Sweet Boron: Boron-Containing Sugar Derivatives as Potential Agents for Boron Neutron Capture Therapy
Abstract
:1. Introduction
2. Boron-Containing Carbohydrate Derivatives: An Overview
3. Sugars and Boronic acids
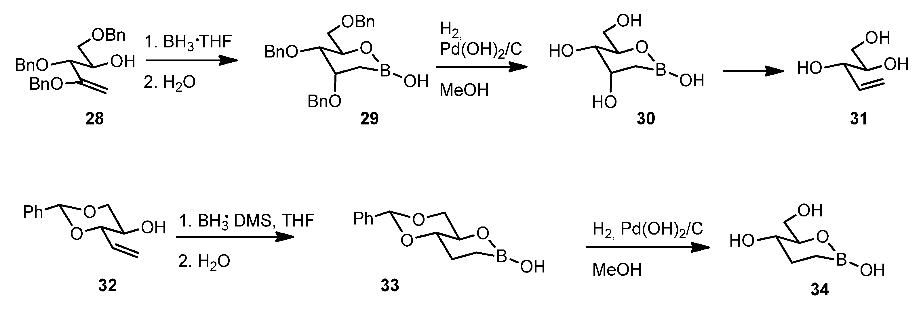
3.1. Sugar-Containing Boronic Acids
3.2. Exploiting the Interaction between Sugar and Boronic Acids
4. Sugars and Boron Clusters
4.1. Sugar-Conjugated Carboranes
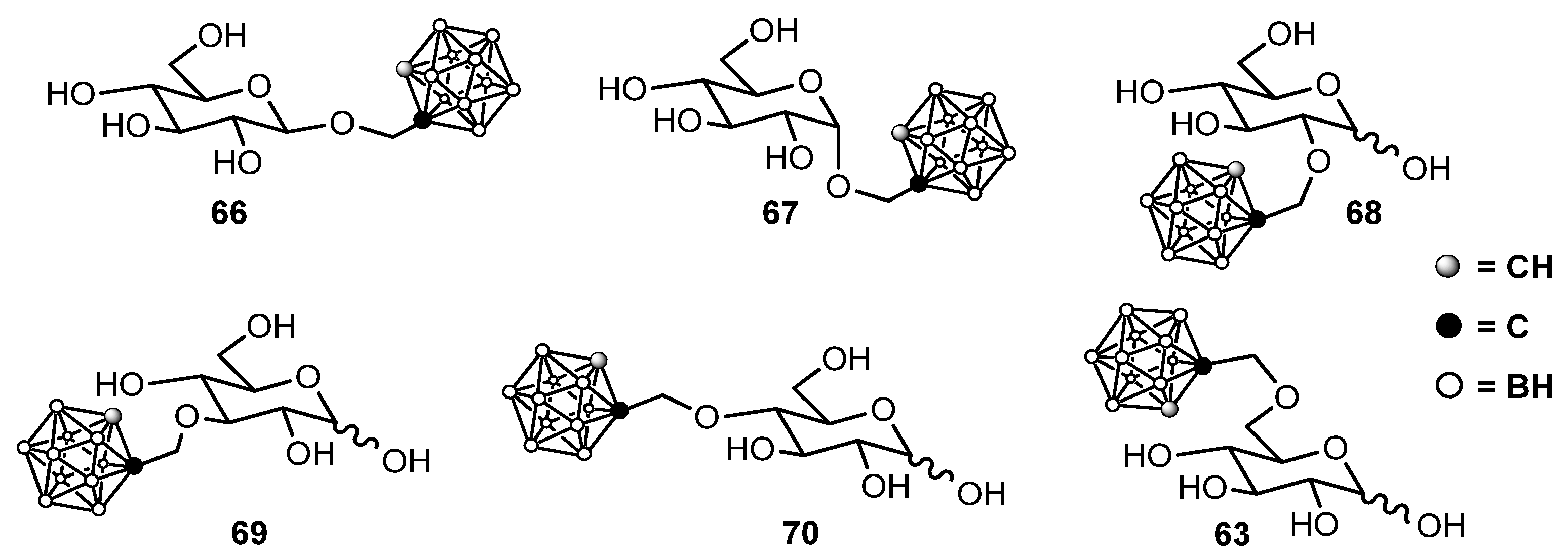
4.2. Sugar-Conjugated Dodecaborates
4.3. Sugars and Metallacarboranes
5. Conclusions
Author Contributions
Funding
Institutional Review Board Statement
Informed Consent Statement
Data Availability Statement
Conflicts of Interest
References
- Locher, G.L. Biological Effects and Therapeutic Possibilities of Neutrons. Am. J. Roentgenol. 1936, 36, 666–672. [Google Scholar]
- Farr, L.E.; Robertson, J.S.; Stickley, E. Physics and Physiology of Neutron-Capture Therapy. Proc. Natl. Acad. Sci. USA 1954, 40, 1087–1093. [Google Scholar] [CrossRef] [Green Version]
- Asbury, A.K.; Ojemann, R.G.; Nielsen, S.L.; Sweet, W.H. Neuropathologic Study of Fourteen Cases of Malignant Brain Tumor Treated By Boron-10 Slow Neutron Capture Radiation. J. Neuropathol. Exp. Neurol. 1972, 31, 278–303. [Google Scholar] [CrossRef]
- Hatanaka, H. Clinical Results of Boron Neutron Capture Therapy. In Neutron Beam Design, Development, and Performance for Neutron Capture Therapy; Springer: Boston, MA, USA, 1990; pp. 15–21. [Google Scholar] [CrossRef]
- Grimes, R.N. Synthesis and Serendipity in Boron Chemistry: A 50 Year Perspective. J. Organomet. Chem. 2013, 747, 4–15. [Google Scholar] [CrossRef]
- Grimes, R.N. Boron Clusters Come of Age. J. Chem. Ed. 2004, 81, 657–672. [Google Scholar] [CrossRef] [Green Version]
- Barth, R.F.; Zhang, Z.; Liu, T. A Realistic Appraisal of Boron Neutron Capture Therapy as a Cancer Treatment Modality. Cancer Commun. 2018, 38, 36. [Google Scholar] [CrossRef] [Green Version]
- Dymova, M.A.; Taskaev, S.Y.; Richter, V.A.; Kuligina, E.V. Boron Neutron Capture Therapy: Current Status and Future Perspectives. Cancer Commun. 2020, 40, 406–421. [Google Scholar] [CrossRef]
