Next Article in Journal
Electricity Management Policy Applying Data Science and Machine Learning Techniques to Improve Electricity Costs
Previous Article in Journal
A Modified Regularization Method for a Spherically Symmetric Inverse Heat Conduction Problem
 
 
Font Type:
Arial Georgia Verdana
Font Size:
Aa Aa Aa
Line Spacing:
Column Width:
Background:
Article

Adaptation of Signal with NOMA and Polar Codes to the Rayleigh Channel

1
Department of Telecommunications and Basic Principles of Radio Engineering, Tomsk State University of Control and Radioelectronics, 634045 Tomsk, Russia
2
Skolkovo Institute of Science and Technology, 446411 Moscow, Russia
*
Author to whom correspondence should be addressed.
Symmetry 2022, 14(10), 2103; https://doi.org/10.3390/sym14102103
Submission received: 31 August 2022 / Revised: 23 September 2022 / Accepted: 7 October 2022 / Published: 10 October 2022

Abstract

Polar codes are one of the most effective methods of error correction coding. Currently, these codes are used in 5G communication systems and are the main candidate for 6G. Symmetry plays an important role in coding and decoding algorithms for polar codes. Modulation and multiple access methods are the basis for a physical layer along with error correction codes. Non-Orthogonal Multiple Access (NOMA) methods are a promising technology for future telecommunication systems. They allow the increase of both spectral efficiency and the quantity of subscribers of a communication system. In this paper, we consider a communication system with polar codes, traditional orthogonal multiple access (OMA), and NOMA. The channel with multipath propagation, which can be defined by the Rayleigh channel model, is especially difficult to transmit. We propose a method for adapting signals with polar codes to a channel state based on the analysis of channel matrix and permutation of logical subchannels. The results obtained demonstrate efficiency compared to classical solutions and do not really increase the computational complexity of signal processing and decoding.

