Abstract
Using Bell’s polynomials it is possible to approximate the Laplace Transform of composite functions. The same methodology can be adopted for the evaluation of the Laplace Transform of higher-order nested functions. In this case, a suitable extension of Bell’s polynomials, as previously introduced in the scientific literature, is used, namely higher order Bell’s polynomials used in the representation of the derivatives of multiple nested functions. Some worked examples are shown, and some of the polynomials used are reported in the Appendices.
MSC:
44A10; 05A10; 11B65; 11B83
1. Introduction
In this study, we illustrate a procedure for the evaluation of the Laplace Transform (LT) of multi-nested analytic functions. To this end, we make use of Bell’s polynomials [1,2,3,4,5], which constitute the essential tool for computing the subsequent derivatives of composite functions.
The Bell’s polynomials appear in many different fields, ranging from number theory [6,7,8] to operator theory [9], and from differential equations [4] to integral transforms [10,11]. It is worth noting here that Bell’s polynomials are closely related to and can be written in terms of symmetric functions in combinatorial Hopf algebras [12].
The importance of the LT [13,14] is well known and it is redundant to remind it here.
We use the classic definition of the LT:
The LT converts a function of a real variable t (usually representing the time) to a function of a complex variable s (which represents the complex frequency). The LT holds for locally integrable functions on . It is convergent in every half-plane , where a is the so-called convergence abscissa, depending on the growth rate at infinity of .
Our procedure is as follows: we use Taylor’s expansion of the considered analytic function, and express the relevant coefficients in terms of Bell’s polynomials; then, we approximate the LT of the given nested function by a series expansion, which provides an asymptotic representation of the LT when that exists.
We start from the easier case of the LT of a nested exponential function, considering the first few values of the complete Bell’s polynomials. The result is a Laurent expansion which approximates the relevant LT.
Then, we consider the case of the LT of general nested functions. The main problem is to provide a table of Bell’s polynomials. These exhibit higher complexity, but their evaluation can be easily performed through a dedicated computer code.
Our results can be compared with the LT of nested functions appearing in the literature only in a few cases [15], but the results we have obtained in these cases are completely satisfactory.
All the computations reported in this study have been performed using the computer algebra program Mathematica.
The second-order Bell’s polynomials , representing the derivatives of nested functions of the type are then introduced, and two examples of LT of these functions are given.
In Appendix A a table of the second-order Bell’s polynomials is reported.
Lastly, we give some examples to show that the same methodology can be used even for the LT of higher-order nested functions. The first few terms of the corresponding generalized Bell’s polynomials, of order 4, , are shown in Appendix B The polynomials have been computed in the same way but are not reported here owing to the lack of space.
It is worth noting that more general extensions of Bell’s polynomials have been introduced in the past, including those appearing in the two-variable case [16], as well as the multi-variable case [17]. Since all the aforementioned extensions have been proven through the classical case, more general results could be obtained by applying the methods described in this article.
2. Definition of Bell’s Polynomials
The n-th derivative of the composite (differentiable) function , as evaluated by the chain rule, is expressed by Bell’s polynomials as follows
where
The coefficients for all are polynomials of the variables that are homogeneous of degree k and isobaric of weight n (i.e., they are a linear combination of monomials whose weight is constantly given by ); in the literature, they are also referred to as partial Bell’s polynomials.
Bell’s polynomials satisfy the recursion
An explicit representation is given by the Faà di Bruno’s formula
where the sum runs over all the partitions of the integer n, denotes the number of parts of size i, and denotes the number of parts of the considered partition [5].
The coefficients satisfy the recursion
3. LT of Composite Functions
Let be a composite function that is analytic in a neighborhood of the origin, and whose Taylor’s expansion is given by
According to the preceding equations, it results in
where
Then, the following result easily follows.
Theorem 1.
Consider a composite function that is analytic in a neighborhood of the origin, and can be expressed by Taylor’s expansion in (6). For its LT the following asymptotic representation holds
where N denotes a finite expansion order.
3.1. The Particular Case of the Exponential Function
In the particular case when , that is considering the function , and assuming , we have the simple form
where the are the complete Bell’s polynomials. It results , and the first few values of , for , are given by
The values of the complete Bell’s polynomials for particular choices of the relevant parameters can be found in [6].
The complete Bell’s polynomials satisfy the identity (see, e.g., [4])
In this case Equation (9) reduces to
In what follows, we evaluate the approximation of the LT of nested functions. The reported results have been obtained using the computer algebra program Mathematica.
Examples
We first recall the case of the LT of nested exponential functions, showing two particular examples.
