Unsteady Electro-Hydrodynamic Stagnating Point Flow of Hybridized Nanofluid via a Convectively Heated Enlarging (Dwindling) Surface with Velocity Slippage and Heat Generation
Abstract
1. Introduction
2. Mathematical Formulation
3. HAM Solution
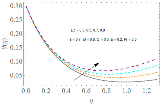
4. Results and Discussion
5. Conclusions
- Speed and temperature rise with a rise in an electrical constraint.
- Magnetic constraint has an inverted influence on rapidity and energy parameters.
- Heat generation increases the temperature, while the converse happens with a heat sink.
- Higher values of the unsteadiness constraint decrease the velocity and temperature.
- An augmentation in temperature is observed for Eckert amount, while it decreases for the Prandtl number.
Author Contributions
Funding
Institutional Review Board Statement
Informed Consent Statement
Data Availability Statement
Acknowledgments
Conflicts of Interest
Nomenclature
| and | quickness elements |
| stretching/shrinking rapidity | |
| ambient temperature | |
| heat transmission factor | |
| thermal conductance | |
| viscidness | |
| Reynolds quantity | |
| quickness slippage factor | |
| nanoparticle density | |
| solid thermal conductance | |
| stream function | |
| magnetic parameter | |
| Eckert Number | |
| Biot amount | |
| rapidity and heat ratio | |
| local Nusselt number | |
| non-dimensional rapidity | |
| kinematic viscidness | |
| nanoparticle solid volume fraction | |
| plane coordinate axis | |
| strength of stagnation flow | |
| reference temperature | |
| density | |
| volume heat capacitance | |
| similarity parameter | |
| primary speed slippage | |
| constant pressure of heat capacity | |
| Base fluid density | |
| fluid thermal conductance | |
| unsteady factor | |
| electrical force factor | |
| Prandtl number | |
| heat generating (absorbing) | |
| skin friction factor | |
| temperature of fluid | |
| dynamical viscidness | |
| wall shear stress | |
| transportation of heat |
References
- Devi, S.A.; Devi, S.S.U. Numerical investigation of hydromagnetic hybrid Cu–Al2O3/water nanofluid flow over a permeable stretching sheet with suction. Int. J. Nonlinear Sci. Numer. Simul. 2016, 17, 249–257. [Google Scholar] [CrossRef]
- Devi, S.S.U.; Devi, S.A. Numerical investigation of three-dimensional hybrid Cu–Al2O3/water nanofluid flow over a stretching sheet with effecting Lorentz force subject to Newtonian heating. Can. J. Phys. 2016, 94, 490–496. [Google Scholar] [CrossRef]
- Hayat, T.; Nadeem, S. Heat transfer enhancement with Ag–CuO/water hybrid nanofluid. Results Phys. 2017, 7, 2317–2324. [Google Scholar] [CrossRef]
- Zainal, N.A.; Nazar, R.; Naganthran, K.; Pop, I. Unsteady stagnation point flow of hybrid nanofluid past a convectively heated stretching/shrinking sheet with velocity slip. Mathematics 2020, 8, 1649. [Google Scholar] [CrossRef]
- Daniel, Y.S.; Aziz, Z.A.; Ismail, Z.; Salah, F. Double stratification effects on unsteady electrical MHD mixed convection flow of nanofluid with viscous dissipation and Joule heating. J. Appl. Res. Technol. 2017, 15, 464–476. [Google Scholar] [CrossRef]
- Xie, H.; Jiang, B.; Liu, B.; Wang, Q.; Xu, J.; Pan, F. An investigation on the tribological performances of the SiO2/MoS2 hybrid nanofluids for magnesium alloy-steel contacts. Nanoscale Res. Lett. 2016, 11, 1–17. [Google Scholar] [CrossRef]
