Dancing with Azulene
Abstract
:1. Introduction
2. The Dance of Two or More Azulenes without Any Spacers (“Dancing Groups” A)
3. The Dance of Two or More Azulenes with Various Spacers (“Dancing Groups” B and C)
4. The Dancing Circle Groups (“Dancing Groups” D and E)
5. The Dancing Circle Group of Azuliporphyrins and Similar Compounds (“Dancing Group” F)
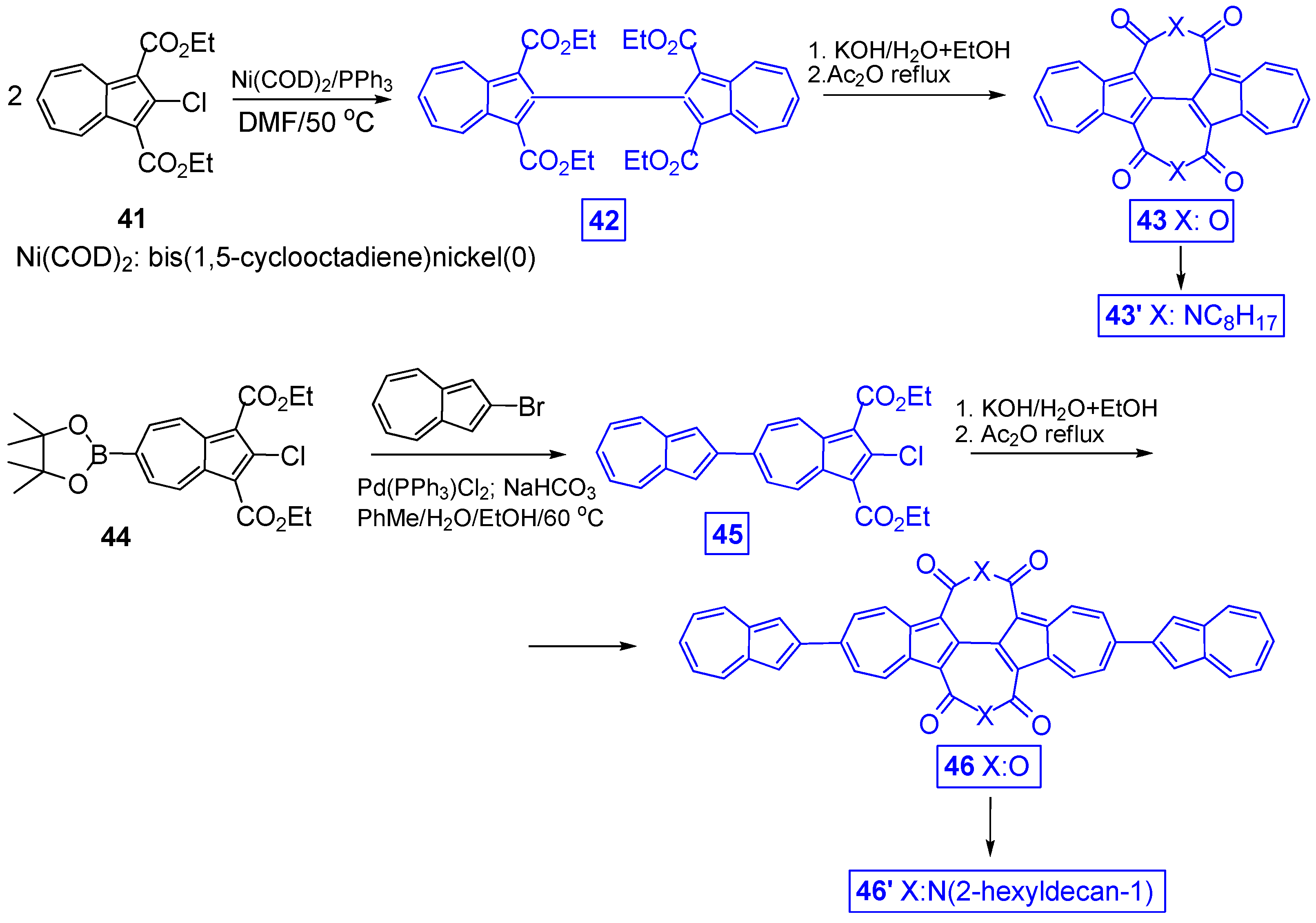
6. Instead of Conclusions
Funding
Institutional Review Board Statement
Informed Consent Statement
Data Availability Statement
Acknowledgments
Conflicts of Interest
References
- Zeller, K.-P. Houben Weyl, Methoden der Organischen Chemie; G. Thieme Verlag: Stuttgart, Germany; New York, NY, USA, 1985; Volume V/2c, pp. 258–263. [Google Scholar]
- Hanke, M.; Jutz, C. Synthese von 6,6′-biazulenyl. Synthesis 1980, 31–32. [Google Scholar] [CrossRef]
- Razus, A.C.; Pavel, C.; Lehadus, O.; Nica, S.; Corbu, A. Synthesis and properties of [1,6′]biazulenyl system. Tetrahedron 2008, 64, 1792–1797. [Google Scholar] [CrossRef]
- Shoji, T.; Yamamoto, A.; Shimomura, E.; Maruyama, M.; Ito, S.; Okujima, T.; Toyota, K.; Morita, N. Synthesis of 1,6′-Bi- and 1,6′:3,6′′-Terazulenes from 1-Pyridyl- and 1,3-Di(pyridyl)azulenes by the Ziegler–Hafner Method. Chem. Lett. 2013, 42, 638–640. [Google Scholar] [CrossRef]
- Iyoda, M.; Sato, K.; Oda, M. Nickel-catalyzed coupling of bromides of 1,6-methano[10]annulene and azulene. A facile synthesis of biannulene and bi-, ter-, quater-, and polyazulenes. Tetrahedron Lett. 1985, 26, 3829–3832. [Google Scholar] [CrossRef]
- Morita, T.; Takase, K. Synthesis of 1,1′-, 2,2′-, 1,2′-, and 2,6′-Biazulenes and Their Derivatives by Ullmann Reaction. Bull. Chem. Soc. Jpn. 1982, 55, 1144–1152. [Google Scholar] [CrossRef] [Green Version]
- Chen, A.H. Electrochemical Oxidation of 1,2-Disubstituted Azulenes. Proc. Natl. Sci. Counc. ROC(A) 1999, 23, 437–442. [Google Scholar]
- Totir, N.D.; Razus, A.C.; Nitu, C.; Lete, C.; Lupu, S. Electrochemical and Chemical Oxidation of Derivatives of Azulene. In Proceedings of the 189th Meeting of the Electrochemical Society, Phoenix, AZ, USA, 22–27 October 2000. [Google Scholar]
- Razus, A.C. Syntheses of polycyclic compounds by oxidative coupling of azulene-1-azoarenes. J. Chem. Soc. Perkin Trans. 1 2000, 6, 981–988. [Google Scholar] [CrossRef]
- Razus, A.C.; Nitu, C. Oxidative benzylic substitution of azulene-1-azo(4′-methylbenzene)s. J. Chem. Soc. Perkin Trans. 1 2000, 6, 989–994. [Google Scholar] [CrossRef]
