Abstract
The shear behavior of rock structural planes contains various symmetry laws, and the shear failure can be considered as an asymmetric state of the rock and rock mass. The study of shear deformation and the failure of rock structural planes plays a vital role in ensuring the safety and stability of engineered rock masses. In view of the inability of traditional shear constitutive models to describe the non-linear characteristics of the dilatancy stage and the single applicable failure form, firstly, we discuss, in depth, the law and mechanism of shear deformation and failure of structural planes, and introduce the compaction index α to measure the non-linear characteristics of shear stress–shear displacement caused by compaction of microcracks and internal pores of structural planes, and the structural plane damage model, considering the void compaction and failure mode, was established. Then, the statistical damage theory was introduced, and the strength and failure of the microunits of the rock structural plane were assumed to obey the Weibull distribution. Based on the Mohr-Coulomb strength criterion to measure the strength of the microunits of the rock structure surface, a statistical damage model of structural planes, which can describe void compaction and failure modes, was established. Finally, a comparative analysis was carried out with the test curve, and the results showed that: the calculation curve of the structural plane statistical damage model established, considering the void compaction and failure modes, has the same trend as the structural plane shear test curve, which can better describe the shear stress– shear displacement at the dilatancy stage, as well as the shearing stage and sliding stage in different failure modes. The changing law of shear displacement reflects the rationality and accuracy of the constructed constitutive model. The research results can provide a theoretical basis for the shear deformation and failure of rock structural planes.
1. Introduction
The current demand for resources and space is gradually increasing with the development of the economy. The number and scale of engineering activities such as mining, engineering, and deep energy development have increased, making current theoretical research and engineering applications of rock mechanics face huge opportunities and challenges [1,2]. Structural planes are discontinuous planes widely distributed in natural rock masses. The discontinuity and asymmetry of rock structure planes cause the complexity of engineering rock masses. A large number of engineering practices have shown that the instability of engineered rock masses is closely related to the development degree, location, occurrence, combination characteristics, and engineering properties of structural planes. Shear failure is the main damage mode of engineering rock masses [3,4,5]. Therefore, studying the mechanical properties and deformation characteristics of rock structural planes has very important theoretical and practical engineering significance. Among them, establishing a structural plane shear constitutive model that conforms to engineering reality is one of the keys to studying the mechanical properties of structural planes.
Therefore, in recent years, a large number of scholars have carried out shear tests and constitutive model studies on rock structural planes. In terms of experiments, Xiong Z. et al. [6] and Ji F. et al. [7] used 3D printing and fast scanning technology to produce structural plane models to solve the problem that rock structural planes could not be produced in batches, and conducted shear test research; Xing W. et al. [8] used the gypsum mold expansion method to produce rock splitting structural plane. Through indoor direct shear tests, the variation law of shear stress of structural planes, with morphology characteristics, normal stress, and material strength, was studied. It was concluded that the shear stress–displacement curve under low normal stress showed shear slip type, and the shear stress–displacement curve under high normal stress mostly showed peak shear type; Lu Z. et al. [9] carried out the direct shear test of indoor structural planes, considering the influence of water content and normal stress, and obtained the variation law of shear deformation and shear strength; Shen M. et al. [10] carried out shear tests of regular tooth-shaped structural planes under different normal stresses; Zhang, Q. et al. [11] carried out shear tests of different zigzag structural planes; Hu W. et al. [12] obtained the three-dimensional topography data of structural planes based on close-range photogrammetry technology, and carried out repeated shear tests of the structural plane. The above tests mainly focused on the peak value and residual shear strength characteristics of the structural plane specimens, explored the whole process deformation and failure mechanism of the structural plane shear, and summarized the shear stress–shear displacement relationship, which has laid the experimental foundation for subsequent constitutive model research.