- Afrand, M.; Toghraie, D.; Ruhani, B. Effects of temperature and nanoparticles concentration on rheological behavior of Fe3O4–Ag/EG hybrid nanofluid: An experimental study. Exp. Therm. Fluid Sci. 2016, 77, 38–44. [Google Scholar] [CrossRef]
- Ghadikolaei, S.; Yassari, M.; Sadeghi, H.; Hosseinzadeh, K.; Ganji, D. Investigation on thermophysical properties of TiO2–Cu/H2O hybrid nanofluid transport dependent on shape factor in MHD stagnation point flow. Powder Technol. 2017, 322, 428–438. [Google Scholar] [CrossRef]
- Hussain, S.; Ahmed, S.E.; Akbar, T. Entropy generation analysis in MHD mixed convection of hybrid nanofluid in an open cavity with a horizontal channel containing an adiabatic obstacle. Int. J. Heat Mass Transf. 2017, 114, 1054–1066. [Google Scholar] [CrossRef]
- Waqas, M.; Farooq, M.; Khan, M.I.; Alsaedi, A.; Hayat, T.; Yasmeen, T. Magnetohydrodynamic (MHD) mixed convection flow of micropolar liquid due to nonlinear stretched sheet with convective condition. Int. J. Heat Mass Transf. 2016, 102, 766–772. [Google Scholar] [CrossRef]
- Zhao, G.; Jian, Y.; Li, F. Streaming potential and heat transfer of nanofluids in microchannels in the presence of magnetic field. J. Magn. Magn. Mater. 2016, 407, 75–82. [Google Scholar] [CrossRef]
- Yadav, D.; Wang, J.; Bhargava, R.; Lee, J.; Cho, H.H. Numerical investigation of the effect of magnetic field on the onset of nanofluid convection. Appl. Therm. Eng. 2016, 103, 1441–1449. [Google Scholar] [CrossRef]
- Chamkha, A.; Rashad, E.; El-Zahar, H.A.; EL-Mky, H.A. Analytical and numerical investigation of Fe3O4–water nanofluid flow over a moveable plane in a parallel stream with high suction. Energies 2019, 12, 198. [Google Scholar] [CrossRef]
- El-Kabeir, S.M.M.; El-Zahar, E.R.; Modather, M.; Gorla, R.S.R.; Rashad, A.M. Unsteady MHD slip flow of a ferrofluid over an impulsively stretched vertical surface. AIP Adv. 2019, 9, 045112. [Google Scholar] [CrossRef]
- Crane, L.J. Flow past a stretching plate. Z. Angew. Math. Phys. 1970, 21, 645–647. [Google Scholar] [CrossRef]
- Sandeep, N.; Sulochana, C.; Kumar, B.R. Unsteady MHD radiative flow and heat transfer of a dusty nanofluid over an exponentially stretching surface. Eng. Sci. Technol. Int. J. 2016, 19, 227–240. [Google Scholar] [CrossRef]
- Nayak, M.; Akbar, N.S.; Tripathi, D.; Khan, Z.; Pandey, V. MHD 3D free convective flow of nanofluid over an exponentially stretching sheet with chemical reaction. Adv. Powder Technol. 2017, 28, 2159–2166. [Google Scholar] [CrossRef]
- Hayat, T.; Nadeem, S. Flow of 3D Eyring-Powell fluid by utilizing Cattaneo-Christov heat flux model and chemical processes over an exponentially stretching surface. Results Phys. 2018, 8, 397–403. [Google Scholar] [CrossRef]
- Rehman, F.U.; Nadeem, S.; Haq, R.U. Heat transfer analysis for three-dimensional stagnation-point flow over an exponentially stretching surface. Chin. J. Phys. 2017, 55, 1552–1560. [Google Scholar] [CrossRef]
- Magyari, E.; Keller, B. Heat and mass transfer in the boundary layers on an exponentially stretching continuous surface. J. Phys. D Appl. Phys. 1999, 32, 577. [Google Scholar] [CrossRef]