- Barth, R.F.; Mi, P.; Yang, W. Boron Delivery Agents for Neutron Capture Therapy of Cancer. Cancer Commun. 2018, 38, 35. [Google Scholar] [CrossRef] [Green Version]
- Soloway, A.H.; Hatanaka, H.; Davis, M.A. Penetration of Brain and Brain Tumor. V II. Tumor-Binding Sulfhydryl Boron Compounds. J. Med. Chem. 1967, 10, 714–717. [Google Scholar] [CrossRef]
- Soloway, A.H.; Tjarks, W.; Barnum, B.A.; Rong, F.-G.; Barth, R.F.; Codogni, I.M.; Wilson, J.G. The Chemistry of Neutron Capture Therapy. Chem. Rev. 1998, 98, 1515–1562. [Google Scholar] [CrossRef]
- Barth, R.F.; Vicente, M.G.H.; Harling, O.K.; Kiger, W.S.; Riley, K.J.; Binns, P.J.; Wagner, F.M.; Suzuki, M.; Aihara, T.; Kato, I.; et al. Current Status of Boron Neutron Capture Therapy of High Grade Gliomas and Recurrent Head and Neck Cancer. Radiat. Oncol. 2012, 7, 146. [Google Scholar] [CrossRef] [Green Version]
- Pitochelli, A.R.; Hawthorne, F.M. The Isolation of the Icosahedral B12H12−2 Ion. J. Am. Chem. Soc. 1960, 82, 3228–3229. [Google Scholar] [CrossRef]
- Heying, T.L.; Ager, J.W.; Clark, S.L.; Mangold, D.J.; Goldstein, H.L.; Hillman, M.; Polak, R.J.; Szymanski, J.W. A New Series of Organoboranes. I. Carboranes from the Reaction of Decaborane with Acetylenic Compounds. Inorg. Chem. 1963, 2, 1089–1092. [Google Scholar] [CrossRef]
- Wang, W.; Wang, X.; Cao, J.; Liu, J.; Qi, B.; Zhou, X.; Zhang, S.; Gabel, D.; Nau, W.M.; Assaf, K.I.; et al. The Chaotropic Effect as an Orthogonal Assembly Motif for Multi-Responsive Dodecaborate-Cucurbituril Supramolecular Networks. Chem. Commun. 2018, 54, 2098–2101. [Google Scholar] [CrossRef] [Green Version]
- Sivaev, I.B.; Kulikova, N.Y.; Nizhnik, E.A.; Vichuzhanin, M.V.; Starikova, Z.A.; Semioshkin, A.A.; Bregadze, V.I. Practical Synthesis of 1,4-Dioxane Derivative of the Closo-Dodecaborate Anion and Its Ring Opening with Acetylenic Alkoxides. J. Organomet. Chem. 2008, 693, 519–525. [Google Scholar] [CrossRef]
- Maurer, J.L.; Serino, A.J.; Hawthorne, M.F. Hydrophilically Augmented Glycosyl Carborane Derivatives for Incorporation in Antibody Conjugation Reagents. Organometallics 1988, 7, 2519–2524. [Google Scholar] [CrossRef]
