Lamellar Tetragonal Symmetry of Amphiphilic Thermotropic Ionic Liquid Crystals in the Framework of Other Closely Related Highly Ordered Structures
Abstract
1. Introduction
2. Quaternary Ammonium Salts
3. Cyclic Diamine and Polyamines Salts
4. Pyrrolidinium and Piperidinium Salts
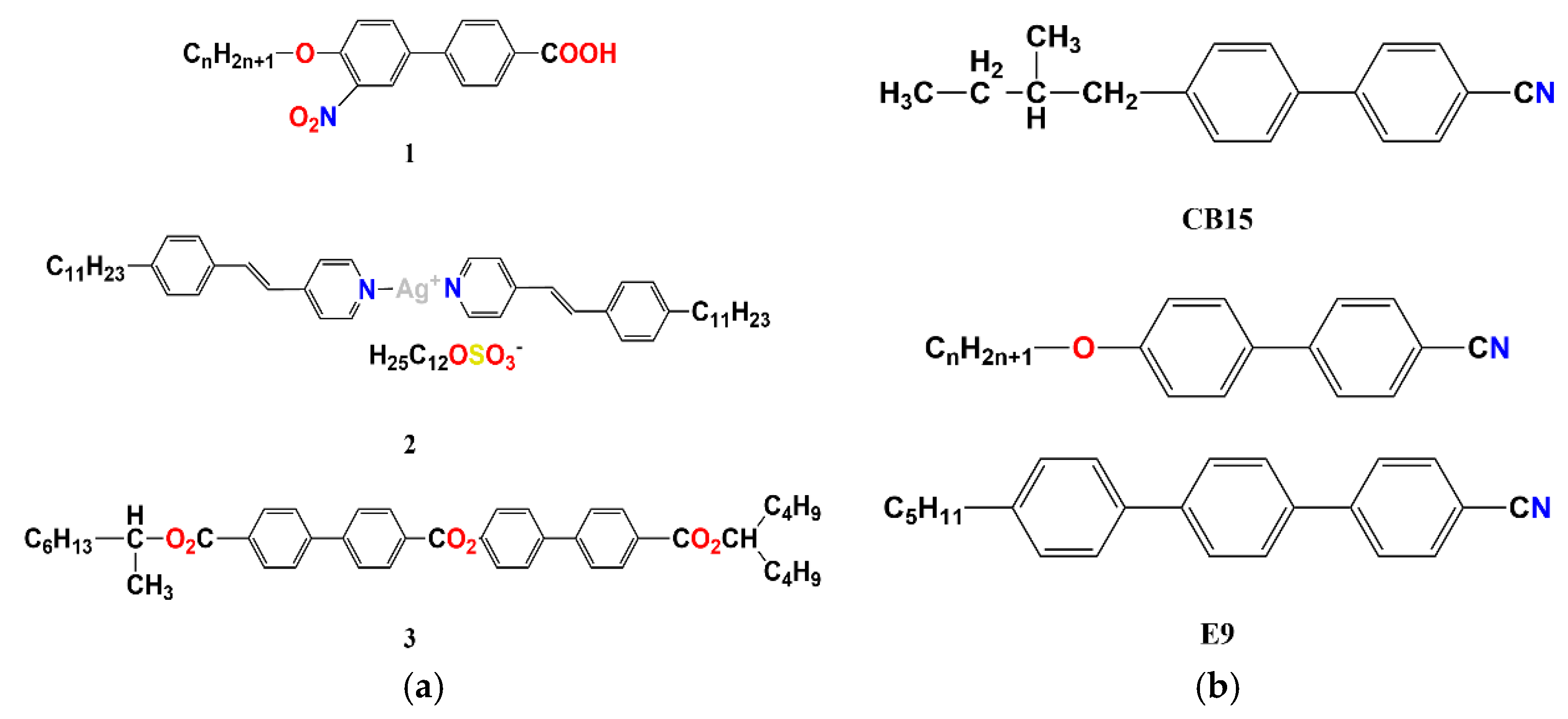
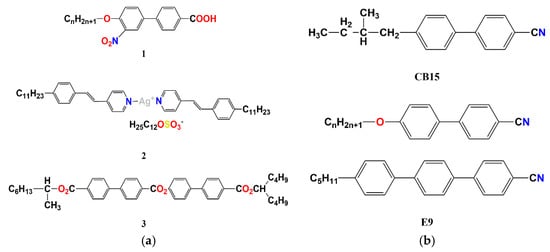
5. Aromatic Polar Heads
6. Thermal Behavior
7. Conclusions
Author Contributions
Funding
Institutional Review Board Statement
Informed Consent Statement
Acknowledgments
Conflicts of Interest
References
- Goodby, J.W.; Collings, P.J.; Kato, T.; Tschierske, C.; Gleeson, H.; Raynes, P.; Vill, V. Handbook of Liquid Crystals, 8 Volume Set (Vol. 1); John Wiley & Sons: Hoboken, NJ, USA, 2014; Volume 3, pp. 154–196. [Google Scholar]
- De Vries, A.; Saeva, F.D. Liquid Crystals—The Fourth State of Matter; Marcel Dekker: New York, NY, USA, 1979. [Google Scholar]
- Sluckin, T.; Dunmur, D.; Stegemeyer, H. Crystals That Flow; Taylor & Francis: London, UK, 2004; pp. 381–385. [Google Scholar]
- Frank, F.C.I. Liquid crystals. On the theory of liquid crystals. Discuss. Faraday Soc. 1958, 25, 19–28. [Google Scholar] [CrossRef]
- De Gennes, P.G.; Prost, J. The Physics of Liquid Crystals (No. 83); Oxford University Press: Oxford, UK, 1993. [Google Scholar]
- Collings, P.J.; Hird, M. Introduction to Liquid Crystals Chemistry and Physics; CRC Press: Boca Raton, FL, USA, 2017. [Google Scholar] [CrossRef]
- Tschierske, C. Non-conventional liquid crystals—The importance of micro-segregation for self-organization. J. Mater. Chem. 1998, 8, 1485–1508. [Google Scholar] [CrossRef]
- Tschierske, C. Microsegregation: From Basic Concepts to Complexity in Liquid Crystal Self-Assembly. Isr. J. Chem. 2012, 52, 935–959. [Google Scholar] [CrossRef]
- Tschierske, C. Micro-segregation, molecular shape and molecular topology–Partners for the design of liquid crystalline materials with complex mesophase morphologies Basis of a presentation given at Materials Discussion No. 4, 11–14 September 2001, Grasmere, UK. J. Mater. Chem. 2001, 11, 2647–2671. [Google Scholar] [CrossRef]
- Paleos, C.M.; Tsiourvas, D. Thermotropic liquid crystals formed by intermolecular hydrogen bonding interactions. Angew. Chem. Int. Ed. Engl. 1995, 34, 1696–1711. [Google Scholar] [CrossRef]
- Kato, T. Hydrogen-bonded liquid crystals: Molecular self-assembly for dynamically functional materials. In Molecular Self-Assembly Organic Versus Inorganic Approaches; Springer: Berlin/Heidelberg, Germany, 2000; pp. 95–146. [Google Scholar] [CrossRef]
- Paleos, C.M.; Tsiourvas, D. Supramolecular hydrogen-bonded liquid crystals. Liq. Cryst. 2001, 28, 1127–1161. [Google Scholar] [CrossRef]