- Mushtaq, M.A.; Farooq, R.; Sharif, M.; Razzaq, M. The impact of variable fluid properties on hydromagnetic boundary layer and heat transfer flows over an exponentially stretching sheet. J. Phys. Commun. 2019, 3, 095005. [Google Scholar] [CrossRef]
- Ferdows, M.; Khan, M.; Alam, M.; Sun, S. MHD mixed convective boundary layer flow of a nanofluid through a porous medium due to an exponentially stretching sheet. Math. Probl. Eng. 2012, 2012, 408528. [Google Scholar] [CrossRef]
- Rahman, A.N.H.; Bachok, N.; Rosali, H. Numerical Solutions of Mhd Stagnation-Point Flow over an Exponentially Stretching/Shrinking Sheet in a Nanofluid; Journal of Physics: Conference Series; IOP Publishing: Philadelphia, PA, USA, 2019; p. 012012. [Google Scholar]
- Hiemenz, K. Die Grenzschicht an einem in den gleichformigen Flussigkeitsstrom eingetauchten geraden Kreiszylinder. Dinglers Polytech. J. 1911, 326, 321–324, 344–348, 357–362, 372–376, 391–393, 407–410. [Google Scholar]
- Homann, F. Der Einfluβ groβer Zähigkeit bei der Strömung um den Zylinder und um die Kugel. Z. Angew. Math. Mech. 1936, 16, 153–164. [Google Scholar] [CrossRef]
- Wang, C. Stagnation flow towards a shrinking sheet. Int. J. Non-Linear Mech. 2008, 43, 377–382. [Google Scholar] [CrossRef]
- Yacob, N.A.; Ishak, A.; Pop, I. Melting heat transfer in boundary layer stagnation-point flow towards a stretching/shrinking sheet in a micropolar fluid. Comput. Fluids 2011, 47, 16–21. [Google Scholar] [CrossRef]
- Liao, S. On the homotopy analysis method for nonlinear problems. Appl. Math. Comput. 2004, 147, 499–513. [Google Scholar] [CrossRef]
- Nasir, S.; Shah, Z.; Islam, S.; Bonyah, E.; Gul, T. Darcy Forchheimer nanofluid thin film flow of SWCNTs and heat transfer analysis over an unsteady stretching sheet. AIP Adv. 2019, 9, 015223. [Google Scholar] [CrossRef]
- Tlili, W.; Khan, I.; Khan, I. Multiple slips effects on MHD SA-Al2O3 and SA-Cu non-Newtonian nanofluids flow over a stretching cylinder in porous medium with radiation and chemical reaction. Results Phys. 2018, 8, 213–222. [Google Scholar] [CrossRef]
- Khan, N.S.; Shah, Z.; Islam, S.; Khan, I.; Alkanhal, T.A.; Tlili, I. Entropy generation in MHD mixed convection non-Newtonian second-grade nanoliquid thin film flow through a porous medium with chemical reaction and stratification. Entropy 2019, 21, 139. [Google Scholar] [CrossRef]
- Fiza, M.; Islam, S.; Ullah, H.; Shah, Z.; Chohan, F. An asymptotic method with applications to nonlinear coupled partial differential equations. Punjab Univ. J. Math. 2018, 50, 139–151. [Google Scholar]
- Abbas, I.A.; Abo-Dahab, S. On the numerical solution of thermal shock problem for generalized magneto-thermoelasticity for an infinitely long annular cylinder with variable thermal conductivity. J. Comput. Theor. Nanosci. 2014, 11, 607–618. [Google Scholar] [CrossRef]
- Li, C.; Guo, H.; He, T.; Tian, X. Thermally nonlinear non-Fourier piezoelectric thermoelasticity problems with temperature-dependent elastic constants and thermal conductivity and nonlinear finite element analysis. Waves Random Complex Media 2022, 1–38. [Google Scholar] [CrossRef]