- Maurer, J.L.; Berchier, F.; Serino, A.J.; Knobler, C.B.; Hawthorne, M.F. Glycosylcarborane Derivatives and the Determination of the Absolute Configuration of a Diastereomeric Triol from X-Ray Diffraction. J. Org. Chem. 1990, 55, 838–843. [Google Scholar] [CrossRef]
- Tjarks, W.; Anisuzzaman, A.K.M.; Liu, L.; Soloway, A.H.; Barth, R.F.; Perkins, D.J.; Adams, D.M. Synthesis and in Vitro Evaluation of Boronated Uridine and Glucose Derivatives for Boron Neutron Capture Therapy. J. Med. Chem. 1992, 35, 1628–1633. [Google Scholar] [CrossRef]
- Sneath, R.L.J.; Wright, J.E.; Soloway, A.H.; O’Keefe, S.M.; Dey, A.S.; Smolnycki, W.D. Protein-Binding Polyhedral Boranes. J. Med. Chem. 1976, 19, 1290–1294. [Google Scholar] [CrossRef]
- Tietze, L.F.; Bothe, U. Ortho-Carboranyl Glycosides of Glucose, Mannose, Maltose and Lactose For. Chem. A Eur. J. 1998, 4, 1179–1183. Available online: https://onlinelibrary.wiley.com/doi/10.1002/chem.200390148 (accessed on 1 November 2021).
- Giovenzana, G.B.; Lay, L.; Monti, D.; Palmisano, G.; Panza, L. Synthesis of Carboranyl Derivatives of Alkynyl Glycosides as Potential BNCT Agents. Tetrahedron 1999, 55, 14123–14136. [Google Scholar] [CrossRef]
- Tietze, L.F.; Bothe, U.; Griesbach, U.; Nakaichi, M.; Hasegawa, T.; Nakamura, H.; Yamamoto, Y. Ortho-Carboranyl Glycosides for the Treatment of Cancer by Boron Neutron Capture Therapy. Bioorg. Med. Chem. 2001, 9, 1747–1752. [Google Scholar] [CrossRef]
- Tietze, L.F.; Bothe, U.; Griesbach, U.; Nakaichi, M.; Hasegawa, T.; Nakamura, H.; Yamamoto, Y. Carboranyl Bisglycosides for the Treatment of Cancer by Boron Neutron Capture Therapy. ChemBioChem 2001, 2, 326–334. [Google Scholar] [CrossRef]
- Tietze, L.F.; Griesbach, U.; Schuberth, I.; Bothe, U.; Marra, A.; Dondoni, A. Novel Carboranyl C-Glycosides for the Treatment of Cancer by Boron Neutron Capture Therapy. Chem. A Eur. J. 2003, 9, 1296–1302. [Google Scholar] [CrossRef]
- Donati, A.; Ristori, S.; Bonechi, C.; Panza, L.; Martini, G.; Rossi, C. Evidences of Strong C-H····O Bond in an o-Carboranyl β-Lactoside in Solution. J. Am. Chem. Soc. 2002, 124, 8778–8779. [Google Scholar] [CrossRef]