In terms of shear constitutive models, there are currently two main research methods. The first method is to use different types of functions to characterize the shear curve law of the structural plane, according to the influencing factors and experimental data of the shear mechanics characteristics. Patton [13] considered the effect of climbing and tooth shearing, and proposed the Patton double-line model through the direct shear testing of a single regular tooth structure surface. Barton et al. [14] proposed joint roughness parameters and established a structural plane shear strength model. Song D. et al. [15] considered that the shear stress is composed of an anti-shear effect, dilatancy effect, and friction effect, and proposed a joint component shear constitutive model. Peng C. et al. [16] established a joint multilayer structure model considering elasticity, sliding deformation, shearing, and other shear mechanisms. He D et al. [17] proposed a new method for simulating the typical structural plane of Barton, established a numerical model of complex structural planes, and discussed the influence of cohesion and internal friction angles on the shear strength of structural planes. Tang Z. et al. [18] analyzed the limitations of the existing shear stress–displacement constitutive model, and proposed a hardening–softening full-shear constitutive model, using a single function to reflect the change characteristics of the joint shear displacement curve. Although these constitutive models can fit the shear stress–displacement curve well, in essence, the normal stress acting on the structural plane is an external factor, and the mechanical properties and morphological characteristics of the structural plane are internal factors. It is difficult to reflect the internal mechanisms and damage characteristics of rock shear, which is not conducive to further in-depth analysis of the failure law of structural planes. The second method is to use statistical damage theory, starting from the randomness of the distribution of defects contained in the rock material, and to reasonably describe the rock damage and destruction evolution process by establishing a damage constitutive model considering the damage factor, and obtaining the macroscopic deformation and failure law. Since Tang C. [19] first introduced the statistical damage theory into the simulation of the whole process of rock deformation, Cao W. [20,21] introduced a new expression method of rock micro unit strength on this basis, and it has become one of the important research directions of constitutive relations after continuous improvement. Yang J. [22] assumed that the failure of the micro units obeys the Mohr-Coulomb strength criterion, and that cohesion obeys the Weibull distribution. The tangential shear force balance equation derives a statistical damage model that can reflect the residual strength of the rock. Cao W. et al. [23] applied statistical damage theory and took the shear stress and relative shear displacement as parameters to establish a statistical damage constitutive model for the shear process of the structural plane and the contact surface, considering the characteristics of residual strength.
In summary, the research on structural plane shear has made much beneficial progress, but the current research on constitutive relations still has some shortcomings. First of all, the existing shear constitutive models all simplify the shear stress–shear displacement relationship in the dilatancy stage to linear elastic growth, but in fact the structural plane has defects, such as initial microcracks and a large number of randomly distributed pores in the rock. Both will lead to the non-linear characteristics of shear stress–shear displacement, so there is a big difference between the traditional model calculation and the actual shear deformation of the rock structure surface. At present, the characteristics of shear fracture (with peak) and shear slip (without peak) are rarely considered comprehensively. Most of them are only a single study on shear fracture, which is in the process of structural plane shear stress–shear displacement and shear damage. There are certain limitations in the in-depth analysis of the law of evolution. In addition, there is a lack of research on the damage evolution process of shear deformation failure.
In view of this, on the basis of summarizing the shear deformation laws of existing structural planes, this paper uses statistical damage theory to assume that the strength and failure of the micro units of rock structural planes obey the Weibull distribution, and the Mohr-Coulomb strength criterion is used to measure the microstructure of rock structural planes. For elements’ strength, the compaction index was introduced to measure the non-linear characteristics caused by microcracks and rock pores in the rock structure’s surface, and combined with the dual characteristics of shear fracture and shear slip; using these, the statistics damage model of rock structural planes, considering void compaction and failure mode was established. The model was compared with the direct shear test curve of the rock structure in [8] to verify the rationality and accuracy of the built model. Finally, the shear damage evolution equation was used to describe the rock microscopic damage evolution and macro-mechanical performance response, which provides a theoretical reference for the study of rock structural plane shear damage.
2. Analysis of Shear Deformation Mechanism of Structural Plane
In order to reveal the shear deformation and failure mechanism of structural planes and the law of strength changes, a large number of rock structural plane test studies have been carried out in recent years. The test results [8,24,25,26] show that the structural plane has obvious stages in the shear deformation process, and the changes of shear stress–shear displacement in each stage are different. The specific rules are summarized as follows:
(1) The shear deformation law of the structural plane is mainly related to the strength of the rock, the roughness of the structural plane, and the magnitude of the normal stress.
