pumps and provide some assistance in furthering their research in this area.
Author Contributions
This was a joint work and the authors were in charge of their expertise and capabilities: Y.L. and G.P. for writing and revision; K.Z. and C.L. for validation and revision; H.C. for manuscript revision. All authors have read and agreed to the published version of the manuscript.
Funding
The authors gratefully acknowledge the support from the Open Research Subject of Key Laboratory of Fluid Machinery and Engineering (Xihua University) ([grant number LTDL2022006]); from the Natural Science Research Project of Jiangsu Province Colleges and Universities ([grant number: 21KJB570004]); from the, Priority Academic Program Development of Jiangsu Higher Education Institutions (PAPD); and from the 22nd batch of college students’ scientific research projects to be funded (Jiangsu University) ([grant number 22A233]).
Data Availability Statement
Not applicable.
Conflicts of Interest
Authors K.Z. and C.L. are employed by the Shenzhen Angel Drinking Water Industrial Group Corporation. The remaining authors declare that the research was conducted in the absence of any commercial or financial relationships that could be construed as a potential conflict of interest.
References
- Chen, S.; Chen, L. Discussion on the method of improving the life of the diaphragm in the diaphragm pump. Min. Process. Mach. 2005, 5, 71–72. [Google Scholar]
 - Vetter, G.; Yao, T. Safe and reliable diaphragm pump. Electromechanical. Equip. 1994, 6, 21–30+37. [Google Scholar]
 - He, D. Diaphragm pump. Mach. Tools Hydraul. 1993, 1, 34–36. [Google Scholar]
 - Cong, H.; Tao, Z. Diaphragm travel control system of reciprocating diaphragm pump. Coal Mine Electromech. 2006, 4, 59–60. [Google Scholar]
 - Ling, X. Reciprocating piston diaphragm pump. Min. Mach. Min. Process. Mach. 2002, 11, 25–27. [Google Scholar]
 - Deng, Z. Development of highly flexible nitrile film for diaphragm pumps. World Rubber Ind. 2013, 40, 34–37. [Google Scholar]
 - Pei, J. Application of pneumatic diaphragm pump in pharmaceutical and food production. Chem. Pharm. Eng. 2009, 30, 2326. [Google Scholar]
 - Okamura, K.; Hatanaka, H.; Kimoto, H.; Masaaki, S.; Yoshiki, S.; Eiichiro, N.; Toshitaka, G.; Jun-ichiro, I. Development of an in situ manganese analyzer using micro-diaphragm pumps and its application to time-series observations in a hydrothermal field at the Suiyo seamount. Geochem. J. 2004, 38, 635–642. [Google Scholar] [CrossRef]
 - Zengerle, R.; Geiger, W.; Richter, M.; Ulrich, J.; Kluge, S.; Richter, A. Transient measurements on miniaturized diaphragm pumps in microfluid systems. Sens. Actuators A Phys. 1995, 47, 557–561. [Google Scholar] [CrossRef]
 - Dai, G.; Fan, W. Application of pneumatic diaphragm pump in coal mine underground drainage system. Mod. Min. 2014, 30, 110–111. [Google Scholar]
 - Yan, Z. Electrical realization of synchronous control of fixed rotation angle difference of diaphragm pump. Autom. Instrum. 2011, 153, 124–125+128. [Google Scholar]
 - Ling, X. Technical parameters and core technology of reciprocating piston diaphragm pump. Electromech. Prod. Dev. Innov. 2006, 19, 45–48. [Google Scholar]
 - Wang, W.; Kang, Q.; Dong, F.; Zhang, C. Analysis of current energy utilization in China and abroad. Yunnan Chem. Ind. 2019, 46, 48–49. [Google Scholar]
 - Wang, K.; Gu, X.; Song, J. Application and commissioning of pneumatic diaphragm pumps in bilge water system of semi-submersible platforms. Electromech. Eng. Technol. 2022, 51, 238–240. [Google Scholar]
 - Kim, H.; Astle, A.; Najafi, K.; Bernal, L.; Qashbaugh, P. An integrated electrostatic peristaltic 18-stage gas micro pump with active micro valves. J. Microelectromech. Syst. 2014, 24, 192–206. [Google Scholar] [CrossRef]
 - Vick, B.D.; Clark, R.N. Experimental investigation of solar powered diaphragm and helical pumps. Sol. Energy 2011, 85, 945–954. [Google Scholar] [CrossRef]