- Morandi, S.; Ristori, S.; Berti, D.; Panza, L.; Becciolini, A.; Martini, G. Association of Sugar-Based Carboranes with Cationic Liposomes: An Electron Spin Resonance and Light Scattering Study. Biochim. Biophys. Acta Biomembr. 2004, 1664, 53–63. [Google Scholar] [CrossRef] [Green Version]
- Lechtenberg, B.; Gabel, D. Synthesis of a (B12H11S)2- Containing Glucuronoside as Potential Prodrug for BNCT. J. Organomet. Chem. 2005, 690, 2780–2782. [Google Scholar] [CrossRef]
- Orlova, A.V.; Kononov, L.O.; Kimel, B.G.; Sivaev, B.I.; Bregadze, V.I. Conjugates of Polyhedral Boron Compounds with Carbohydrates. 4. Hydrolytic Stability of Carborane-Lactose Conjugates Depends on the Structure of a Spacer between the Carborane Cage and Sugar Moiety. Appl. Organomet. Chem. 2006, 20, 416–420. [Google Scholar] [CrossRef]
- Marepally, S.R.; Yao, M.L.; Kabalka, G.W. Boronated Carbohydrate Derivatives as Potential Boron Neutron Capture Therapy Reagents. Future Med. Chem. 2013, 5, 693–704. [Google Scholar] [CrossRef]
- Satapathy, R.; Dash, B.P.; Mahanta, C.S.; Swain, B.R.; Jena, B.B.; Hosmane, N.S. Glycoconjugates of Polyhedral Boron Clusters. J. Organomet. Chem. 2015, 798, 13–23. [Google Scholar] [CrossRef] [Green Version]
- See also Hosmane, N.S.; Maguire, J.A.; Zhu, Y.; Takagaki, M. Major Neutron Capture Therapy (NCT) Drug Prototypes. In Boron and Gadolinium Neutron Capture Therapy for Cancer Treatment; World Scientific: Singapore, 2012; pp. 41–98. [Google Scholar] [CrossRef] [Green Version]
- Zharkov, D.O.; Yudkina, A.V.; Riesebeck, T.; Loshchenova, P.S.; Mostovich, E.A.; Dianov, G.L. Boron-Containing Nucleosides as Tools for Boron-Neutron Capture Therapy. Am. J. Cancer Res. 2021, 11, 4668–4682. [Google Scholar]
- Hall, D.G. Structure, Properties, and Preparation of Boronic Acid Derivatives. Overview of Their Reactions and Applications. In Boronic Acids: Preparation and Applications in Organic Synthesis, Medicine and Materials, 2nd ed.; Hall, D.G., Ed.; Wiley-VCH: Weinheim, Germany, 2011; pp. 1–133. Available online: https://onlinelibrary.wiley.com/doi/10.1002/9783527639328.ch1 (accessed on 1 November 2021).