- Razus, A.C.; Birzan, L.; Nae, S.; Tecuceanu, V.; Cimpeanu, V. 1,1’-Biazulene derivatives. Syntheses and reactions. Arkivoc 2002, II, 142–153. [Google Scholar] [CrossRef] [Green Version]
- Ho, T.-I.; Ku, C.-K.; Liu, R.S.H. Preparation of 1-arylazulenes through regioselective photoarylation of azulene with aryl iodides. Tetrahedron Lett. 2001, 42, 715–717. [Google Scholar] [CrossRef]
- Dyker, G.; Borowski, S.; Heiermann, J.; Körning, J.; Opwis, K.; Henkel, G.; Köckerling, M. First intermolecular palladium catalyzed arylation of an unfunctionalized aromatic hydrocarbon. J. Organomet. Chem. 2000, 606, 108–111. [Google Scholar] [CrossRef]
- Ito, S.; Okujima, T.; Morita, N. Preparation and Stille cross-coupling reaction of the first organotin reagents of azulenes. Easy access to poly(azulen-6-yl)benzene derivatives. J. Chem. Soc. Perkin Trans. 1 2002, 1896–1905. [Google Scholar] [CrossRef]
- Piers, E.; Yee, J.G.K.; Gladstone, P.L. CuCl-Mediated Intramolecular Oxidative Coupling of Aryl- and Alkenyltrimethylstannane Functions. Org. Lett. 2000, 2, 481–484. [Google Scholar] [CrossRef] [PubMed]
- Crombie, A.L.; Kane, J.L.; Shea, A.K.M.; Danheiser, R.L. Ring Expansion-Annulation Strategy for the Synthesis of Substituted Azulenes and Oligoazulenes. 2. Synthesis of Azulenyl Halides, Sulfonates, and Azulenylmetal Compounds and Their Application in Transition-Metal-Mediated Coupling Reactions. J. Org. Chem. 2004, 69, 8652–8667. [Google Scholar] [CrossRef] [PubMed]
- Ito, S.; Terazono, T.; Kubo, T.; Okujima, T.; Morita, N.; Murafuji, T.; Sugihara, Y.; Fujimori, K.; Kawakami, J.; Tajiri, A. Efficient preparation of 2-azulenylboronate and Miyaura-Suzuki cross-coupling reaction with aryl bromides for easy access to poly(2-azulenyl)benzenes. Tetrahedron 2004, 60, 5357–5366. [Google Scholar] [CrossRef]
- Yamaguchi, Y.; Ogawa, K.; Nakayama, K.-I.; Ohba, Y.; Katagiri, H. Terazulene: A High-Performance n-Type Organic Field-Effect Transistor Based on Molecular Orbital Distribution Control. J. Am. Chem. Soc. 2013, 135, 19095–19098. [Google Scholar] [CrossRef]
- Yamaguchi, Y.; Takubo, M.; Ogawa, K.; Nakayama, K.-I.; Koganezawa, T.; Katagiri, H. Terazulene Isomers: Polarity Change of OFETs through Molecular Orbital Distribution Contrast. J. Am. Chem. Soc. 2016, 138, 11335–11343. [Google Scholar] [CrossRef]
- Shibuya, Y.; Aonuma, K.; Kimura, T.; Kaneko, T.; Fujiwara, W.; Yamaguchi, Y.; Kumaki, D.; Tokito, S.; Katagiri, H. Linear Biazulene Isomers: Effects of Molecular and Packing Structure on Optoelectronic and Charge-Transport Properties. J. Phys. Chem. C 2020, 124, 4738–4746. [Google Scholar] [CrossRef]