1. Introduction

Polar codes are a relatively new type of error correction coding proposed by Arican in [1]. It has been shown that polar codes are the first family of codes capable of reaching the bandwidth of binary-input discrete memoryless channels (BDMC) with a low computational complexity of decoding, which can be estimated as O ( n log n ) , where n is the codeword length, at the same time. Despite its novelty, the concept of polar codes has found practical use in the fifth-generation communication systems (5G NR) [2], where they are used in the BCH (Broadcast Channel) transport channel and with DCI and UCI (Downlink and Uplink Control Information). In addition, a number of articles consider them as the main candidate for the role of forward error correction scheme for 6G networks [3,4,5]. Polar codes are promising for use in channels with low latency [3]; they allow for flexible control of the encoding rate and the length of code words [4].
The idea of applying polar codes is to split bit-channels into the most and least reliable ones. The most reliable channels are used to transmit information bits and the least reliable ones are considered frozen, which means that zero values are recorded in them when forming code words. The reliability sequence of bits depends on the way the polar codes are constructed. Despite the fact that most papers consider the classical block structure proposed in [1], there are methods for constructing convolutional polar codes [6]. In addition, polar codes are used together with others to form a concatenated code [7] to increase efficiency. Thus, in 5G NR, a cyclic redundancy check (CRC) is calculated before polar encoding, which significantly increases the transmission noise immunity [8].
Modern communication systems operate under complex conditions of multipath propagation. Mathematically, this phenomenon can be represented as the Rayleigh fading channel model. The communication standards contain recommended parameters for such models, for example, the TDLA-30 scenario in 5G NR [9]. Such channels are characterized by deep fading resulting in an increase in the likelihood of error in the data transmitted in these areas. Thus, different subcarriers in orthogonal frequency division multiple access may have a different signal noise ratio (SNR): up to 20 dB or greater.
Papers [10,11,12] discuss the construction of polar codes, taking into account the features of channel models. Reference [12] is of the greatest interest as it shows how the Rayleigh channel is reduced to the case of a binary input additive white Gaussian noise channel (BIAWGN) using Gaussian approximation and Kullback–Leibler divergence, and polar codes are constructed for it in accordance with [7]. However, the algorithms in this paper are quite complicated and cannot be performed in real time, taking into account the non-stationarity of the channel. The algorithms proposed in these works are very computationally complex and are not adapted for use in modern FPGAs, DSPs or ASICs. That is why the 5G standard describes a fairly simple channel coding sequence that almost ignores the current state of the transmission channel [8]. We propose a simple modification of channel coding using polar codes based on the additional sorting of the reliability of physical channels, for example, orthogonal frequency-division multiplexing (OFDM) subcarriers. Bit channels of polar codes have a different reliability, while in practice, all transmitted information bits should have a minimum bit error probability. Our idea is to align the reliability of the transmission of all information bits by considering the state of both physical and bit channels simultaneously. It can be achieved by including an additional interleaver that distributes encoded bits over optimal physical channels in the channel coding scheme. We present the results of noise immunity, demonstrating the benefits of this approach. Additionally, we investigate the effect of the channel estimation error on the proposed method. Due to its simplicity, the computational complexity of signal formation and processing algorithms increases insignificantly, so the method under consideration can be easily applied in practice in existing communication systems.
As part of the discussion on the 5G standard, a new approach to the formation of physical subchannels has been proposed, that is, the non-orthogonal multiple access (NOMA). Contrary to the orthogonal multiple access (OMA), NOMA implies simultaneous transmission of signals by subscribers in the same time–frequency resource. Several implementations of NOMA principles have been proposed: power division (PD-NOMA) [13], sparse code multiple access (SCMA) [14], rate splitting multiple access (RSMA) [15], etc. [16], which differ from each other in the principles of signal formation and separation (demodulation). It is shown that NOMA surpasses traditional methods based on OFDM in noise immunity and spectral efficiency. Therefore, NOMA is the main candidate for the physical layer architecture in 6G. It should be noted that 6G discussions are at an early stage; a specific NOMA technique has not been selected and the above-described technologies (PD-NOMA, RSMA, SCMA, etc.) continue to compete with each other [17]. NOMA combines multiple access and modulation procedures. Together with error correction coding, NOMA forms the basis of the physical layer and largely determines the main characteristics of the future communication networks. Thus, in this article we consider polar codes together with NOMA (PD-NOMA is chosen as an example) and, therefore, propose a physical layer concept for the next-generation communication networks. PD-NOMA topics are actively developing, with real applications within non-orthogonal multiple access technique operating communication systems, such as user association and contract-theoretic resource orchestration [18]. A relevant application of PD-NOMA is in simultaneous wireless information and power transfer (SWIPT) [19].
The article is structured as follows. Section 2 contains the description of the model under consideration and provides basic theory on the polar code and NOMA technologies used. In Section 3, we describe the proposed method of adapting polar codes to the transmission channel state for systems with OMA and NOMA. The fourth section is devoted to the simulation scenario and its results using the Monte Carlo method. We consider the transmission in the Rayleigh fading channel. The following designations are accepted in the work: B ,   ,   denote binary, real, and complex numbers. To denote scalars, vectors and matrices, x, x, and X notations are used, respectively; the j-th column of X is denoted X ( j ) ; the i-th row of X is denoted X ( i ) ; x ij is X element at the intersection of the i-th row and the j-th column; || x || is the norm of vector x; and I L is a unit matrix of L × L size.

2. System Model

In this paper, we consider two types of communication channels: with OMA (Figure 1) including one transmitter and one receiver, and with NOMA (Figure 2) including one transmitter and two receivers—user equipment (UE) 1 and 2.
Table 1 shows the designations of the main vectors used in the model. Both types of channels (Figure 1 and Figure 2) use CRC (polynomials according to [2] of length L from 6 to 26.), input bits a, and output bits c (C1, C2). Both channels use quadrature amplitude modulation (QAM) with index M, and symbols at the output x, X1, X2. In the NOMA channel, the group signal is designated as y. The last stage is OFDM with output values s. The estimates of the corresponding values in the receiver after the processing stages are denoted as â, Â1, ĉ, Ĉ1, etc.
In the model, we consider a multipath transmission channel with channel matrix H = (hi), hi ~ CN(0,1), i = 1,…, N/log2(M) and additive white Gaussian noise N = (nij), nij ~ CN(0,N0), where N0 is noise variance. The signal in the frequency domain at the input of the OMA receiver can be described as:
e ^ = diag ( H ) x + N .
For NOMA:
E ^ i = diag ( H i ) X i + N i , i = 1 , 2 ,
where H = ( h j ) , j = 1 , , N log 2 M ; H C N ( 0 , 1 ) is the channel matrix; N = ( n j ) , j = 1 , , N log 2 M ; N C N ( 0 , N 0 ) are vectors with spectral counts of noise releases; N 0 is spectral noise power density; Hi, Ni are similar parameters for two NOMA subscribers.