- Matteson, D.S. Functional Group Compatibilities in Boronic Ester Chemistry. J. Organomet. Chem. 1999, 581, 51–65. [Google Scholar] [CrossRef]
- Itoh, T.; Tamura, K.; Ueda, H.; Tanaka, T.; Sato, K.; Kuroda, R.; Aoki, S. Design and Synthesis of Boron Containing Monosaccharides by the Hydroboration of d-Glucal for Use in Boron Neutron Capture Therapy (BNCT). Bioorganic Med. Chem. 2018, 26, 5922–5933. [Google Scholar] [CrossRef]
- Imperio, D.; Del Grosso, E.; Fallarini, S.; Lombardi, G.; Panza, L. Anomeric Sugar Boronic Acid Analogues as Potential Agents for Boron Neutron Capture Therapy. Beilstein J. Org. Chem. 2019, 15, 1355–1359. [Google Scholar] [CrossRef] [Green Version]
- Ferrier, R.J. The Interaction of Phenylboronic Acid with Hexosides. J. Chem. Soc. 1961, 2325–2330. [Google Scholar] [CrossRef]
- Heß, D.; Klüfers, P. Phenylboronic Acid Esters of the Common 2-Deoxy-Aldoses. Carbohydr. Res. 2011, 346, 1752–1759. [Google Scholar] [CrossRef]
- Cross, G.G.; Whitfield, D.M. Simplifying Oligosaccharide Synthesis: Boronate Diesters as Cleavable Protecting Groups. Synlett 1998, 487–488. [Google Scholar] [CrossRef]
- Liljebris, C.; Nilsson, B.M.; Resul, B.; Hacksell, U. Regio- and Stereoselective Reactions of 17-Phenyl-18,19,20-Trinorprostaglandin F2α Isopropyl Ester. J. Org. Chem. 1996, 61, 4028–4034. [Google Scholar] [CrossRef]
- Zhai, W.; Sun, X.; James, T.D.; Fossey, J.S. Boronic Acid-Based Carbohydrate Sensing. Chem. Ann. Asian J. 2015, 10, 1836–1848. [Google Scholar] [CrossRef]
- Matsumoto, A.; Sato, N.; Kataoka, K.; Miyahara, Y. Noninvasive Sialic Acid Detection at Cell Membrane by Using Phenylboronic Acid Modified Self-Assembled Monolayer Gold Electrode. J. Am. Chem. Soc. 2009, 131, 12022–12023. [Google Scholar] [CrossRef]
- Wang, J.; Wu, W.; Zhang, Y.; Wang, X.; Qian, H.; Liu, B.; Jiang, X. The Combined Effects of Size and Surface Chemistry on the Accumulation of Boronic Acid-Rich Protein Nanoparticles in Tumors. Biomaterials 2014, 35, 866–878. [Google Scholar] [CrossRef]
- Nomoto, T.; Yao, Y.; Inoue, Y.; Suzuki, M.; Kanamori, K.; Takemoto, H.; Matsui, M.; Tomoda, K.; Nishiyama, N. Fructose-Functionalized Polymers to Enhance Therapeutic Potential of p-Boronophenylalanine for Neutron Capture Therapy. J. Control. Release 2021, 332, 184–193. [Google Scholar] [CrossRef]
- Zelenetskii, A.N.; Uspenskii, S.; Zaboronok, A.; Cherkaev, G.; Shchegolihin, A.; Mathis, B.J.; Selyanin, M.; Yamamoto, T.; Matsumura, A. Polycomplexes of Hyaluronic Acid and Borates in a Solid State and Solution: Synthesis, Characterization and Perspectives of Application in Boron Neutron Capture Therapy. Polymers 2018, 10, 181. [Google Scholar] [CrossRef] [Green Version]
- Mullapudi, S.S.; Mitra, D.; Li, M.; Kang, E.T.; Chiong, E.; Neoh, K.G. Potentiating Anti-Cancer Chemotherapeutics and Antimicrobials: Via Sugar-Mediated Strategies. Mol. Syst. Des. Eng. 2020, 5, 772–791. [Google Scholar] [CrossRef]
- Fu, J.; Yang, J.; Seeberger, P.H.; Yin, J. Glycoconjugates for Glucose Transporter-Mediated Cancer-Specific Targeting and Treatment. Carbohydr. Res. 2020, 498, 108195. [Google Scholar] [CrossRef]
- Stadlbauer, S.; Lönnecke, P.; Welzel, P.; Hey-Hawkins, E. Bis-Carbaborane-Bridged Bis-Glycophosphonates as Boron-Rich Delivery Agents for BNCT. Eur. J. Org. Chem. 2010, 3129–3139. [Google Scholar] [CrossRef]