 - Pei, J.; He, C.; Lv, M.; Lv, M.; Huang, X.; Shen, K.; Bi, K. The valve motion characteristics of a reciprocating pump. Mech. Syst. Signal Process. 2016, 66, 657–664. [Google Scholar] [CrossRef]
 - Zhu, W. Development and application of high pressure and large displacement energy saving reciprocating pump. Petrochem. Equip. Technol. 2017, 38, 535. [Google Scholar]
 - He, X.; Deng, X.; Yang, S.; Bi, Y.; Jiang, Q.; Irrig, D. Numerical analysis of cavitation flow in vortex-valve piezoelectric micropump. J. Drain. Irrig. Mech. 2009, 27, 352–356. [Google Scholar]
 - Li, J.Z.; Raney, M.; Zheng, X. Flow Simulation of a Direct-Injection Gasoline Diaphragm Fuel Pump with Structural Interactions; No. 2000–01–1047 SAE Technical Paper; SAE International: Warrendale, PA, USA, 2000. [Google Scholar]
 - Olsson, A.; Stemme, G.; Stemme, E. A valve-less planar fluid pump with two pump chambers. Sens. Actuators A Phys. 1995, 4, 549–556. [Google Scholar] [CrossRef]
 - Chen, L.; Yin, Z.; Chen, S. Simulation research on air chamber affected to features of coal water mixture membrane pump. Coal Sci. Technol. 2005, 12, 41–44+73. [Google Scholar]
 - Qian, J.Y.; Gao, Z.X.; Wang, J.; Jin, Z. Experimental and numerical analysis of spring stiffness on flow and valve core movement in pilot control globe valve. Int. J. Hydrogen Energy 2017, 42, 17192–17201. [Google Scholar] [CrossRef]
 - Wang, J.; Yang, Z.; Liu, Y.; Shen, Y.; Chen, S.; Yu, J. The effect of surface wettability on the performance of a piezoelectric membrane pump. AIP Adv. 2018, 8, 4. [Google Scholar] [CrossRef]
 - Gao, H. Design and Research of Diaphragm Pump Diaphrag; Shenyang Institute of Engineering: Shenyang, China, 2020. [Google Scholar]
 - Wang, C.; Sun, H.; Zhang, G. Dynamic performance analysis of miniature diaphragm pump based on AMESim. Mach. Tools Hydraul. 2020, 48, 171–175. [Google Scholar]
 - Zhou, L.; Yan, H.; Yan, D.; Xu, W.; Zhou, C.; Zhu, X. Development and application of a hose hydraulic diaphragm pump. Water Pump Technol. 2021, 262, 15–17+30. [Google Scholar]
 - Zhang, Y.; Lin, J.; Wang, H. Performance analysis and test of piezoelectric gas diaphragm pump. Mech. Des. Res. 2022, 38, 61–64. [Google Scholar]
 - Wu, S.; Song, J.; Wei, X. Deformation characteristics of stable pressure chamber diaphragm for pumps of plant protection machinery. Vib. Shock 2019, 38, 257–263. [Google Scholar]
 - Wang, C.; You, Y.; Sun, B. Finite element analysis of micro diaphragm pump rubber diaphragm based on ANSYS Workbench. Machinery 2018, 45, 1–5. [Google Scholar]
 - Wang, F.; Wang, L.; Jin, J. A microfluidic Driving Method Based on Ultrasonic Cavitation Bubbles. In Proceedings of the 2019 14th Symposium on Piezoelectrcity, Acoustic Waves and Device Applications (SPAWDA), Shijiazhuang, China, 1–4 November 2019; pp. 1–4. [Google Scholar]
 - Van, R.; Talmon, A. Fluid structure interaction (FSI) in piston diaphragm pumps. Can. J. Chem. Eng. 2016, 94, 1116–1126. [Google Scholar]
 - Goldschmidtböing, F.; Doll, A.; Heinrichs, M.; Woias, P.; Schrag, H.; Hopt, U. A generic analytical model for micro-diaphragm pumps with active valves. J. Micromech. Microeng. 2005, 15, 673. [Google Scholar] [CrossRef]
 - Yang, X.; Zhou, Z.; Cho, H.; Lou, X. Study on a PZT-actuated diaphragm pump for air supply for micro fuel cells. Sens. Actuators A Phys. 2006, 130, 531–536. [Google Scholar]
 - Vetter, G. Reliability and Future Development of High Pressure Diaphragm Pumps for Process Service. In Proceedings of the 5th International Pump Users Symposium; Turbomachinery Laboratories, Department of Mechanical Engineering, Texas A&M University: College Station, TX, USA, 1988; Available online: https://www.911metallurgist.com/blog/wp-content/uploads/2016/01/Reliability-and-Future-Development-of-High-Pressure-Diaphragm-Pumps-for-Process-Service.pdf (accessed on 15 November 2023).