- Arkas, M.; Kitsou, I.; Gkouma, A.; Papageorgiou, M. The role of hydrogen bonds in the mesomorphic behaviour of supramolecular assemblies organized in dendritic architectures. Liq. Cryst. Rev. 2019, 7, 60–105. [Google Scholar] [CrossRef]
- Arkas, M.; Papavasiliou, A. Effects of hydrogen-bonding on the liquid crystal-line properties of dendritic polymers. In Liquid Crystalline Polymers; Springer: Cham, Switzerland, 2016; pp. 173–194. [Google Scholar]
- Dunmur, D.A.; Palffy-Muhoray, P. A mean field theory of dipole-dipole correlation in nematic liquid crystals. Mol. Phys. 1992, 76, 1015–1023. [Google Scholar] [CrossRef]
- Lu, M. Liquid crystal orientation induced by Van der Waals interaction. Jpn. J. Appl. Phys. 2004, 43, 8156. [Google Scholar] [CrossRef]
- Schmidt-Mende, L.; Fechtenkötter, A.; Müllen, K.; Moons, E.; Friend, R.H.; MacKenzie, J.D. Self-organized discotic liquid crystals for high-efficiency organic photovoltaics. Science 2001, 293, 1119–1122. [Google Scholar] [CrossRef]
- Ganea, C.P.; Cîrcu, V.; Manaila-Maximean, D. Effect of titanium oxide nano-particles on the dielectric properties and ionic conductivity of a new smectic bis-imidazolium salt with dodecyl sulfate anion and cyanobiphenyl mesogenic groups. J. Mol. Liq. 2020, 317, 113939. [Google Scholar] [CrossRef]
- Lubensky, T.C. Molecular description of nematic liquid crystals. Phys. Rev. A 1970, 2, 2497. [Google Scholar] [CrossRef]
- Bisoyi, H.K.; Kumar, S. Discotic nematic liquid crystals: Science and technology. Chem. Soc. Rev. 2010, 39, 264–285. [Google Scholar] [CrossRef] [PubMed]
- Tamaoki, N. Cholesteric liquid crystals for color information technology. Adv. Mater. 2001, 13, 1135–1147. [Google Scholar] [CrossRef]
- McMillan, W.L. Simple molecular model for the smectic A phase of liquid crystals. Phys. Rev. A 1971, 4, 1238. [Google Scholar] [CrossRef]
- McMillan, W.L. Simple molecular theory of the smectic C phase. Phys. Rev. A 1973, 8, 1921. [Google Scholar] [CrossRef]
- Houssa, M.; Rull, L.F.; Romero-Enrique, J.M. Bilayered smectic phase polymorphism in the dipolar Gay–Berne liquid crystal model. J. Chem. Phys. 2009, 130, 154504. [Google Scholar] [CrossRef]
- De Gennes, P.G.; Sarma, G. Tentative model for the smectic B phase. Phys. Lett. A 1972, 38, 219–220. [Google Scholar] [CrossRef]
- Benattar, J.J.; Doucet, J.; Lambert, M.; Levelut, A.M. Nature of the smectic F phase. Phys. Rev. A 1979, 20, 2505. [Google Scholar] [CrossRef]
- Gane, P.A.C.; Leadbetter, A.J.; Wrighton, P.G. Structure and correlations in smectic B, F and I phases. Mol. Cryst. Liq. Cryst. 1981, 66, 247–266. [Google Scholar] [CrossRef]
- Livolant, F.; Levelut, A.M.; Doucet, J.; Benoit, J.P. The highly concentrated liquid-crystalline phase of DNA is columnar hexagonal. Nature 1989, 339, 724–726. [Google Scholar] [CrossRef] [PubMed]