- Frank, R.; Boehnke, S.; Aliev, A.; Hey-Hawkins, E. From Ortho-Carbaborane-9-Thiol towards New Building Blocks. Polyhedron 2012, 39, 9–13. [Google Scholar] [CrossRef]
- Frank, R.; Hey-Hawkins, E. A Convenient Route towards Deoxygalactosyl-Functionalised Ortho-Carbaborane: Synthesis of a Building Block for Peptide Conjugation. J. Organomet. Chem. 2015, 798, 46–50. [Google Scholar] [CrossRef]
- Kellert, M.; Friedrichs, J.S.J.; Ullrich, N.A.; Feinhals, A.; Tepper, J.; Lönnecke, P.; Hey-Hawkins, E. Modular Synthetic Approach to Carboranyl-Biomolecules Conjugates. Molecules 2021, 26, 2057. [Google Scholar] [CrossRef]
- Ronchi, S.; Prosperi, D.; Compostella, F.; Panza, L. Synthesis of Novel Carborane-Hybrids Based on a Triazine Scaffold for Boron Neutron Capture Therapy. Synlett 2004, 2004, 1007–1010. [Google Scholar] [CrossRef]
- Kellert, M.; Worm, D.J.; Hoppenz, P.; Sárosi, M.B.; Lönnecke, P.; Riedl, B.; Koebberling, J.; Beck-Sickinger, A.G.; Hey-Hawkins, E. Modular Triazine-Based Carborane-Containing Carboxylic Acids-Synthesis and Characterisation of Potential Boron Neutron Capture Therapy Agents Made of Readily Accessible Building Blocks. Dalt. Trans. 2019, 48, 10834–10844. [Google Scholar] [CrossRef] [Green Version]
- Kellert, M.; Hoppenz, P.; Lönnecke, P.; Worm, D.J.; Riedl, B.; Koebberling, J.; Beck-Sickinger, A.G.; Hey-Hawkins, E. Tuning a Modular System-Synthesis and Characterisation of a Boron-Rich: S -Triazine-Based Carboxylic Acid and Amine Bearing a Galactopyranosyl Moiety. Dalt. Trans. 2020, 49, 57–69. [Google Scholar] [CrossRef] [Green Version]
- Kellert, M.; Lönnecke, P.; Riedl, B.; Koebberling, J.; Hey-Hawkins, E. Enlargement of a Modular System-Synthesis and Characterization of an s-Triazine-Based Carboxylic Acid Ester Bearing a Galactopyranosyl Moiety and an Enormous Boron Load. Molecules 2019, 24, 3288. [Google Scholar] [CrossRef] [Green Version]
- Worm, D.J.; Hoppenz, P.; Els-Heindl, S.; Kellert, M.; Kuhnert, R.; Saretz, S.; Köbberling, J.; Riedl, B.; Hey-Hawkins, E.; Beck-Sickinger, A.G. Selective Neuropeptide y Conjugates with Maximized Carborane Loading as Promising Boron Delivery Agents for Boron Neutron Capture Therapy. J. Med. Chem. 2020, 63, 2358–2371. [Google Scholar] [CrossRef]
- Henriksson, R.; Capala, J.; Michanek, A.; Lindahl, S.Å.; Salford, L.G.; Franzén, L.; Blomquist, E.; Westlin, J.E.; Bergenheim, A.T. Boron Neutron Capture Therapy (BNCT) for Glioblastoma Multiforme: A Phase II Study Evaluating a Prolonged High-Dose of Boronophenylalanine (BPA). Radiother. Oncol. 2008, 88, 183–191. [Google Scholar] [CrossRef]
- Matovic, J.; Jarvinen, J.; Bland, H.C.; Sokka, I.K.; Imlimthan, S.; Huttunen, K.M.; Timonen, J.; Peraniemi, S.; Aitio, O.; Airaksinen, A.J.; et al. Addressing the Biochemical Foundations of a Glucose-Based “Trojan Horse”-Strategy to Boron Neutron Capture Therapy: From Chemical Synthesis to in Vitro Assessment. Mol. Pharm. 2020, 17, 3885–3899. [Google Scholar] [CrossRef]
- Matović, J.; Järvinen, J.; Sokka, I.K.; Imlimthan, S.; Raitanen, J.E.; Montaser, A.; Maaheimo, H.; Huttunen, K.M.; Peräniemi, S.; Airaksinen, A.J.; et al. Exploring the Biochemical Foundations of a Successful GLUT1-Targeting Strategy to BNCT: Chemical Synthesis and in Vitro Evaluation of the Entire Positional Isomer Library of Ortho-Carboranylmethyl-Bearing Glucoconjugates. Mol. Pharm. 2021, 18, 285–304. [Google Scholar] [CrossRef]