 - Ma, H.; Chen, R.; Hsu, Y. Development of a piezoelectric-driven miniature pump for biomedical applications. Sens. Actuators A Phys. 2015, 234, 23–33. [Google Scholar]
 - Söderholm, C. The future of air operated double diaphragm pumps. World Pumps 2008, 2008, 22–23. [Google Scholar]
 - Schimelman, D. Miniature diaphragm pumps meet the performance challenge. World Pumps 2006, 2006, 44–46. [Google Scholar] [CrossRef]
 - Haefner, J.; Durasiewicz, C.; Thalhofer, T.; Kilber, S.; Kutter, C. Smart sensor system for constant dosing with micro diaphragm pumps. In Proceedings of the Smart Systems Integration 13th International Conference and Exhibition on Integration Issues of Miniaturized Systems, Barcelona, Spain, 10–11 April 2019; pp. 1–4. [Google Scholar]
 - Bußmann, A.; Thalhofer, T.; Hoffmann, S.; Daum, L.; Surendran, N.; Hayden, O.; Hubbuch, J.; Richter, M. Microfluidic cell transport with piezoelectric micro diaphragm pumps. Micromachines 2021, 12, 1459. [Google Scholar] [CrossRef]
 - Prithvi, J.; Sreeja, B.; Radha, S.; Gowthami, A. Critical review and exploration on micro-pumps for microfluidic delivery. MEMS Microfluid. Healthc. Devices Appl. Perspect. 2023, 14, 65–100. [Google Scholar]
 - Jia, J.; Wang, S.; Lu, C. Inguire into a few guestion for diaphragm pump. Pet. Min. Mach. 2001, 3, 119–121. [Google Scholar]
 - Carraro, G.; Pallis, P.; Leontaritis, A.; Karelles, S.; Vourliotis, P.; Rech, S.; Lazzaretto, A. Experimental performance evaluation of a multi-diaphragm pump of a micro-ORC system. Energy Procedia 2017, 129, 1018–1025. [Google Scholar]
 - Wu, X.; He, L.; Hou, Y.; Tian, X.; Zhao, X. Advances in passive check valve piezoelectric pumps. Sens. Actuators A Phys. 2021, 323, 112647. [Google Scholar]
 - Overview of Micro DC Pumps and Diaphragm Pumps; M2 Press: London, UK, 2022; Available online: https://www.pinmotor.net/news/overview-of-micro-dc-pumps-and-diaphragm-pumps/ (accessed on 14 March 2022).