- Consider the Bessel function and the LT of the corresponding exponential function. We find
- Consider the function and the LT of the corresponding exponential function. We find
4. LT in Two Known Cases
We considered two cases concerning composite functions whose transform and anti-transform are known (see [15]). By using the computer algebra program Mathematica, we have been able to prove the correctness of the methodology used.
4.1. Case #1
Consider the function . The LT of is found to be [15]:
for , and where is the logarithmic derivative of the gamma function, given by
Using our methodology, we find that
so that, the inverse Laplace transformation is given by
with denoting the Heaviside distribution which can be defined as follows:
in terms of the Dirac delta distribution .
4.2. Case #2
Let us consider the function . The LT of is found to be [15]:
for .
Using our methodology, we find that
so that, the inverse Laplace transformation is given by
5. A First Extension of Bell’s Polynomials
We consider the second-order Bell’s polynomials, , defined by the n-th derivative of the composite function .
Consider the functions , , and , and suppose that , , and are n times differentiable with respect to their variables, so that the composite function can be differentiated n times with respect to t, by using the chain rule.
We use, as before, the following notation:
Then, the n-th derivative can be represented by the compact symbol:
where the are defined as the second order Bell’s polynomials.
The first few terms are as follows.
A more extended table is given in Appendix A.
The connections to the ordinary Bell’s polynomials are highlighted below.
Theorem 2.
For every integer n, the polynomials are represented in terms of the ordinary Bell’s polynomials by the following equation, where a compact notation similar to the one in (23) is used:
Proof.
Using induction, we can conclude that (24) is true for , since
Then, assuming that (24) is true for every n, it follows that
□
Consequently, we have the theorem:
Theorem 3.
The second-order Bell’s polynomials verify the recursion
6. LT of Second-Order Nested Functions
Let be be a composite function that is analytic in a neighborhood of the origin and, therefore, can be expressed by the Taylor’s expansion
According to the preceding equations, it results
where
This expansion can be used to evaluate the LT of analytic nested functions.
Theorem 4.
Consider a nested function that is analytic in a neighborhood of the origin, and whose Taylor’s expansion is given by (27). For its LT, the following asymptotic representation holds
where N denotes a finite expansion order.
Proof.
It is a straightforward application of the definition of the second-order Bell’s polynomials. □
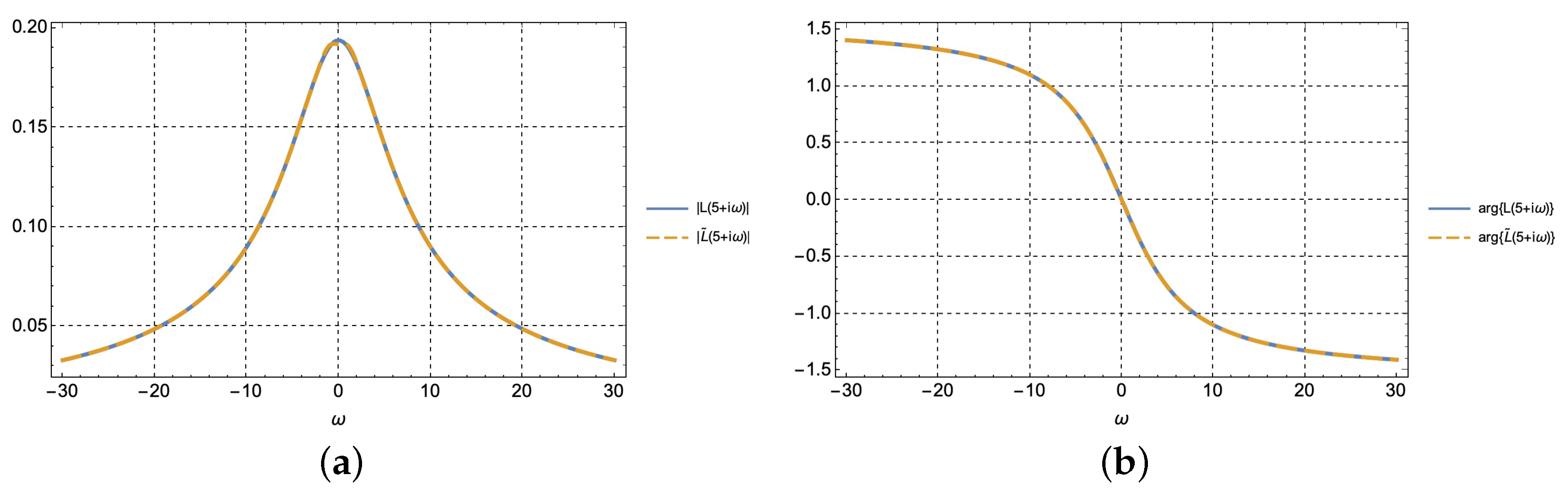
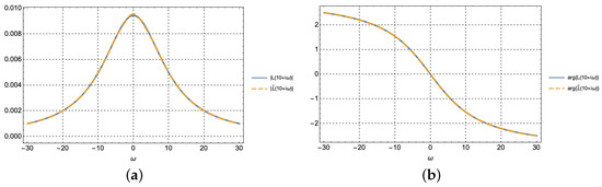
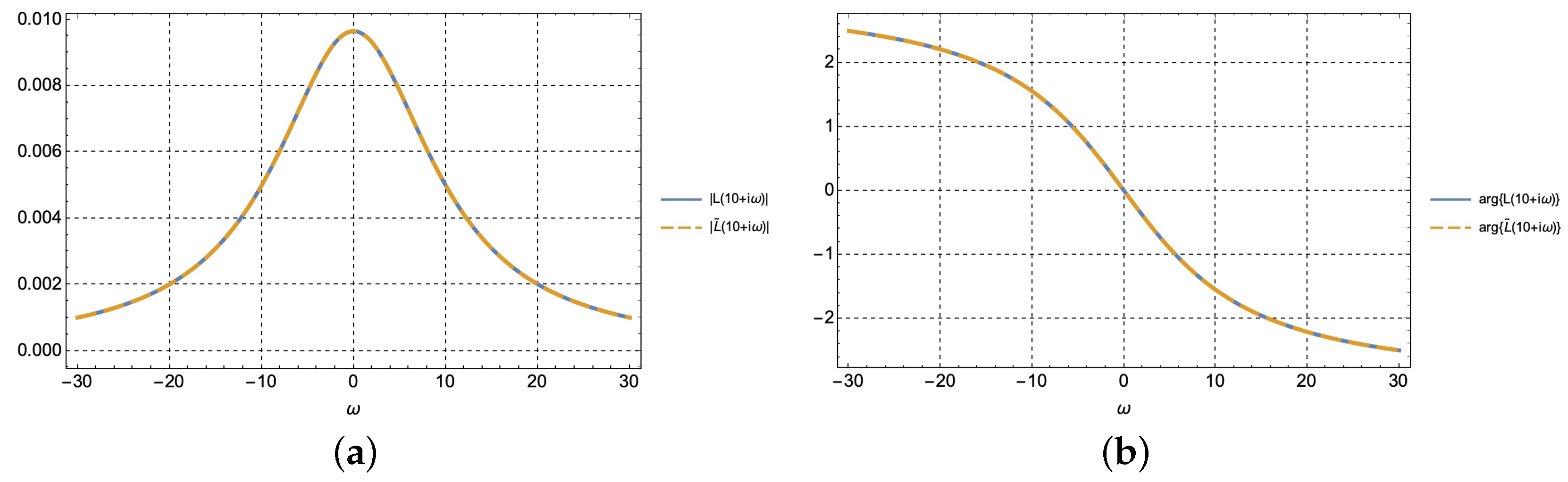
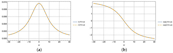
Example 1.
• Assuming , , , it results in (see Figure 1)
for . The corresponding inverse LT is approximated by (see Figure 2)
Figure 1.
Magnitude (a) and argument (b) of the Laplace transform of as evaluated through the approximant and the rigorous integral expression for .
Figure 2.
Distribution of and the relevant approximant .