- Kitaigorodskii, A.I. Organic Chemical Crystallography; Consultants Bureau Enterprises: New York, NY, USA, 1961. [Google Scholar]
- Leadbetter, A.J.; Richardson, R.M.; Carlile, C.J. The nature of the smectic E phase. J. Phys. Colloq. 1976, 37, C3-65–C3-68. [Google Scholar] [CrossRef]
- Tsiourvas, D.; Arkas, M. Columnar and smectic self-assembly deriving from non ionic amphiphilic hyperbranched polyethylene imine polymers and induced by hydrogen bonding and segregation into polar and non polar parts. Polymer 2013, 54, 1114–1122. [Google Scholar] [CrossRef]
- Majewska, P.; Rospenk, M.; Petrus, R.; Sobczyk, L.; Czarnik-Matusewicz, B.; Dąbrowski, R. Study of packing of 4′-butyl-4-isothiocyanatotolane by X-ray diffraction and infrared spectra in polarized light. Chem. Phys. Lett. 2012, 535, 56–62. [Google Scholar] [CrossRef]
- Diele, S. On thermotropic cubic mesophases. Curr. Opin. Colloid Interface Sci. 2002, 7, 333–342. [Google Scholar] [CrossRef]
- Canilho, N.; Kasëmi, E.; Mezzenga, R.; Schlüter, A.D. Liquid-Crystalline Polymers from Cationic Dendronized Polymer−Anionic Lipid Complexes. J. Am. Chem. Soc. 2006, 128, 13998–13999. [Google Scholar] [CrossRef][Green Version]
- Yasuda, T.; Ooi, H.; Morita, J.; Akama, Y.; Minoura, K.; Funahashi, M.; Kato, T. π-conjugated oligothiophene-based polycatenar liquid crystals: Self-organization and photoconductive, luminescent, and redox properties. Adv. Funct. Mater. 2009, 19, 411–419. [Google Scholar] [CrossRef]
- Sagara, Y.; Yamane, S.; Mutai, T.; Araki, K.; Kato, T. A stimuli-responsive, photoluminescent, anthracene-based liquid crystal: Emission color determined by thermal and mechanical processes. Adv. Funct. Mater. 2009, 19, 1869–1875. [Google Scholar] [CrossRef]
- Sagara, Y.; Kato, T. Mechanically induced luminescence changes in molecular assemblies. Nat. Chem. 2009, 1, 605–610. [Google Scholar] [CrossRef]
- Demus, D.; Marzotko, D.; Sharma, N.K.; Wiegeleben, A. The polymorphism of some liquid crystalline 4′-n-alkyloxy-3′-nitro-biphenyl carboxylic acids. Krist. Tech. 1980, 15, 331–339. [Google Scholar] [CrossRef]
- Levelut, A.M.; Donnio, B.; Bruce, D.W. Preliminary Communication Characterisation by X-ray diffraction of the S4 phase of some silver (I) complexes of alkoxystilbazoles. Liq. Cryst. 1997, 22, 753–756. [Google Scholar] [CrossRef]
- Levelut, A.M.; Clerc, M. Structural investigations on ‘smectic D’ and related mesophases. Liq. Cryst. 1998, 24, 105–116. [Google Scholar] [CrossRef]
- Pieranski, P.; Cladis, P.E.; Barbet-Massin, R. Experimental evidence for a hexagonal Blue Phase. J. Phys. Lett. 1985, 46, 973–977. [Google Scholar] [CrossRef]