 - Zhang, Y.; Xing, G.; Shen, Y.; Chen, D.; Zhou, S. The influence of spring stiffness on the movement characteristics of the spool of drain valve of reciprocating pump. Fluid Mach. 2022, 50, 23–29+53. [Google Scholar]
 - Guo, M. Application of diaphragm pumps in offshore oil and gas platforms. Eng. Constr. Des. 2020, 436, 158–159. [Google Scholar]
 - Song, W.; Zhang, R.; Meng, X. The treatment of the lost oil fault in diaphragm pump. Intern. Combust. Engines Accessories 2020, 314, 147–148. [Google Scholar]
 - Wang, S. Application and development of foreign metering pumps. Fluid Eng. 1986, 11, 39–42. [Google Scholar]
 - Wei, L.; Tao, L. Pump Maintenance Manual; Chemical Industry Press: Beijing, China, 2009; pp. 182–183. [Google Scholar]
 - Barbhuiya, R.I.; Singha, P.; Singh, S.K. Positive Displacement Pumps. In Transporting Operations of Food Materials within Food Factories; Woodhead Publishing: Sawston, UK, 2023; pp. 201–217. [Google Scholar]
 - Guo, S.; Chen, J.; Lu, Y.; Wang, Y.; Dong, H. Hydraulic piston pump in civil aircraft: Current status, future directions and critical technologies. Chin. J. Aeronaut. 2020, 33, 16–30. [Google Scholar]
 - Yuan, S.; Shi, W.; Li, H. Pump Theory and Technology; China Machine Press: Beijing, China, 2014; pp. 24–32. [Google Scholar]
 - Chai, L.; Li, Q.; Gong, E.; He, Y. Improvement on cavitation performance of diaphragm metering pump. Drain. Irrig. Mach. 2007, 120, 17–20. [Google Scholar]
 - Li, W.; Mckeown, A.; Yu, Z. Correction of cavitation with thermodynamic effect for a diaphragm pump in organic Rankine cycle systems. Energy Rep. 2020, 6, 2956–2972. [Google Scholar]
 - Li, W.; Yu, Z. Cavitating flows of organic fluid with thermodynamic effect in a diaphragm pump for organic rankine cycle systems. Energy 2021, 237, 121495. [Google Scholar]
 - Landelle, A.; Tauveron, N.; Revellin, R.; Haberschill, P.; Colasson, S.; Roussel, V. Performance investigation of reciprocating pump running with organic fluid for organic Rankine cycle. Appl. Therm. Eng. 2017, 113, 962–969. [Google Scholar] [CrossRef]
 - Xia, J.; Liu, H.; Zhang, Z.; Zhu, S.; Yu, X. Vibration analysis of the crank-link mechanism of reciprocating bilge pumps. Noise Vib. Control. 2016, 36, 151–154. [Google Scholar]
 - Xia, J.; Zhang, Z.; Yu, X.; Zhu, S. Reciprocating bilge pump crank-link mechanism vibration analysis with joint clearance. Ship Sci. Technol. 2017, 39, 51–55. [Google Scholar]
 - Xia, J.; Li, Z.; Zhang, Z.; Li, C. Study on wear vibration characteristics of double-cylinder double-acting bilge pump. J. Nav. Eng. Univ. 2019, 31, 39–43. [Google Scholar]
 - Xiao, L.; Duan, Z.; Shi, L. Wear fault dynamic analysis for slider-crank of membrane pump. Equip. Manuf. Technol. 2008, 157, 39–40+43. [Google Scholar]
 - Zhou, H.; Duan, Z.; Shi, L.; Pan, H. Slideway wear of slider-crank mechanism based on dynamic characteristics. Mech. Res. Appl. 2009, 22, 19–21. [Google Scholar]
 - Shi, L.; Duan, Z. Analysis of wear and tear failure of reciprocating piston diaphragm pump based on chaos-fractal theory. J. Agric. Mach. 2010, 41, 222–226. [Google Scholar]
 - Shi, L.; Duan, Z. Research on diaphragm pump wear fault diagnosis based on wavelet fractal technology. Mech. Strength 2012, 34, 13–19. [Google Scholar]
 - Yang, J.; Zhou, C. A fault feature extraction method based on LMD and wavelet packet denoising. Coatings 2022, 12, 156. [Google Scholar] [CrossRef]
 - Yuan, X.; Fan, Y.; Zhou, C.; Wang, X.; Zhang, G. Research on twin extreme learning fault diagnosis method based on multi-scale weighted permutation entropy. Entropy 2022, 24, 1181. [Google Scholar] [CrossRef]
 - Ma, J.; Wu, J.; Wang, X. Fault diagnosis method of check valve based on multi-kernel cost-sensitive extreme learning machine. Complexity 2017, 2017, 8395252. [Google Scholar] [CrossRef]