2.1. Polar Codes

Polar encoder (N, K) converts message vector c = (c j) into code word d as follows:
d = u G N
u = ( u i ) ,   i = 1 , , N ,   u i = c j ,   if   i   F ,   u i = 0 ,   if   i   F   F =   ( f 1 , , f N K )
G N = ( g i j ) , i = 1 , , N ,   j = 1 , , N , we use kernel G 2 = [ 1 0 1 1 ] , according to [1], and Kronecker product:
. G N = G 2 n = [ G N / 2 0 G N / 2 G N / 2 ] .
For example, for N = 4, the generator matrix and encoding procedure are shown in Figure 3.
As can be seen from the structure of the generator matrix and encoder, the idea of symmetry is central. The concept of polar codes is based on polar transformation and lies in splitting bit subchannels into channels with a minimum noise value (maximum noise-immune) and channels with a maximum noise value (minimum noise-immune). If n , then it is possible to obtain a channel with absolute noise immunity (with bit error probability P e = 0) and a totally noisy channel (with Pe = 1). The noise immunity of the ui channel is determined by the number of test channels (bits) dn, which it helps to form. Based on this fact, it is possible to make the reliability sequence Q = ( q i ) of all N subchannels by calculating V = ( V q i ) , that is, the weights of the rows of matrix GN, and sorting them in ascending order:
Q = ( q 1 , , q N ) ; V q i = j = 1 N g q i j ; V q 1 < V q i < V q N ; i = 1 , , N ; q i ( 1 , , N ) .
To form the encoder at R=K/N rate, c bits arriving at the encoder input are written to u according to (2); moreover:
F = ( f i ) = ( q 1 , q N K ) .
Different versions of the successive-cancellation algorithm are used to decode polar codes [20]. This algorithm is based on the principles of fractals and symmetry. List decoding shows the greatest efficiency [21]. This algorithm also employs CRC [7]. During the decoding process, a list of L possible paths is saved in each iteration. At the end of decoding, hard decisions are compared with the corresponding CRC values and the most plausible one is selected.

2.2. NOMA

The next stage of signal generation is modulation. In the NOMA scenario (Figure 2), modulation and multiple access are combined into one process. In both OMA and NOMA, QAM-M is used. The main idea of NOMA is to simultaneously transmit X QAM characters to two or more subscribers [13]. Let us consider NOMA with two subscribers: a larger number will significantly increase the computational complexity of signal processing and it will not provide a significant gain. In this case, the group signal can be written as:
Y = p 1 X 1 + p 2 X 2 ,
where p1, p2 are weighting factors responsible for the distribution of power between subscribers. The further away the subscriber is from the transmitter, the smaller its SNR is and the more power it will be allocated. To determine p1 and p2, depending on the channel state, is one of the current problems in NOMA. One of the possible solutions is presented in [22]. We consider a scenario where UE1 is closer to the transmitter than UE2. Thus, SNR1 > SNR2, and p1 < p2. Figure 4 shows an example of signal constellations of two subscribers at p1 = 0.1, p2 = 0.9, and with QAM-16 modulation.
A number of publications [13,16,23] show that, due to the flexible distribution of power between subscribers, NOMA wins over OMA, which makes it an attractive technology for 6G systems.
Decoding NOMA characters in UE1 is performed using the successive interference cancellation algorithm (SIC) in two stages. During the first stage, a subscriber’s signal X2 with a higher power is demodulated from Ŷ1. As a result, vector D2 is obtained. After that, X2 is restored from D2 and is subtracted from Ŷ1 with the corresponding weight:
X ^ 1 = Y ^ 1 p 2 X 2 p 1 .
UE2 demodulates the Ŷ2 signal based on the standard principles of QAM demodulation, while signal X1 contained in Ŷ2 is a system-inherent interference.