- Xin, H.; Ge, C.; Yang, X.; Gao, H.; Yang, X.; Gao, X. Biazulene diimides: A new building block for organic electronic materials. Chem. Sci. 2016, 7, 6701–6705. [Google Scholar] [CrossRef] [Green Version]
- Xin, H.; Li, J.; Ge, C.; Yang, X.; Xue, T.; Gao, X. 6,6′-Diaryl-substituted biazulene diimides for solution-processable high-performance n-type organic semiconductors. Mater. Chem. Front. 2018, 2, 975–985. [Google Scholar] [CrossRef]
- Shoji, T.; Ito, S.; Toyota, K.; Yasunami, M.; Morita, N. The novel transition metal free synthesis of 1,1′-biazulene. Tetrahedron Lett. 2007, 48, 4999–5002. [Google Scholar] [CrossRef]
- Shoji, T.; Higashi, J.; Ito, S.; Toyota, K.; Asao, T.; Yasunami, M.; Fujimori, K.; Morita, N. Synthesis and Redox Behavior of 1-Azulenyl Sulfides and Efficient Synthesis of 1,1′-Biazulenes. Eur. J. Org. Chem. 2008, 1242–1252. [Google Scholar] [CrossRef]
- Neoh, K.G.; Kang, E.-T.; Tan, T. Chemical synthesis and characterization of electroactive and partially soluble polyazulene. Polym. Bull. 1988, 19, 325–331. [Google Scholar] [CrossRef]
- Grądzka, E.; Makowska, P.; Winkler, K. Chemically formed conducting polyazulene: From micro- to nanostructures. Synth. Met. 2018, 246, 115–121. [Google Scholar] [CrossRef]
- Wang, F.; Lai, Y.-H.; Kocherginsky, A.N.M.; Kosteski, Y.Y. The First Fully Characterized 1,3-Polyazulene: High Electrical Conductivity Resulting from Cation Radicals and Polycations Generated upon Protonation. Org. Lett. 2003, 5, 995–998. [Google Scholar] [CrossRef]
- Bargon, J.; Mohmand, S.; Waltman, R.J. Polyazulene, A Member of a New Class of Polymers. Mol. Cryst. Liq. Cryst. 1983, 93, 279–291. [Google Scholar] [CrossRef]
- Oprisanu, A.; Lazar, I.G.; Pop, M.D.; Ungureanu, E.-M.; Isopescu, R.; Birzan, L. Polyazulenes Based Materials for Heavy Metal Ions Detection. Rev. Chim. 2017, 68, 2215–2218. [Google Scholar] [CrossRef]
- Dias, J.R. Electronic and structural properties of biazulene, terazulene, and polyazulene isomers. J. Phys. Org. Chem. 2007, 20, 395–409. [Google Scholar] [CrossRef]
- Huang, J.; Huang, S.; Zhao, Y.; Feng, B.; Jiang, K.; Sun, S.; Ke, C.; Kymakis, E.; Zhuang, X. Azulene-Based Molecules, Polymers, and Frameworks for Optoelectronic and Energy Applications. Small Methods (Adv. Sci. News) 2020, 4, 2000628. [Google Scholar] [CrossRef]
- Sun, Q.; Hou, I.C.-Y.; Eimre, K.; Pignedoli, C.A.; Ruffieux, P.; Narita, A.; Fasel, R. On-surface synthesis of polyazulene with 2,6-connectivity. Chem. Commun. 2019, 55, 13466–13469. [Google Scholar] [CrossRef]