 - Yuan, X.; Fan, Y.; Zhou, C.; Wang, X.; Zhang, G. Fault diagnosis of check valve based on KPLS optimal feature selection and kernel extreme learning machine. Coatings 2022, 12, 1320. [Google Scholar] [CrossRef]
 - Yang, Y.; Pan, G.; Yin, S.; Yuan, Y. Experiment investigate on the effectiveness of flexible pipes to isolate sea-water pump generated vibration. Coatings 2020, 10, 43. [Google Scholar] [CrossRef]
 - Li, Q.; Zhang, X.; Li, Z.; Gong, C.; Zheng, Z.; Zhang, L.; Kong, X. Research on Diaphragm Pump Noise Reduction Based on CFD Simulation of Pulsation Attenuator. In Proceedings of the 2018 China Household Appliances Technology Conference, Ningbo China, 30 October 2018; China Light Industry Press: Beijing, China, 2018; p. 7. [Google Scholar]
 - Song, Y.; Li, Y.; Li, Q.; Hu, Y.; Xiong, Y.; Huang, K. Experimental study on noise and vibratory characteristics of RO pumps. Fluid Mach. 2022, 50, 1–7+37. [Google Scholar]
 - Liu, Z.; Yuan, J.; Chen, W.; Wei, H. Optimal design of composite micro-perforated tube muffler for diaphragm pump. Acoust. Technol. 2021, 40, 222–227. [Google Scholar]
 - Menéndez-Blanco, A.; Oro, J.; Meana-Fernández, A. Unsteady three-dimensional modeling of the Fluid–Structure Interaction in the check valves of diaphragm volumetric pumps. J. Fluids Struct. 2019, 90, 432–449. [Google Scholar] [CrossRef]
 - Shi, Y.; Yang, S.; Pan, X.; Liu, Y. Investigation on dynamic characteristics of a plate-type discharge valve in a diaphragm pump for SCR system by two-way FSI model. Proc. Inst. Mech. Eng. Part D J. Automob. Eng. 2020, 234, 1197–1209. [Google Scholar] [CrossRef]
 - Alberto, M.B.; Manuel, F.O.J.; Andrés, M.F. Numerical methodology for the CFD simulation of diaphragm volumetric pumps. Int. J. Mech. Sci. 2019, 150, 322–336. [Google Scholar] [CrossRef]
 - Pan, X.; Yang, S.; Shi, Y.; Liu, Y. Investigation on the dynamic characteristics of port valves in a diaphragm pump for exhaust gas treatment system by FSI modeling. IEEE Access 2019, 7, 57238–57250. [Google Scholar] [CrossRef]
 - Zhang, Y. Fluid-solid coupling analysis of the hydraulic end of a high-pressure diaphragm pump. China New Technol. New Prod. 2017, 358, 34–36. [Google Scholar]
 - Juyeong, K.; Gil, H.; Jinyee, N.; Jongwook, L.; Kyungnam, K.; Hyoungjong, P.; Jaekeun, H.; Ywonhong, L. Development of optimal diaphragm-based pulsation damper structure for high-pressure GDI pump systems through design of experiments. Mechatronics 2013, 23, 369–380. [Google Scholar]
 - Zhang, H.; Shi, Y. Optimal design of disc rubber diaphragm in diaphragm pump. Rubber Ind. 2017, 64, 174–178. [Google Scholar]
 - Zhang, H.; Qiang, Z. Optimal design of piston assembly of hose diaphragm pump based on ANSYS. Mech. Des. Manuf. Eng. 2022, 51, 33–37. [Google Scholar]
 - Deng, H.; Zhang, S.; Zheng, Y. Stress analysis and structural optimization design of annular U-diaphragm. J. Drain. Irrig. Mech. Eng. 2012, 30, 578–582. [Google Scholar]
 - Wang, Z. Study on the effect of valve spring stiffness on movement law of diaphragm pump valve based on Fluid-Structure Interaction analysis. China New Technol. New Prod. 2015, 293, 56–57. [Google Scholar]
 - Jiang, B. Study on the influence of working pressure on the movement law of diaphragm pump ball valve based on fluid-solid coupling. China New Technol. New Prod. 2019, 397, 20–21. [Google Scholar]
 
Disclaimer/Publisher’s Note: The statements, opinions and data contained in all publications are solely those of the individual author(s) and contributor(s) and not of MDPI and/or the editor(s). MDPI and/or the editor(s) disclaim responsibility for any injury to people or property resulting from any ideas, methods, instructions or products referred to in the content.  | 
© 2023 by the authors. Licensee MDPI, Basel, Switzerland. This article is an open access article distributed under the terms and conditions of the Creative Commons Attribution (CC BY) license (https://creativecommons.org/licenses/by/4.0/).