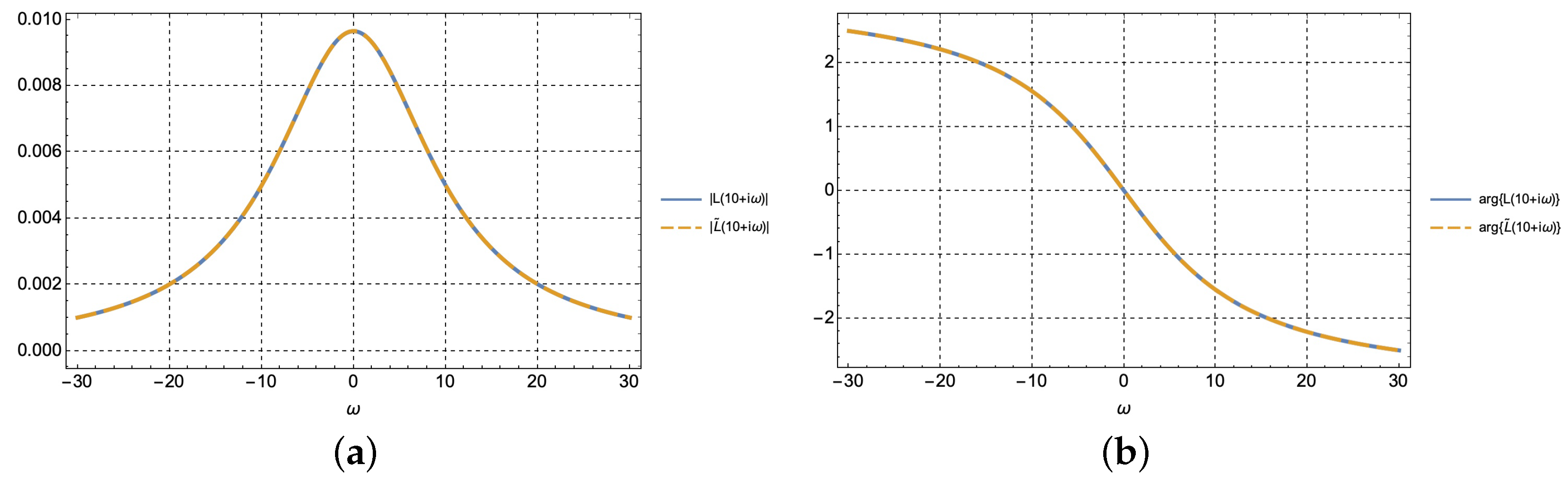
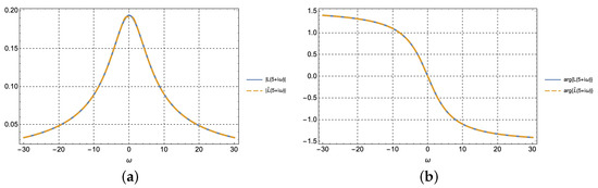
Example 2.
• Upon assuming , , , it results in (see Figure 3)
for . The corresponding inverse LT can be approximated as (see Figure 4)
Figure 3.
Magnitude (a) and argument (b) of the Laplace transform of as evaluated through the approximant and the rigorous integral expression for .
Figure 4.
Distribution of and the relevant approximant .
7. Higher Order Bell’s Polynomials
Consider the nested function , i.e., the composition of the functions , …, , , and suppose that , …, , are n times differentiable with respect to their independent variables. Then, can be differentiated n times with respect to t using the chain rule. By definition we put , so that .
We use the following notation:
Then, the n-th derivative can be represented as
where the are, by definition, Bell’s polynomials of order .
The above Theorems 2 and 3 can be generalized as follows.
Theorem 5.
For every integer n, the polynomials are expressed in terms of Bell’s polynomials of a lower order, through the following equation:
Theorem 6.
The following recurrence relation for the Bell’s polynomials of order holds true:
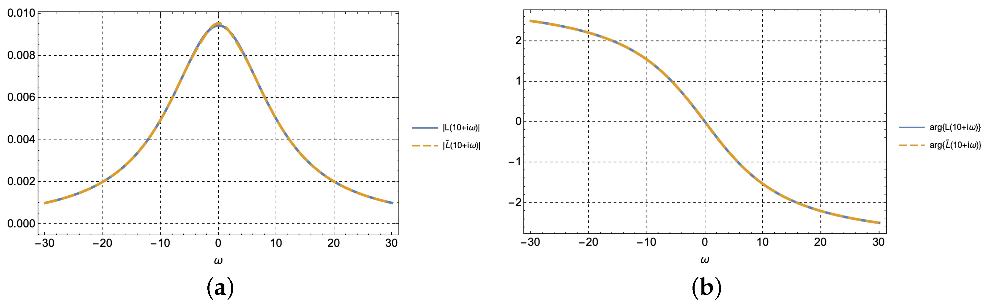
Example 3.
We apply the above results to the case of the LT of nested sine functions, assuming and .
Figure 5.
Magnitude (a) and argument (b) of the Laplace transform of as evaluated through the approximant and the rigorous integral expression for .
for .
The corresponding inverse LT is approximated by (see Figure 6).
Figure 6.
Distribution of and the relevant approximant .
Figure 7.
Magnitude (a) and argument (b) of the Laplace transform of as evaluated through the approximant and the rigorous integral expression for .
for .
The corresponding inverse LT is approximated by (see Figure 8).
Figure 8.
Distribution of and the relevant approximant .