(2) Under the same structural plane condition, the shear stress increases with the increase of the normal stress; under the same normal stress condition, the rougher the structural plane, the greater the shear stress.
(3) Shear deformation failure mainly includes two types of shear fracture and shear slip. The shear fracture is manifested in three stages of dilatancy, shearing, and sliding, which are mainly caused by the shearing of the upper or bottom parts of the protrusion. The shear stress peak value and the shear stress–shear displacement change is shown in Figure 1a; the shear slip type is mainly manifested in the two stages of dilatancy and sliding, which is mainly caused by the surface of the protrusion or the whole body being ground; due to abrasion, there is little difference between the peak shear stress and the residual shear stress, and the shear stress–shear displacement change is shown in Figure 1b. For the same structural plane, as the normal stress increases, the failure mode develops from shear slip to shear fracture; that is, the shear effect of structural plane shear under high normal stress is obvious, and vice versa under low normal stress, and the shear effect of structural plane shear is weakened.
Figure 1.
Shear stress–shear displacement curve: (a) Shear fracture; (b) Shear slip.
(4) With the increase in normal stress, the peak shear stress and residual shear stress in the shear fracture curve increase, and the peak shear stress in the shear slip curve increases.
The following describes the changes of shear stress–shear displacement at each stage. (1) Dilatancy stage (Figure 1a,b OA): Traditionally, it is believed that the shear stress–shear displacement curve of this section is basically linear, until the elastic limit relative displacement is reached, the shear stress corresponding to the elastic limit relative displacement is , and the relationship between shear stress and shear displacement can be expressed as
where: is the shear stiffness of the structural plane, that is, the ratio of the shear stress to the shear displacement when the elastic limit is relative to displacement; is the shear displacement (). Although the shear stress in the dilatancy stage increases with the increase of the shear displacement, the growth rate of the shear stress is not exactly the same. In the initial stage of loading, due to the compaction of the initial microcracks and the internal pores of the rock, the shear stress increases slowly with the shear displacement, showing an upward concave shape; then it enters the elastic deformation stage, and the shear stress increases rapidly with the shear displacement, which is linear elasticity.
After multiple fittings, it was found that the exponential function can describe well the shear stress–shear displacement characteristics, considering the void compaction in the dilatancy stage. This paper defines a parameter to measure the void compaction of the rock structure surface, which is called the compaction index. This value is related to the roughness and stress state of the rock structure surface, which can be expressed as
Taking the shear fracture as an example, the influence of compaction index on the shape of the shear stress–shear displacement curve is shown in Figure 2. The boundary yield point between the dilatancy stage and the shearing stage is , and the peak point is . With the increase of , the degree of concavity on the curve becomes more obvious, , indicating that the structural plane is cracked and there are fewer pores in the rock; When , the rock structural plane voids are moderate, that is, the shear stress–shear displacement curve grows linearly; on the contrary, when , there are more cracks on the structural plane and pores in the rock.
Figure 2.
The shear stress–shear displacement relationship of the shear fracture type under different values of .
(2) Shearing stage (Figure 1a AC): The shear stress first increases nonlinearly with the increase of the shear displacement, until it reaches the shear displacement at the peak shear stress. Subsequently, when the shear displacement continues to increase, the shear stress no longer increases but gradually decreases until the shear stress reaches the residual shear strength. Among this, the shear stress and the shear displacement show a non-linear and monotonous decreasing relationship.