- Cladis, P.E.; Garel, T.; Pieranski, P. Kossel diagrams show electric-field-induced cubic tetragonal structural transition in frustrated liquid-crystal blue phases. Phys. Rev. Lett. 1986, 57, 2841. [Google Scholar] [CrossRef]
- Pieranski, P.; Cladis, P.E. Field-induced tetragonal blue phase (BP X). Phys. Rev. A 1987, 35, 355. [Google Scholar] [CrossRef] [PubMed]
- Ryu, J.H.; Lee, M. Liquid crystalline assembly of rod–coil molecules. In Liquid Crystalline Functional Assemblies and Their Supramolecular Structures; Springer: Berlin/Heidelberg, Germany, 2007; pp. 63–98. [Google Scholar] [CrossRef]
- Tomašić, V.; Mihelj, T. The review on properties of solid catanionic surfactants: Main applications and perspectives of new catanionic surfactants and com-pounds with catanionic assisted synthesis. J. Dispers. Sci. Technol. 2017, 38, 515–544. [Google Scholar] [CrossRef]
- Axenov, K.V.; Laschat, S. Thermotropic ionic liquid crystals. Materials 2011, 4, 206–259. [Google Scholar] [CrossRef]
- Paleos, C.M. Thermotropic liquid crystals derived from amphiphilic mesogens. Mol. Cryst. Liq. Cryst. Sci. Technol. Sect. A Mol. Cryst. Liq. Cryst. 1994, 243, 159–183. [Google Scholar] [CrossRef]
- Alvarez Fernandez, A.; Kouwer, P.H. Key developments in ionic liquid crystals. Int. J. Mol. Sci. 2016, 17, 731. [Google Scholar] [CrossRef]
- Taubert, A.; Kapernaum, N.; Lange, A.; Ebert, M.; Grunwald, M.A.; Haege, C.; Laschat, S. Current Topics in Ionic Liquid Crystals. ChemPlusChem 2021, 86, 1–39. [Google Scholar] [CrossRef]
- Alami, E.; Levy, H.; Zana, R.; Weber, P.; Skoulios, A. A new smectic mesophase with two-dimensional tetragonal symmetry from dialkyldimethylammonium bromides: ST. Liq. Cryst. 1993, 13, 201–212. [Google Scholar] [CrossRef]
- Przedmojski, J.; Dynarowicz-lqtka, P. X-ray investigation of dialkyldimethylammonium bromides. Phase Transit. A Multinatl. J. 1999, 70, 133–146. [Google Scholar] [CrossRef]
- Arkas, M.; Yannakopoulou, K.; Paleos, C.M.; Weber, P.; Skoulios, A. The mesomorphic behaviour of cyanopropylalkyldimethylammonium bromides. Liq. Cryst. 1995, 18, 563–569. [Google Scholar] [CrossRef]
- Arkas, M.; Paleos, C.M.; Skoulios, A. Crystal and liquid crystal behaviour of N-cyanoalkyl-N-alkyl-N, N-dimethylammonium bromides: Role of the dipole interactions of the cyano groups. Liq. Cryst. 1997, 22, 735–742. [Google Scholar] [CrossRef]
- Paleos, C.M.; Arkas, M.; Skoulios, A. Mesomorphic character of quaternary ammonium salts affected by secondary hydrogen bonding interactions. Mol. Cryst. Liq. Cryst. Sci. Technol. Sect. A Mol. Cryst. Liq. Cryst. 1998, 309, 237–250. [Google Scholar] [CrossRef]
- Arkas, M.; Tsiourvas, D.; Paleos, C.M.; Skoulios, A. Smectic mesophases from dihydroxy derivatives of quaternary alkylammonium salts. Chem.-A Eur. J. 1999, 5, 3202–3207. [Google Scholar] [CrossRef]