- Fan, Q.; Martin-Jimenez, D.; Ebeling, D.; Krug, C.K.; Brechmann, L.; Kohlmeyer, C.; Hilt, G.; Hieringer, W.; Schirmeisen, A.; Gottfried, J.M. Nanoribbons with Nonalternant Topology from Fusion of Polyazulene: Carbon Allotropes beyond Graphene. J. Am. Chem. Soc. 2019, 141, 17713–17720. [Google Scholar] [CrossRef] [PubMed]
- Shoji, T.; Okujima, T.; Ito, S. Development of Heterocycle-Substituted and Fused Azulenes in the Last Decade (2010–2020). Int. J. Mol. Sci. 2020, 21, 7087. [Google Scholar] [CrossRef] [PubMed]
- Fujimura, M.; Nakazawa, T.; Murata, I. A novel coupling reactiong of 1-azylylmethyltrimethylammonium iodide. Synthesis of 1,2-bis[1-azulyl)ethane and [2.2.2.2](1,3)azulenophane. Tetrahedron Lett. 1979, 20, 825–828. [Google Scholar] [CrossRef]
- Razus, A.C. Azulene Moiety as Electron Reservoir in Positively Charged Systems; A Short Survey. Symmetry 2021, 13, 526. [Google Scholar] [CrossRef]
- Stepanov, F.N.; Yurchenko, A.G. Condensation of Azulenes with Carboxylic Acid Anhydrides. Zh. Obshch. Khim. 1964, 34, 894–899. [Google Scholar]
- Hünig, S.; Ort, B. Mehrstufige reversible Redoxsysteme, XXXVII. Biazulenyle und ω,ω′-Biazulenylpolyene: Synthesen und spektroskopische Eigenschaften. Liebigs Ann. Chem. 1984, 12, 1905–1935. [Google Scholar] [CrossRef]
- Razus, A.C.; Dragu, E.A.; Nica, S.; Nicolescu, A. Reductive coupling of (azulen-1-yl)carbonyl compounds by low-valent titanium; pinacol/pinacolone rearrangement versus pinacol and alkene generation. Tetrahedron Lett. 2011, 52, 1858–1862. [Google Scholar] [CrossRef]
- Dragu, E.A.; Nica, S.; Raicopol, M.; Baran, A.; Anghel, D.-F.; Cojocaru, B.; Tarko, L.; Razus, A.C. Synthesis, solid-state photophysical properties and electropolymerization of novel diazulenyl ethenes. Tetrahedron Lett. 2012, 53, 2611–2614. [Google Scholar] [CrossRef]
- Dragu, E.A.; Razus, A.C. Ring size effect in McMurry cyclization of 1,ω-di((azulen-1-yl)-carbonyl) alkanes. Rev. Roum. Chim. 2020, 65, 83–88. [Google Scholar] [CrossRef]
- Shoji, T.; Araki, T.; Iida, N.; Kobayashi, Y.; Ohta, A.; Sekiguchi, R.; Ito, S.; Mori, S.; Okujima, T.; Yasunami, M. Molecular Transformation of 2-Methylazulenes: An Efficient and Practical Synthesis of 2-Formyl- and 2-Ethynylazulenes. Eur. J. Org. Chem. 2018, 9, 1145–1157. [Google Scholar] [CrossRef] [Green Version]
- Razus, A.C.; Nitu, C.; Tecuceanu, V.; Cimpeanu, V. 2-Substituted (Azulen-1-yl)ethenes. Eur. J. Org. Chem. 2003, 23, 4601–4610. [Google Scholar] [CrossRef]