- Mohamed, R.; Abbas, I.A.; Abo-Dahab, S. Finite element analysis of hydromagnetic flow and heat transfer of a heat generation fluid over a surface embedded in a non-Darcian porous medium in the presence of chemical reaction. Commun. Nonlinear Sci. Numer. Simul. 2009, 14, 1385–1395. [Google Scholar] [CrossRef]
- Rahbar, H.; Javanbakht, M.; Ziaei-Rad, S.; Reali, A.; Jafarzadeh, H. Finite element analysis of coupled phase-field and thermoelasticity equations at large strains for martensitic phase transformations based on implicit and explicit time discretization schemes. Mech. Adv. Mater. Struct. 2022, 29, 2531–2547. [Google Scholar] [CrossRef]











| Properties | Cu | Al2O3 | H2O |
|---|---|---|---|
| 400 | 40 | 0.613 | |
| 8933 | 3970 | 9971 | |
| 385 | 765 | 4179 | |
| 1.67 | 0.85 | 21 |
| Characteristic | HYNF |
|---|---|
| ε | E | M | |
|---|---|---|---|
| 0.3 | 0.1 | 0.4 | 0.72059328 |
| 0.5 | 0.83542092 | ||
| 0.7 | 1.03614135 | ||
| 0.1 | 1.86313569 | ||
| 0.2 | 1.64385204 | ||
| 0.3 | 1.76103193 | ||
| 0.4 | 1.03873708 | ||
| 0.8 | 1.30863981 | ||
| 1.0 | 1.58376213 |
| Ec | Q | Pr | M | E | |
|---|---|---|---|---|---|
| 0.3 | 0.5 | 4.5 | 0.4 | 0.1 | 1.07386504 |
| 0.5 | 1.17290347 | ||||
| 0.7 | 1.23893104 | ||||
| 0.5 | 2.30319769 | ||||
| 1.0 | 2.15912307 | ||||
| 1.5 | 2.02463073 | ||||
| 4.5 | 0.54354079 | ||||
| 5.5 | 0.73865302 | ||||
| 6.5 | 0.93865321 | ||||
| 0.4 | 1.13159603 | ||||
| 0.8 | 1.09764384 | ||||
| 1.0 | 1.05346068 | ||||
| 0.1 | 1.12183304 | ||||
| 0.2 | 1.23583931 | ||||
| 0.3 | 1.30346893 |
Publisher’s Note: MDPI stays neutral with regard to jurisdictional claims in published maps and institutional affiliations. |
© 2022 by the authors. Licensee MDPI, Basel, Switzerland. This article is an open access article distributed under the terms and conditions of the Creative Commons Attribution (CC BY) license (https://creativecommons.org/licenses/by/4.0/).
Share and Cite
Khan, A.; Jamshed, W.; Eid, M.R.; Pasha, A.A.; Tag El Din, E.S.M.; Khalifa, H.A.E.-W.; Alharbi, S.K. Unsteady Electro-Hydrodynamic Stagnating Point Flow of Hybridized Nanofluid via a Convectively Heated Enlarging (Dwindling) Surface with Velocity Slippage and Heat Generation. Symmetry 2022, 14, 2136. https://doi.org/10.3390/sym14102136
Khan A, Jamshed W, Eid MR, Pasha AA, Tag El Din ESM, Khalifa HAE-W, Alharbi SK. Unsteady Electro-Hydrodynamic Stagnating Point Flow of Hybridized Nanofluid via a Convectively Heated Enlarging (Dwindling) Surface with Velocity Slippage and Heat Generation. Symmetry. 2022; 14(10):2136. https://doi.org/10.3390/sym14102136
Chicago/Turabian StyleKhan, Abbas, Wasim Jamshed, Mohamed R. Eid, Amjad Ali Pasha, El Sayed M. Tag El Din, Hamiden Abd El-Wahed Khalifa, and Samaher Khalaf Alharbi. 2022. "Unsteady Electro-Hydrodynamic Stagnating Point Flow of Hybridized Nanofluid via a Convectively Heated Enlarging (Dwindling) Surface with Velocity Slippage and Heat Generation" Symmetry 14, no. 10: 2136. https://doi.org/10.3390/sym14102136
APA StyleKhan, A., Jamshed, W., Eid, M. R., Pasha, A. A., Tag El Din, E. S. M., Khalifa, H. A. E.-W., & Alharbi, S. K. (2022). Unsteady Electro-Hydrodynamic Stagnating Point Flow of Hybridized Nanofluid via a Convectively Heated Enlarging (Dwindling) Surface with Velocity Slippage and Heat Generation. Symmetry, 14(10), 2136. https://doi.org/10.3390/sym14102136