- Guillon, D.; Skoulios, A.; Benattar, J.J. Volume and X-ray diffraction study of terephthal-bis-4, n-decylaniline (TBDA). J. Phys. 1986, 47, 133–138. [Google Scholar] [CrossRef][Green Version]
- Song, B.; Shang, S.; Song, Z. Solution behavior and solid phase transitions of quaternary ammonium surfactants with head groups decorated by hydroxyl groups. J. Colloid Interface Sci. 2012, 382, 53–60. [Google Scholar] [CrossRef]
- Tanford, C. Micelle shape and size. The Journal of Physical Chemistry, 76, 3020–3024. Tanford, C. Micelle shape and size. J. Phys. Chem. 1972, 76, 3020–3024. [Google Scholar] [CrossRef]
- Paleos, C.; Arkas, M.; Seghrouchni, R.; Skoulios, A. Smectic mesophases from quaternary amphiphilic ammonium salts functionalized with interacting endgroups. Mol. Cryst. Liq. Cryst. Sci. Technol. Sect. A Mol. Cryst. Liq. Cryst. 1995, 268, 179–182. [Google Scholar] [CrossRef]
- Arkas, M.; Kitsou, I.; Petrakli, F. Mimicking the behaviour of rigid rod molecules. Smectic H liquid crystals from amphiphilic quaternary ammonium salts. Liq. Cryst. 2018, 45, 70–83. [Google Scholar] [CrossRef]
- Doucet, J.; Levelut, A.M.; Lambert, M. Polymorphism of the mesomorphic compound terephthal-bis-butylaniline (TBBA). Phys. Rev. Lett. 1974, 32, 301. [Google Scholar] [CrossRef]
- Alami, E.; Levy, H.; Zana, R.; Skoulios, A. Alkanediyl-. alpha.,. omega.-bis (dimethylalkylammonium bromide) surfactants. 2. Structure of the lyotropic mesophases in the presence of water. Langmuir 1993, 9, 940–944. [Google Scholar] [CrossRef]
- Fuller, S.; Shinde, N.N.; Tiddy, G.J.; Attard, G.S.; Howell, O. Thermotropic and lyotropic mesophase behavior of amphitropic diammonium surfactants. Langmuir 1996, 12, 1117–1123. [Google Scholar] [CrossRef]
- Jurasin, D.; Pustak, A.; Habus, I.; Smit, I.; Filipovic-Vincekovic, N. Polymorphism and mesomorphism of oligomeric surfactants: Effect of the degree of oligomerization. Langmuir 2011, 27, 14118–14130. [Google Scholar] [CrossRef]
- Tittarelli, F.; Masson, P.; Skoulios, A. Structural compatibility of smectic sub-layers: Liquid crystals from oxynitrostilbene derivatives of dialkyldimethylammonium bromides. Liq. Cryst. 1997, 22, 721–726. [Google Scholar] [CrossRef]
- Zhou, M.; Zhang, J.; Wang, S.; Boyer, D.; Guo, H.; Li, W.; Wu, L. Lat Laterally substituted ionic liquid crystals and the resulting rheological behaviorerally substituted ionic liquid crystals and the resulting rheological behavior. Soft Matter 2012, 8, 7945–7951. [Google Scholar] [CrossRef]
- Iwamoto, K.; Ohnuki, Y.; Sawada, K.; Senō, M. Solid-solid phase transitions of long-chain n-alkyltrimethylammonium halides. Mol. Cryst. Liq. Cryst. 1981, 73, 95–103. [Google Scholar] [CrossRef]