3. Establishment of the Shear Damage Model of Structural Planes
According to the LEMAITRE strain equivalence hypothesis [27] and the effective stress concept, the strain caused by nominal stress (stress measured in the test) on the damaged material is equivalent to the strain caused by the effective stress on the non-destructive material. Namely
In the formula: is the nominal stress; is the effective stress; D is the damage variable. The model considers that the damage of rock materials is a gradual deterioration caused by the generation and development of microdefects (microcracks and microvoids). The part that produces microdefects does not have any bearing capacity, that is, the strength is zero under complete damage (D=1). However, in fact, the rock can still bear the stress after damage under the stress state, and still has shear strength under a certain stress condition [28], which leads to certain limitations in the application of this theory to rock materials. In response to this shortcoming, Cao W. et al. [29] improved the Lemaitre strain equivalence hypothesis. They believed that rock material is composed of the undamaged part and the damaged part in the load deformation, and the stress is shared by the two parts of the material. Thus, an improved damage model considering the residual strength characteristics is established, namely
In the formula: is the stress of the damaged part of the material; its meaning is the same as the aforementioned model. Based on the above damage theory, in order to construct a damage model which can reflect the whole process and characteristics of shear deformation of structural planes, as shown in Figure 3, the following basic assumptions are made:
Figure 3.
Shear force diagram of rock structural planes.
(1) The structural plane under shear action can be divided into two parts: damaged and undamaged materials and the shear stress are borne by the two parts of materials.
(2) The micro shear stress of the damaged and undamaged parts of the material on the shear plane is not equal in the tangential direction. According to the shear deformation mechanism of the front rock structural plane, it is assumed that the micro shear stress of the undamaged part of the material obeys the exponential relationship, that is, the stress–displacement curve is approximately considered as
where α is the shear displacement of the undamaged material; the remaining physical quantities are the same as above.
(3) The tangential micro shear stress of the damaged material is equal to the residual shear strength of the structural plane, namely
(4) In the process of shear deformation, the micro normal stress and of the non-damaged and damaged materials on the shear surface are equal in the normal direction, and are equal to the nominal normal stress of the shear surface, namely
(5) According to the deformation coordination relationship, the shear displacement of the undamaged part and the shear displacement of the damaged part are equal to the total shear displacement α of the rock element, namely
(6) There is an obvious threshold value for rock damage [30]. There is no damage at the dilatancy stage (D = 0), and then the damage begins to occur at the shearing stage, that is, the yield point is the boundary point of rock damage, and finally the damage reaches its maximum at the slip stage (D = 1).
In the shear process of rock structural planes, the total shear area is , where the undamaged area is , and the damaged area is , and there is
of which
According to the analysis of the force in the shear direction of the structural plane
Divide both sides by at the same time, we get
It can be seen from formula (13) that when , then ; when , then , that is, the degree of damage reflects the mechanical characteristics of macroscopic shear failure of rock mass structural planes. The above is the process of establishing the shear damage constitutive model of the rock discontinuity plane. The statistical distribution must be used to determine the damage variable D in the shearing stage and to establish the discontinuity plane shear statistical damage model.
4. Establishment of Statistical Damage Model Considering Void Compaction and Failure Modes
4.1. Damage Variable and Statistical Distribution Function
Rock is a natural material composed of a variety of minerals. Due to the heterogeneity of their internal microstructures, due to varying geological environment and mineral composition, the mechanical properties of the micro units that make up the rock may have large differences, and there may be large differences in the microscopic cracks and fissures. They is also randomly distributed. It is a reasonable and effective way to describe the strength of rock micro units with statistical functions. At present, the commonly used distribution types in rock statistical damage constitutive models mainly include Weibull distribution, normal distribution [31], power function distribution, lognormal distribution, etc. According to the literature [32,33], the Weibull probability distribution function has the characteristics of peak effect and simple integral calculation, which can better describe the process of rock deformation and failure. Therefore, this article assumed that the generation and propagation of cracks during the shearing process of the structural plane obey the Weibull distribution function, and the strength of the micro units of the structural plane also obeys the Weibull statistical distribution. The probability density function is