8. Conclusions
We have presented a method for approximating the integral of analytic composite functions. We started from the Taylor expansion of the considered function in a neighborhood of the origin. Since the coefficients can be expressed in terms of Bell’s polynomials, the integral is reduced to the computation of an approximating series, which obviously converges if the integral is convergent. Then, this methodology has been applied to the case of the LT of an analytic composite function, starting from the case of analytic nested exponential functions. Furthermore, the evaluation of the LT of analytic nested functions is discussed, and the first few second-order Bell’s polynomials used in the framework of the presented methodology are reported in Appendix A, whereas those of order 4 are given in Appendix B. A graphical verification of the proposed technique, performed in the case when the analytical forms of both the transform and anti-transform are known, proved the correctness of our results. In future studies, attention will be devoted to the evaluation of more complex functions, such as the basic class of symmetric orthogonal polynomials (BCSOP) introduced in [18].
Author Contributions
The authors have contributed equally to this work. All authors have read and agreed to the published version of the manuscript.
Funding
This research received no external funding.
Conflicts of Interest
The authors declare no conflict of interest.
Appendix A


Appendix B


References
- Bell, E.T. Exponential polynomials. Ann. Math. 1934, 35, 258–277. [Google Scholar] [CrossRef]
- Comtet, L. Advanced Combinatorics: The Art of Finite and Infinite Expansions; D. Reidel Publishing Co.: Dordrecht, The Netherlands, 1974. [Google Scholar] [CrossRef]
- Faà di Bruno, F. Théorie des Formes Binaires; Brero: Turin, Italy, 1876. [Google Scholar]
- Orozco López, R. Solution of the Differential Equation y(k) = eay, Special Values of Bell’s Polynomials, and (k, a)-Autonomous Coefficients. J. Integer Seq. 2021, 24, 21.8.6. [Google Scholar]
- Riordan, J. An Introduction to Combinatorial Analysis; J. Wiley & Sons: Chichester, UK, 1958. [Google Scholar]
- Qi, F.; Niu, D.-W.; Lim, D.; Yao, Y.-H. Special values of the Bell’s polynomials of the second kind for some sequences and functions. J. Math. Anal. Appl. 2020, 491, 124382. [Google Scholar] [CrossRef]
- Roman, S.M. The Faà di Bruno Formula. Am. Math. Mon. 1980, 87, 805–809. [Google Scholar] [CrossRef]
- Roman, S.M.; Rota, G.C. The umbral calculus. Adv. Math. 1978, 27, 95–188. [Google Scholar] [CrossRef]
- Robert, D. Invariants orthogonaux pour certaines classes d’operateurs. Ann. Mathém. Pures Appl. 1973, 52, 81–114. [Google Scholar]
- Caratelli, D.; Cesarano, C.; Ricci, P.E. Computation of the Bell-Laplace transforms. Dolomites Res. Notes Approx. 2021, 14, 74–91. [Google Scholar]
- Ricci, P.E. Bell’s polynomials and generalized Laplace transforms. arXiv 2021, arXiv:2103.07267. [Google Scholar]
- Aboud, A.; Bultel, J.-P.; Chouria, A.; Luque, J.-G.; Mallet, O. Bell Polynomials in Combinatorial Hopf Algebras. arXiv 2014, arXiv:1402.2960. [Google Scholar]
- Beerends, R.J.; Ter Morsche, H.G.; Van Den Berg, J.C.; Van De Vrie, E.M. Fourier and Laplace Transforms; Cambridge University Press: Cambridge, UK, 2003. [Google Scholar]
- Ghizzetti, A.; Ossicini, A. Trasformate di Laplace e Calcolo Simbolico; UTET: Torino, Italy, 1971. (In Italian) [Google Scholar]
- Oberhettinger, F.; Badii, L. Tables of Laplace Transforms; Springer: Berlin/Heidelberg, Germany; New York, NY, USA, 1973. [Google Scholar]
- Noschese, S.; Ricci, P.E. Differentiation of multivariable composite functions and Bell’s polynomials. J. Comput. Anal. Appl. 2003, 5, 333–340. [Google Scholar]
- Bernardini, A.; Natalini, P.; Ricci, P.E. Multi-dimensional Bell’s polynomials of higher order. Comput. Math. Appl. 2005, 50, 1697–1708. [Google Scholar] [CrossRef]
- Masjed-Jamei, M. A basic class of symmetric orthogonal polynomials using the extended Sturm–Liouville theorem for symmetric functions. J. Math. Anal. Appl. 2007, 325, 753–775. [Google Scholar] [CrossRef]
Publisher’s Note: MDPI stays neutral with regard to jurisdictional claims in published maps and institutional affiliations. |
© 2022 by the authors. Licensee MDPI, Basel, Switzerland. This article is an open access article distributed under the terms and conditions of the Creative Commons Attribution (CC BY) license (https://creativecommons.org/licenses/by/4.0/).