- Shimizu, J.; Nogami, T.; Mikawa, H. Phase transition of quaternary alkyl halide salts of diazabicyclo [2.2. 2] octane. Solid State Commun. 1985, 54, 1009–1011. [Google Scholar] [CrossRef]
- Ohta, K.; Sugiyama, T.; Nogami, T. A smectic T phase of 1, 4-dialkyl-1, 4-diazoniabicyclo [2.2.2] octane dibromides. J. Mater. Chem. 2000, 10, 613–616. [Google Scholar] [CrossRef]
- Nikokavoura, A.; Tsiourvas, D.; Arkas, M.; Sideratou, Z.; Paleos, C.M. Thermotropic liquid crystalline behaviour of piperazinium and homopiperazinium alkylsulphates. Liq. Cryst. 2002, 29, 1547–1553. [Google Scholar] [CrossRef]
- Nikokavoura, A.; Tsiourvas, D.; Arkas, M.; Sideratou, Z.; Paleos, C.M. Liquid crystals derived from multi-cationic azamacrocyclic alkylsulphates. Liq. Cryst. 2004, 31, 207–213. [Google Scholar] [CrossRef]
- Lava, K.; Binnemans, K.; Cardinaels, T. Piperidinium, piperazinium and morpholinium ionic liquid crystals. J. Phys. Chem. B 2009, 113, 9506–9511. [Google Scholar] [CrossRef]
- Goossens, K.; Lava, K.; Nockemann, P.; Van Hecke, K.; Van Meervelt, L.; Driesen, K.; Cardinaels, T. Pyrrolidinium ionic liquid crystals. Chem.-A Eur. J. 2009, 15, 656–674. [Google Scholar] [CrossRef] [PubMed]
- Xu, F.; Matsubara, S.; Matsumoto, K.; Hagiwara, R. Effects of alkyl chain length on properties of N-alkyl-N-methylpyrrolidinium fluorohydrogenate ionic liquid crystals. J. Fluor. Chem. 2012, 135, 344–349. [Google Scholar] [CrossRef]
- Goossens, K.; Lava, K.; Nockemann, P.; Van Hecke, K.; Van Meervelt, L.; Pattison, P.; Cardinaels, T. Pyrrolidinium ionic liquid crystals with pendant mesogenic groups. Langmuir 2009, 25, 5881–5897. [Google Scholar] [CrossRef] [PubMed]
- Noujeim, N.; Samsam, S.; Eberlin, L.; Sanon, S.H.; Rochefort, D.; Schmitzer, A.R. Mesomorphic and ion-conducting properties of dialkyl (1, 4-phenylene) diimidazolium salts. Soft Matter 2012, 8, 10914–10920. [Google Scholar] [CrossRef]
- Do, T.D.; Schmitzer, A.R. Intramolecular Diels Alder reactions in highly organized imidazolium salt-based ionic liquid crystals. RSC Adv. 2015, 5, 635–639. [Google Scholar] [CrossRef]
- Tschierske, C. Star-shaped oligobenzoates with a naphthalene chromophore as potential semiconducting liquid crystal materials? J. Mater. Chem. 2012, 18, 2995–3003. [Google Scholar] [CrossRef]
- Bhowmik, P.K.; Noori, O.; Chen, S.L.; Han, H.; Fisch, M.R.; Robb, C.M.; Martinez-Felipe, A. Ionic liquid crystals: Synthesis and characterization via NMR, DSC, POM, X-ray diffraction and ionic conductivity of asymmetric viologen bistriflimide salts. J. Mol. Liq. 2021, 328, 115370. [Google Scholar] [CrossRef]
- Yang, M.; Stappert, K.; Mudring, A.V. Bis-cationic ionic liquid crystals. J. Mater. Chem. C 2014, 2, 458–473. [Google Scholar] [CrossRef]