The distribution function is
In the formula: is the strength value of the shear micro units; is a parameter that affects the shape and size of the shear micro units with respect to the Weibull distribution function. Assuming that the number of damaged micro units under a certain shear force level is , the shear damage variable D is defined as the ratio of the number of damaged micro units to the total number of micro units, namely
When the shear force is loaded to the state, the micro units successively begin to break, and the number of broken micro units is obtained as
From Equations (16) and (17), the shear damage variable of the rock structural plane can be obtained as
Due to the fact that the shear of the rock structural plane needs to consider the influence of the damage threshold, the damage threshold displacement is introduced, that is, the shear fracture damage evolution equation of is expressed as
In addition, there is no shearing stage in shear-slip failure, and the damage evolution equation is
4.2. The Representation of Micro Units’ Strength
At present, many scholars have introduced the commonly used rock strength criteria, such as the maximum tensile strain strength criterion, the Mohr-Coulomb strength criterion, the Drucker-Prager strength criterion, and the Hoek-Brown strength criterion on the basis of studying the failure mechanism of rock. The Mohr-Coulomb strength criterion has become the most widely used strength criterion in rock mechanics due to its simple parameter form and strong practicability. In view of this, this paper adopted the Mohr-Coulomb strength failure criterion as the measurement method of the strength of the micro units of the rock structure surface, and the strength of the micro units is expressed as follows
In the formula, are the cohesion and internal friction angle when the rock structural plane yields. Substituting Equation (6) into Equation (21),we get
4.3. Statistical Damage Model and Parameter Determination
According to Equations (6), (13), and (20), the shear damage model of the shear-slip structural plane is obtained as
According to Equations (6), (13), and (19), the shear statistical damage model of the structural plane of shear fracture is obtained as
In the above formula, can be obtained by the structural plane shear test, and can be obtained by fitting the test’s curve in the dilatancy stage. The following mainly solves the shear fracture structural plane shear statistical damage model parameter .
From the above description, it can be seen that the shear fracture structure surface has an obvious peak during the shear deformation process, the peak point shear displacement is , and the peak point shear stress is . The shear stress–shear displacement curve satisfies the model (24) at the peak of the shear stress, namely
The first derivative of the shear stress–shear displacement curve at the peak is 0, that is
Combining Equations (25) and (26), we can obtain
of which
The above is the whole process of establishing the statistical damage constitutive model and parameter determination in this paper, considering the void compaction and failure modes, which can be determined according to the characteristic value points such as the yield point and the peak point of the test curve.
5. Model Verification and Analysis
In order to verify the rationality of the statistical damage model of the rock discontinuity constructed in this paper, it was proposed to select the direct shear test results of the rock discontinuity surface with different structural plane roughness and normal stress in the literature [8] for comparative analysis. The uniaxial compressive strength of the structure was 53.01 MPa. The basic friction angle of the sample was determined by the tilt test to be 32°. Its structural plane roughness coefficient (abbreviated as CJR) is shown in Table 1. The direct shear of rock was controlled by a ZW-30B microcomputer. The relevant data of the direct shear test obtained on the instrument are shown in Table 2.
Table 1.
CJRof 4 structural planes [8].
Table 2.
Direct shear test data of rock mass structural planes.
According to the data in Table 2, the peak shear stress of different roughness under the same normal stress and the peak shear stress of different normal stresses under the same roughness can be obtained, as shown in Figure 4. For the parameters of the constitutive model established in this paper, according to the experimental data of references and the calculation process of the above parameters, the constitutive model parameters and shear fracture constitutive model parameters under different roughness and normal stress can be obtained respectively, as shown in Table 3. From Equations (23) and (24), the theoretical curves of shear stress–shear displacement of structural planes under different roughness and normal stress were compared with those as a reference, as shown in Figure 5.
Figure 4.
The relationship between peak shear stress and normal stress under different roughness.
Table 3.
Parameter values of constitutive model under different roughness and normal stress.
Figure 5.
Comparison of the shear stress–displacement curve and the curve of references [8] under different roughness and normal stress: (a) S1; (b) S2; (c) S3; (d) S4.