- Ruan, Z.; Yuan, P.; Liu, L.; Xing, T.; Yan, L. Carborane and Cyanine Conjugated Galactose Targeted Amphiphilic Copolymers for Potential near Infrared Imaging-Guided Boron Neutron Capture Therapy (BNCT). Int. J. Polym. Mater. Polym. Biomater. 2018, 67, 720–726. [Google Scholar] [CrossRef]
- Imperio, D.; Muz, B.; Azab, A.K.; Fallarini, S.; Lombardi, G.; Panza, L. A Short and Convenient Synthesis of Closo-Dodecaborate Sugar Conjugates. Eur. J. Org. Chem. 2019, 7228–7232. [Google Scholar] [CrossRef]
- Tsurubuchi, T.; Shirakawa, M.; Kurosawa, W.; Matsumoto, K.; Ubagai, R.; Umishio, H.; Suga, Y.; Yamazaki, J.; Arakawa, A.; Maruyama, Y.; et al. Evaluation of a Novel Boron-Containing α-D-Mannopyranoside for BNCT. Cells 2020, 9, 1277. [Google Scholar] [CrossRef]
- Tenboron, O.Y.; Leppänen, A.; Ekholm, F.S.; Helin, J.; Salo, H.; Kanerva, A. Conjugates Comprising an Anti-EGFR1 Antibody. Patent WO2015189477A1. 2015. Available online: https://worldwide.espacenet.com/patent/search/family/053514202/publication/WO2015189477A1?q=wo2015189477 (accessed on 1 November 2021).
- Dash, B.P.; Satapathy, R.; Swain, B.R.; Mahanta, C.S.; Jena, B.B.; Hosmane, N.S. Cobalt bis(dicarbollide) anion and its derivatives. J. Organomet. Chem. 2017, 849–850, 170–194. [Google Scholar] [CrossRef]
- Merhi, T.; Jonchère, A.; Girard, L.; Diat, O.; Nuez, M.; Viñas, C.; Bauduin, P. Highlights on the Binding of Cobalta-Bis-(Dicarbollide) with Glucose Units. Chem. Eur. J. 2020, 26, 13935. [Google Scholar] [CrossRef] [PubMed]
- Assaf, K.I.; Begaj, B.; Frank, A.; Nilam, M.; Mougharbel, A.S.; Kortz, U.; Nekvinda, J.; Grüner, B.; Gabel, D.; Nau, W.M. High-Affinity Binding of Metallacarborane Cobalt Bis(dicarbollide) Anions to Cyclodextrins and Application to Membrane Translocation. J. Org. Chem. 2019, 84, 11790–11798. [Google Scholar] [CrossRef] [PubMed]





















Publisher’s Note: MDPI stays neutral with regard to jurisdictional claims in published maps and institutional affiliations. |
© 2022 by the authors. Licensee MDPI, Basel, Switzerland. This article is an open access article distributed under the terms and conditions of the Creative Commons Attribution (CC BY) license (https://creativecommons.org/licenses/by/4.0/).
Share and Cite
Imperio, D.; Panza, L. Sweet Boron: Boron-Containing Sugar Derivatives as Potential Agents for Boron Neutron Capture Therapy. Symmetry 2022, 14, 182. https://doi.org/10.3390/sym14020182
Imperio D, Panza L. Sweet Boron: Boron-Containing Sugar Derivatives as Potential Agents for Boron Neutron Capture Therapy. Symmetry. 2022; 14(2):182. https://doi.org/10.3390/sym14020182
Chicago/Turabian StyleImperio, Daniela, and Luigi Panza. 2022. "Sweet Boron: Boron-Containing Sugar Derivatives as Potential Agents for Boron Neutron Capture Therapy" Symmetry 14, no. 2: 182. https://doi.org/10.3390/sym14020182
APA StyleImperio, D., & Panza, L. (2022). Sweet Boron: Boron-Containing Sugar Derivatives as Potential Agents for Boron Neutron Capture Therapy. Symmetry, 14(2), 182. https://doi.org/10.3390/sym14020182