- Wu, B.P.; Pang, M.L.; Tan, T.F.; Meng, J.B. The T′ phase and its ‘sandwich-like layer’structure as shown by ionic liquid crystals containing a biphenyl ester-based rigid-core modified by 3-alkylimidazolium salts. Liq. Cryst. 2012, 39, 579–594. [Google Scholar] [CrossRef]
- Tripathi, C.S.P.; Leys, J.; Losada-Pérez, P.; Lava, K.; Binnemans, K.; Glorieux, C.; Thoen, J. Adiabatic scanning calorimetry study of ionic liquid crystals with highly ordered crystal smectic phases. Liq. Cryst. 2013, 40, 329–338. [Google Scholar] [CrossRef]
- Józefowicz, W.; Longa, L. Frustration in smectic layers of polar Gay-Berne systems. Phys. Rev. E 2007, 76, 011701. [Google Scholar] [CrossRef]
- Berardi, R.; Orlandi, S.; Zannoni, C. Molecular dipoles and tilted smectic formation: A Monte Carlo study. Phys. Rev. E 2003, 67, 041708. [Google Scholar] [CrossRef] [PubMed]
- Binnemans, K. Ionic liquid crystals. Chem. Rev. 2005, 105, 4148–4204. [Google Scholar] [CrossRef] [PubMed]
- Goossens, K.; Lava, K.; Bielawski, C.W.; Binnemans, K. Ionic liquid crystals: Versatile materials. Chem. Rev. 2016, 116, 4643–4807. [Google Scholar] [CrossRef] [PubMed]


























Publisher’s Note: MDPI stays neutral with regard to jurisdictional claims in published maps and institutional affiliations. |
© 2022 by the authors. Licensee MDPI, Basel, Switzerland. This article is an open access article distributed under the terms and conditions of the Creative Commons Attribution (CC BY) license (https://creativecommons.org/licenses/by/4.0/).
Share and Cite
Arkas, M.; Douloudi, M.; Vardavoulias, M.; Katsika, T. Lamellar Tetragonal Symmetry of Amphiphilic Thermotropic Ionic Liquid Crystals in the Framework of Other Closely Related Highly Ordered Structures. Symmetry 2022, 14, 394. https://doi.org/10.3390/sym14020394
Arkas M, Douloudi M, Vardavoulias M, Katsika T. Lamellar Tetragonal Symmetry of Amphiphilic Thermotropic Ionic Liquid Crystals in the Framework of Other Closely Related Highly Ordered Structures. Symmetry. 2022; 14(2):394. https://doi.org/10.3390/sym14020394
Chicago/Turabian StyleArkas, Michael, Marilina Douloudi, Michail Vardavoulias, and Theodora Katsika. 2022. "Lamellar Tetragonal Symmetry of Amphiphilic Thermotropic Ionic Liquid Crystals in the Framework of Other Closely Related Highly Ordered Structures" Symmetry 14, no. 2: 394. https://doi.org/10.3390/sym14020394
APA StyleArkas, M., Douloudi, M., Vardavoulias, M., & Katsika, T. (2022). Lamellar Tetragonal Symmetry of Amphiphilic Thermotropic Ionic Liquid Crystals in the Framework of Other Closely Related Highly Ordered Structures. Symmetry, 14(2), 394. https://doi.org/10.3390/sym14020394