It can be seen from Figure 4 and Figure 5 that, in general, the peak shear stress increases with the increases in roughness, and the peak shear stress increases with the increases in normal stress. Additionally, under different roughness and under low normal stress (1.0 and 3.0 MPa), the shear stress after the peak is basically stable, and the shear stress–shear displacement curve appears as shear slip; at high normal stress (5.0 and 10.0 MPa), the shear stress after the peak decreases significantly with the displacement, and the shear stress–shear displacement curve shows shear fracture. As the normal stress increases, the difference between the peak shear stress and the residual shear strength gradually increases, and the stress drop phenomenon becomes significant, that is, as the normal stress increases, the peak effect becomes significant. The theoretical results obtained in this paper are the same as the experimental results in the literature [8]. In particular, the dilatancy stage of the shear stress–shear displacement curve of the structural plane has a better fit, and both can reflect the shear stress with the shear displacement. The law of shear displacement change indicates that the statistical damage model of rock structure surface proposed in this paper, considering void compaction and failure modes, can reflect the shear deformation characteristics of rock structure surfaces under different roughness and normal stresses, and can be well characterized. The whole process curve of shear stress–shear displacement of rock shear surface under different roughness and normal stress is drawn; however, after the yield point (at which damage is generated), there is also a certain deviation between the model curve in this paper and the test data, and the deviation is reasonable. The range is due to the different failure criteria selected during the establishment of the equation, which results in the different setting parameters, and during the slip phase of the test, the shear stress fluctuates up and down due to the protrusions on the structural plane.
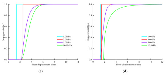
According to Equations (19) and (20), the change rule of damage variables under different roughness and normal stress can be obtained, as shown in Figure 6. It can be seen from Figure 6 that, in the initial stage, namely the dilatancy stage, the shear damage variables of all structural planes are zero; when the shear reaches the yield point, the damage variables under low normal stress (1.0 and 3.0 MPa) rapidly change from zero and increase to one, because the shear-slip structural plane fails without shearing process, and the damage variable under high normal stress (5.0 and 10.0 MPa) increases relatively slowly, due to the gradual accumulation of the damage caused by the shearing of the protrusions. In the sliding stage, the shear damage variable of the structural plane is one, and the damage variable in the subsequent slip process does not change.

Figure 6.
Damage evolution curves under different roughness and normal stress: (a) S1; (b) S2; (c) S3; (d) S4.
6. Conclusions
Aiming at the defects in the traditional rock structural plane shear constitutive model, this paper used statistical damage theory to synthesize two failure modes of structural plane shear fracture and shear slip, introduced a compaction index, and proposed a structural plane statistical damage model. Analyzing the damage evolution process combined with the indoor structural plane shear test curve, the main conclusions obtained are as follows:
(1) The introduced compaction index can characterize the compaction performance of structural plane microcracks and internal rock pores in the shear dilatancy stage of the structural plane, and fully reflect the non-linear curve shape of the shear stress–shear displacement in the undamaged stage. As the compaction index decreases, the compaction effect of structural plane cracks and internal pores in the rock gradually weakens.
(2) Assuming that the shear micro units’ strength of the structural plane obeys the Weibull distribution, and considering the damage threshold, analyzing the shear mechanism of the structural plane with and without peaks, it is possible to establish a statistical damage model of the structural plane, and clarify the determination of each parameter of the model.
(3) The experimental curve and the theoretical curve calculated by the constitutive model have a good correlation, and can better describe the shear stress–shear displacement relationship under different roughness and normal stress levels. Through the damage evolution curve, the damage variable changes from zero to one throughout the whole shearing process. Among them, shear slip failure occurs under low normal stress and the damage variable changes rapidly, while under high normal stress, shear fracture occurs. The need to cut protrusions leads to a slower rate of change of damage variables. It shows that the model is accurate and reasonable, and can provide a theoretical basis for the study of deformation and failure of rock structural planes.
Author Contributions
Conceptualization, B.H. and Z.Z.; methodology, Z.Z.; validation, Z.Z., J.L. and H.X.; formal analysis, Z.Z. and H.X.; data curation, Z.W.; writing—original draft preparation, Z.Z.; writing—review and editing, B.H. and J.L.; project administration, B.H. All authors have read and agreed to the published version of the manuscript.