3. Adaptation of Signals with Polar Codes to Channel State

In accordance with (1) and (2), a signal passes through the multipath Rayleigh channel. To eliminate its influence, an equalization procedure is used in communication systems with OFDM. Zero forcing (ZF) and minimum mean squared error (MMSE) are the most widely used [24] for it. The signal after the ZF equalizer for the OMA scenario (Figure 1) can be described by the expression:
x ^ i = e ^ i conj ( h ^ i ) | h ^ i | 2 ,
where Ĥ = (ĥi) is an estimate of channel matrix H. In vector form,
x ^ = e ^ conj ( diag ( H ^ ) ) ( conj ( d i a g ( H ^ ) ) diag ( H ^ ) ) 1 .
The signal after MMSE is described by the following expression:
x ^ i = e ^ i conj ( h ^ i ) ( | h ^ i | 2 + N 0 ) .
In vector form,
x ^ = e ^ conj ( diag ( H ^ ) ) ( conj ( diag ( H ^ ) ) diag ( H ^ ) + N 0 I ) 1 .
The problem of both ZF and MMSE equalizers is noise amplification (SNR reduction) on subcarriers attributed to the deep fading region (low values of hi). Thus, different frequency subchannels provide different SNR levels and, as a consequence, the bit error probability in them is different. This problem is especially acute for ZF, since it does not take into account information about the noise level in the channel.
The idea of adapting the transmission of signals with polar codes to the channel state is based on the combination of inhomogeneities of frequency subchannels and bit subchannels of polar codes. It is proposed to transmit logical subchannels containing information about the minimum number of information bits via physical channels with a low SNR ratio. Thus, the adaptation algorithm includes several steps:
Step 1. Sorting channel matrix elements in ascending order of the module:
H ˜ = ( h ˜ i ) , h ˜ i H ^ , i = 1 , , N ; | h ˜ 1 | | h ˜ 2 | | h ˜ i | | h ˜ N | .
Forming index vector of sorted subcarriers:
W = ( w i ) | h ˜ w i h i , i = 1 , , N .
If the modulation with M > 2 is used, several logical streams are transmitted in each physical subchannel. In this case, each element of vector W is repeated log2(M) times.
Step 2. Counting the number of information bits contained in each logical subchannel (frozen bits are not taken into account in this stage):
v j = i ( 1 N ) \ F g i j ,
where gij are the elements of the generator matrix of polar code G.
Forming the vector of indices of matrix V sorted elements:
U = ( u i ) | v u 1 v u 2 v u i v u N , i = 1 , , N .
Step 3. Interleaving bit subchannels so that channels containing the maximum number of information bits are transmitted over the most reliable physical subchannels and vice versa. This is provided by interleaving, permutation matrix R = (rij), which, according to (15) and (17), contains values “1” at the intersection of the row with index wi and the column with index ui; the remaining elements are equal to 0.
The interleaved vector of encoded bits can be written as:
t = d R .
Let us consider an example of the proposed method for N = 8, K = 4, and BPSK modulation. Let an OMA channel of eight subcarriers be given; modules of elements | h k | are shown in Figure 5a, and sorted elements | h ˜ k | are shown in Figure 5b.
In this case, the index vector of the sorted subcarriers is equal to W = [ 8 3 7 6 4 5 2 1 ] . At N = 8, matrix G takes the following form:
G 8 = [ 1 0 0 0 0 0 0 0 1 1 0 0 0 0 0 0 1 0 1 0 0 0 0 0 1 1 1 1 0 0 0 0 1 0 0 0 1 0 0 0 1 1 0 0 1 1 0 0 1 0 1 0 1 0 1 0 1 1 1 1 1 1 1 1 ] .
The weight of the matrix columns is:
V = [ 8 4 4 2 4 2 2 1 ] , N = 8 , K = 8 .
Taking into account frozen subchannels,
V = [ 5 3 3 2 4 2 2 1 ] , N = 8 , K = 4 .
Then the vectors of the indices of sorted elements V:
U = [ 1 5 3 2 7 6 4 8 ] .
In this case, the permutation matrix takes the following form:
R = [ 0 0 0 0 0 0 0 1 0 0 0 0 0 1 0 0 0 0 0 0 0 0 1 0 0 1 0 0 0 0 0 0 0 0 1 0 0 0 0 0 0 0 0 0 1 0 0 0 0 0 0 1 0 0 0 0 1 0 0 0 0 0 0 0 ] .
The indicated above description of the method proposed above is valid for OMA systems. NOMA systems rely on the same general principles, but the adaptation is performed for each subscriber individually. As a result of applying the method, the diagrams shown in Figure 1 and Figure 2 are transformed as demonstrated in Figure 6 (OMA) and Figure 7 (NOMA).
We shall note that the estimation of channel matrix Ĥ should arrive at the transmitter via the return service communication channel.
Separately, we shall note the computational complexity of signal processing in the classical method and the method proposed in this work. It is known that the computational complexity of polar decoding algorithms is estimated to be O ( n log n ) .
The proposed method consists of sorting elements of the channel matrix, sorting bit subchannels in the order of their “importance” and the permutation of bit channels. Note that bit channel sorting is performed once and its complexity can be neglected. To adapt to the channel state, it is necessary to perform channel matrix sorting and channel permutation. The complexity of permutation can be described as O ( n ) . The complexity of sorting can be expressed as O ( n log n ) . Thus, the total complexity of the algorithm is also O ( n log n ) .
As the interval of temporal stationarity of the channel in the general case considerably exceeds duration of one OFDM symbol, the offered method has essentially smaller complexity in comparison with decoding. Thus, application of the method in practice will lead to insignificant growth of complexity.