- Shoji, T.; Araki, T.; Iida, N.; Miura, K.; Ohta, A.; Sekiguchi, R.; Ito, S.; Okujima, T. Synthesis of azulenophthalimides by phosphine-mediated annulation of 1,2-diformylazulenes with maleimides. Org. Chem. Front. 2019, 6, 195–204. [Google Scholar] [CrossRef]
- Kurotobi, K.; Tabata, H.; Miyauchi, M.; Murafuji, T.; Sugihara, Y. Coupling Reaction of Azulenyl-4,4,5,5-tetramethyl-1,3,2-dioxaborolanes with Haloazulenes. Synthesis 2002, 8, 1013–1016. [Google Scholar] [CrossRef]
- Xin, H.; Gao, X. Application of Azulene in Constructing Organic Optoelectronic Materials: New Tricks for an Old Dog. ChemPlusChem 2017, 82, 945–956. [Google Scholar] [CrossRef] [PubMed] [Green Version]
- Matano, Y.; Kon, Y.; Saito, A.; Kimura, Y.; Murafuji, T.; Imahori, H. Divergent Synthesis of 2,5-Diarylphospholes Based on Cross-coupling Reactions: Substituent Effects on the Optical and Redox Properties of Benzene–Phosphole–Benzene π-Systems. Chem. Lett. 2011, 40, 919–921. [Google Scholar] [CrossRef]
- Shoji, T.; Maruyama, A.; Araki, T.; Ito, S.; Okujima, T. Synthesis of 2- and 6-thienylazulenes by palladium-catalyzed direct arylation of 2- and 6-haloazulenes with thiophene derivatives. Org. Biomol. Chem. 2015, 13, 10191–10197. [Google Scholar] [CrossRef] [PubMed] [Green Version]
- Yamaguchi, Y.; Maruya, Y.; Katagiri, H.; Nakayama, K.-I.; Ohba, Y. Synthesis, Properties, and OFET Characteristics of 5,5′-Di(2-azulenyl)-2,2′-bithiophene (DAzBT) and 2,5-Di(2-azulenyl)-thieno[3,2-b]thiophene (DAzTT). Org. Lett. 2012, 14, 2316–2319. [Google Scholar] [CrossRef] [PubMed]
- Poronik, Y.M.; Mazur, L.M.; Samo’c, M.; Jacquemin, D.; Gryko, D.T. 2,5-Bis(azulenyl)pyrrolo[3,2-b]pyrroles—The key influence of the linkage position on the linear and nonlinear optical properties. J. Mater. Chem. C 2017, 5, 2620–2628. [Google Scholar] [CrossRef]
- Razus, A.C.; Birzan, L. Synthesis of azulenic compounds with a homo- or hetero-atomic double bond at position 1. Arkivoc 2018, IV, 1–56. [Google Scholar] [CrossRef]
- Löhr, H.G.; Vögtle, F.; Schuh, W.; Puff, H. Chromoionophore mit Azulen-Einheiten als Farbträger und π-Donor-Baustein. Chem. Ber. 1984, 117, 2839–2849. [Google Scholar] [CrossRef]
- Birzan, L.; Tecuceanu, V.; Cristea, M.; Draghici, C.C.; Hanganu, A.; Razus, A.C. New Benzo- and Dibenzo-Crown Ethers with (Azulen-1-yl)Vinyl Substituents. Rev. Chim. 2020, 71, 1–9. [Google Scholar] [CrossRef]
- Razus, A.C.; Birzan, L.; Tecuceanu, V.; Cristea, M.; Hanganu, A. Benzo- and dibenzo-crown ethers substituted with (azulene-1-yl) azo chromophores. Synthesis and properties. Rev. Roum. Chim. 2012, 57, 987–995. [Google Scholar]