Funding
This work research was funded by the National Natural Science Foundation of China under grant number U1802243 and grant number 41672317, in part by the Hubei Province Technical Innovation Special (major projects) Project under grant number 2017ACA184, and in part by the Major Science and Technology Projects of WUST Cultivate Innovation Teams under grant number 2018TDX01.
Institutional Review Board Statement
Not applicable.
Informed Consent Statement
Not applicable.
Data Availability Statement
Not applicable.
Conflicts of Interest
The authors declare no conflict of interest.
References
- Cai, M.; He, M.; Liu, D. Rock Mechanics and Engineering, 2nd ed.; Science Press: Beijing, China, 2013; pp. 8–11. [Google Scholar]
- Wagner, H. Deep mining: A rock engineering challenge. Rock Mech. Rock Eng. 2019, 52, 1417–1446. [Google Scholar] [CrossRef] [Green Version]
- Xia, C.; Sun, Z. Joint Mechanics of Engineering Rock Mass; Tongji University Press: Shanghai, China, 2002; pp. 1–3. [Google Scholar]
- Chen, J.; Ye, J.; Du, S. Scale effect and anisotropy analyzed for neutrosophic numbers of rock joint roughness coefficient based on neutrosophic statistics. Symmetry 2017, 9, 208. [Google Scholar] [CrossRef]
- Wu, X.; Wang, G.; Li, G.; Han, W.; Sun, S.; Zhang, S.; Bi, W. Research on shear behavior and crack evolution of symmetrical discontinuous rock joints based on FEM-CZM. Symmetry 2020, 12, 1314. [Google Scholar] [CrossRef]
- Xiong, Z.; Jiang, Q.; Gong, Y.; Song, L.; Gui, J. A method for preparing natural joints of rock mass based on 3D scanning and printing techniques and its experimental validation. Rock Soil Mech. 2015, 36, 1557–1565. [Google Scholar]
- Ji, F.; Liu, C.; Zhang, Y.; Zheng, L.; Pan, K.; Tan, X. High-strength model material production for structural plane replica and its shear testing. KSCE J. Civ. Eng. 2018, 22, 174–184. [Google Scholar] [CrossRef]
- Xing, W.; Wang, S.; Fan, P.; Chen, H.; Wang, D. Experimental study on direct shear behavior of split rock joints. J. Cent. South Univ. 2021, 52, 2933–2944. [Google Scholar]
- Lu, Z.; Chen, C. A study of shear strength property and deformability of hard structural planes under hydro-mechanical coupling. Disaster Adv. 2012, 5, 158–163. [Google Scholar]
- Shen, M.; Zhang, Q. Experimental study of shear deformartion characteristics of rock mass discontinuities. Chin. J. Rock Mech. Eng. 2010, 29, 713–719. [Google Scholar]
- Zhang, Q.; Shen, M.; Clark, C. Shearing mechanical properties of structural planes of a regular tooth rock. Mat. Test. 2011, 53, 540–545. [Google Scholar] [CrossRef]
- Hu, W.; Wu, A.; Chen, S. Shear test of rock discontinuity based on 3-D morphologic analysis. J. Yangtze Riv. Sci. Res. Inst. 2017, 34, 91–97. [Google Scholar]
- Patton, F.D. Multiple modes of shear failure in rock. In Proceeding of the 1st Congress of International Society of Rock Mechanics, Lisbon, Portugal, 25 September–1 October 1966; pp. 509–513. [Google Scholar]
- Barton, N.; Choubey, V. The shear strength of rock joints in theory and practice Rock Mech. Rock Eng. 1977, 10, 1–54. [Google Scholar]
- Song, D.; Ren, W.; Huang, C.; Wang, A.L.; Zhang, J. Study of joint shearing component constitutive model and dual safety factors for jointed rock slope. Rock Soil Mech. 2013, 34, 2143–2150. [Google Scholar]
- Peng, C.; Zhu, X.; Wang, J. Research on hierarchical model of rock joints. J. Zhejiang Univ. (Eng. Sci.) 2010, 44, 2220–2228. [Google Scholar]
- He, D.; Yang, W.; Cheng, Y. Surface morphology of structural plane and effects of the shear strength parameters. Adv. Civ. Eng. 2018, 1–7. [Google Scholar] [CrossRef] [Green Version]
- Tang, Z.; Xia, C.; Xiao, S. Constitutive model for joint shear stress-displacement and analysis of dilation. Chin. J. Rock Mech. Eng. 2011, 30, 917–925. [Google Scholar]
- Tang, C. Disasters during Rock Destruction; China Coal Industry Publishing House: Beijing, China, 1993; pp. 20–24. [Google Scholar]
- Cao, W.; Zhao, M.; Tang, X. Study on simulation of statistical damage in the full process of rock failure. Chin. J. Geotech. Eng. 2003, 25, 184–187. [Google Scholar]
- Cao, W.; Zhang, S. Study on the Statistical Analysis of Rock Damage Based on Mohr—Coulomb Criterion. J. Hunan Univ. (Nat. Sci. Ed.) 2005, 32, 43–47. [Google Scholar]
- Yang, J.; Chen, W.; Huang, S. Study of a statistic damage constitutive model for rocks. Rock Soil Mech. 2010, 30, 7–11. [Google Scholar]
- Cao, W.; Wang, J.; Zhai, Y. Study of simulation method for the shear deformation of rock structural planes and interfaces with consideration of residual strength. China Civ. Eng. J. 2012, 45, 127–133. [Google Scholar]
- Zhang, Q. Research on Shear Creep Characteristics of Rock Mass Discontinuities. Ph.D. Dissertation, Tongji University, Shanghai, China, 2011. [Google Scholar]
- Liu, H.; Zhang, L.; Su, T.; Zhang, J. Constitutive Model of Jointed Rock Mass Damage and Its Engineering Application; Metallurgical Industry Press: Beijing, China, 2016; pp. 130–135. [Google Scholar]
- Yin, Z.; Liu, X.; Yang, Z.; Jiang, Y.; Zhao, Y.; Li, S. Shear Characteristics and Failure Mode of Hard Brittle Marl with Parallel Discontinuous Structural Plane. Arab. J. Sci. Eng. 2020, 45, 8219–8229. [Google Scholar] [CrossRef]
- Lemaitre, J. A continuous damage mechanics model for ductile destruction. J. Eng. Mater. Technol. 1985, 107, 83–89. [Google Scholar] [CrossRef]
- Cao, W.; Tan, X.; Zhang, C.; He, M. Constitutive model to simulate full deformation and failure process for rocks considering initial compression and residual strength behaviors. Can. Geotech. J. 2019, 56, 649–661. [Google Scholar] [CrossRef]
- Cao, W.; Zhang, S.; Zhao, M. Discussion on statistical constitutive model of rock damage based on new damage definition. Rock Soil Mech. 2006, 27, 41–46. [Google Scholar]
- Li, X.; Cao, W.; Su, Y. A statistical damage constitutive model for softening behavior of rocks. Eng. Geol. 2012, 143, 1–17. [Google Scholar] [CrossRef]
- Chen, X.; He, P.; Qin, Z.; Li, J.; Gong, Y. Statistical damage model of altered granite under dry-wet cycles. Symmetry 2019, 11, 1–12. [Google Scholar] [CrossRef] [Green Version]
- Sanchidrián, J.A.; Ouchterlony, F.; Segarra, P.; Moser, P. Size distribution functions for rock fragments—Science Direct. Int. J. Rock Mech. Min. 2014, 71, 381–394. [Google Scholar] [CrossRef]
- Chen, S.; Qiao, C.; Ye, Q.; Khan, M.U. Comparative study on three-dimensional statistical damage constitutive modified model of rock based on power function and Weibull distribution. Environ. Earth Sci. 2018, 77, 108. [Google Scholar] [CrossRef]
Publisher’s Note: MDPI stays neutral with regard to jurisdictional claims in published maps and institutional affiliations. |
© 2022 by the authors. Licensee MDPI, Basel, Switzerland. This article is an open access article distributed under the terms and conditions of the Creative Commons Attribution (CC BY) license (https://creativecommons.org/licenses/by/4.0/).