- Shetti, V.S. Chemical syntheses and salient features of azulene-containing homo- and copolymers. Beilstein J. Org. Chem. 2021, 17, 2164–2185. [Google Scholar] [CrossRef] [PubMed]
- Wang, F.; Lai, Y.-H.; Han, M.Y. Post-Coordination of Multinuclear Transitional Metal Clusters to Azulene-Based Polymers: A Novel Strategy for Tuning Properties in π-Conjugated Polymers. Org. Lett. 2003, 5, 4791–4794. [Google Scholar] [CrossRef] [PubMed]
- Murai, M.; Amir, E.; Amir, R.J.; Hawker, C.J. Azulene-based conjugated polymers: Unique seven-membered ring connectivity leading to stimuli-responsiveness. Chem. Sci. 2012, 3, 2721–2725. [Google Scholar] [CrossRef]
- Hou, I.C.-Y.; Shetti, V.; Huang, S.-L.; Liu, K.-L.; Chao, C.-Y.; Lin, S.-C.; Lin, Y.-J.; Chen, L.-Y.; Luh, T.-Y. Poly[2(6)-aminoazulene]: Synthesis, photophysical properties, and proton conductivity. Org. Chem. Front. 2017, 4, 773–778. [Google Scholar] [CrossRef]
- Lete, C.; Esteban, B.M.; Kvarnström, C.; Razus, A.C.; Ivaska, A. Electrosynthesis and characterization of poly(2-[(E)-2-azulen-1-ylvinyl] thiophene) using polyazulene as model compound. Electrochimica Acta 2007, 52, 6476–6483. [Google Scholar] [CrossRef]
- Luhowy, R.; Keehn, P.M. Cyclophanes V. anti-[2.2] (2,6) azulenophane. Tetrahedron Lett. 1976, 17, 1043–1046. [Google Scholar] [CrossRef]
- Kato, N.; Fukazawa, Y.; Itô, S. Synthesis of anti-[2,2] (2,6) azulenophane from 5-methyltropolone. Tetrahedron Lett. 1976, 17, 2045–2048. [Google Scholar] [CrossRef]
- Georghiou, P.E.; Rahman, S.; Alodhayb, A.; Nishimura, H.; Lee, J.; Wakamiya, A.; Scott, L.T. Calixazulenes: Azulene-based calixarene analogues—An overview and recent supramolecular complexation studies. Beilstein J. Org. Chem. 2018, 14, 2488–2494. [Google Scholar] [CrossRef] [Green Version]
- Georghiou, P.E.; Schneider, C.; Shamov, G.; Lash, T.D.; Rahman, S.; Giddings, D.S. Mechanochemical formation of a 1:1 C60: Tert-butylcalix[4]azulene supramolecular complex: Solid-state NMR and DFT computational studies. Supramol. Chem. 2016, 28, 396–402. [Google Scholar] [CrossRef]
- Asao, T.; Ito, S.; Morita, N. Synthesis of [1.1.1.1] (1,3)-2-methoxyazulenophane: Azulene analogue of calixarenes. Tetrahedron Lett. 1988, 29, 2839–2842. [Google Scholar] [CrossRef]
- Colby, D.A.; Lash, T.D. Calix[4]azulene. J. Org. Chem. 2002, 67, 1031–1033. [Google Scholar] [CrossRef] [PubMed]
- Lash, T.D.; El-Beck, J.A.; Colby, D.A. Synthesis of a Tetraazulene Porphodimethene Analogue. J. Org. Chem. 2009, 74, 8830–8833. [Google Scholar] [CrossRef] [PubMed]
- Shoji, T.; Higashi, J.; Ito, S.; Toyota, K.; Iwamoto, T.; Morita, N. Synthesis and Properties of Ferrocenylmethylene-Bridged Calix[4]azulene and a New Example of Bis(1-azulenyl)ferrocenylmethylium Ion. Eur. J. Org. Chem. 2009, 34, 5948–5952. [Google Scholar] [CrossRef]
- Sprutta, N.; Maćkowiak, S.; Kocik, M.; Szterenberg, L.; Lis, T.; Latos-Grażyński, L. Tetraazuliporphyrin Tetracation. Angew. Chem. Int. Ed. Engl. 2009, 48, 3337–3341. [Google Scholar] [CrossRef]
- Kurotobi, K.; Kim, K.S.; Noh, S.B.; Kim, D.; Osuka, A. A Quadruply Azulene-Fused Porphyrin with Intense Near-IR Absorption and a Large Two-Photon Absorption Cross Section. Angew. Chem. Int. Ed. Engl. 2006, 45, 3944–3947. [Google Scholar] [CrossRef]
- Kurotobi, K.; Osuka, A. Synthesis of meso-Azulenylporphyrins. Org. Lett. 2005, 7, 1055–1058. [Google Scholar] [CrossRef]
- Zhang, Z.; Ferrence, G.M.; Lash, T.D. adj-Diazuliporphyrins, a New Family of Dicarbaporphyrinoids with Unprecedented Mesoionic Characteristics. Org. Lett. 2009, 11, 101–104. [Google Scholar] [CrossRef]
- Lash, T.D. Out of the Blue! Azuliporphyrins and Related Carbaporphyrinoid Systems. Accounts Chem. Res. 2016, 49, 471–482. [Google Scholar] [CrossRef]
- Sprutta, N.; Świderska, M.; Latos-Grażyński, L. Dithiadiazuliporphyrin: Facile Generation of Carbaporphyrinoid Cation Radical and Dication. J. Am. Chem. Soc. 2005, 127, 13108–13109. [Google Scholar] [CrossRef] [PubMed]
- Sprutta, N.; Siczek, M.; Latos-Grażyński, L.; Pawlicki, M.; Szterenberg, A.L.; Lis, T. Dioxadiazuliporphyrin: A Near-IR Redox Switchable Chromophore. J. Org. Chem. 2007, 72, 9501–9509. [Google Scholar] [CrossRef] [PubMed]





























Publisher’s Note: MDPI stays neutral with regard to jurisdictional claims in published maps and institutional affiliations. |
© 2022 by the author. Licensee MDPI, Basel, Switzerland. This article is an open access article distributed under the terms and conditions of the Creative Commons Attribution (CC BY) license (https://creativecommons.org/licenses/by/4.0/).
Share and Cite
Razus, A.C. Dancing with Azulene. Symmetry 2022, 14, 297. https://doi.org/10.3390/sym14020297
Razus AC. Dancing with Azulene. Symmetry. 2022; 14(2):297. https://doi.org/10.3390/sym14020297
Chicago/Turabian StyleRazus, Alexandru C. 2022. "Dancing with Azulene" Symmetry 14, no. 2: 297. https://doi.org/10.3390/sym14020297
APA StyleRazus, A. C. (2022). Dancing with Azulene. Symmetry, 14(2), 297. https://doi.org/10.3390/sym14020297