4. Simulation Results

The efficiency of the proposed methods is estimated with the help of a simulation using the Monte Carlo method. Summary parameters of the model are given in Table 2. First, we consider the OMA system implemented according to the schemes in Figure 1 and Figure 6. It should be noted that, in the simulation, we do not apply the most effective ZF equalizer, which, however, allows us to demonstrate the results of the method more clearly. Using other equalization methods requires that adjustments are made to sorting (14)–(17).
Figure 8 shows the dependencies of the bit error rate (BER) performance on energy per bit to noise power spectral density ratio (Eb/N0) for different encoding rates (R ≈ 1/10, 1/2, 9/10) with BPSK modulation when transmitting in the Rayleigh channel with random values of elements H, ZF equalizer, using the proposed method (Adapted) or without it (Simple). In this scenario, the receiver ideally estimates the channel, and Ĥ = H.
As can be seen from Figure 8, the use of the adaptation method significantly reduces the bit error probability. Depending on the encoding rate and BER value, the gain ranges from ≈3 dB to more than 5 dB.
Figure 9 shows the BER performance dependencies for QAM-16 modulation. The other transmission characteristics correspond to the previous scenario. An increase in the modulation index provides a greater rate, but also leads to an increase in the error probability.
As in the scenario with BPSK modulation, the application of the adaptation method reduces the bit error probability. This effect is most noticeable at high encoding rates (≈9/10), when the polar code corrects fewer errors, and their localization at the decoder input is more important.
Figure 10 shows the dependencies of BER performance when estimating Ĥ with an error. Mean squared error (MSE, σ 2) ranges from 0 to 10−3.
As can be seen from Figure 10, the adaptation reduces the impact of the estimation error and significantly reduces BER. Thus, with σ2 = 101, the proposed method reduces BER by more than five times at high values of Eb/N0 (more than 25 dB); with σ2 = 10−2 and σ2 = 10−3, BER is decreased by ≈eight times. In general, it can be noted that, despite the estimation error and, as a consequence, the incorrect sorting of physical subchannels in accordance with (14)–(18), the method does not lose efficiency and reduces BER.
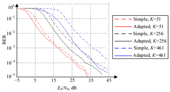
A similar simulation was performed for NOMA (Figure 2 and Figure 7) systems in accordance with the scheme shown in Figure 7. We considered the scenario of resource allocation between two UEs (UE1 and UE2). Upon that, UE1 and UE2 were located at the distances of 100 m and 200 m, respectively. The power between UE1 and UE2 was divided according to (8) in the ratio of p1 = 0.2 and p2 = 0.8. The other parameters corresponded to the OMA system. Figure 11, Figure 12 and Figure 13 show the BER performance dependencies. For Figure 11: K = 51, N = 512 (R ≈ 1/10); Figure 12: K = 256, N = 512 (R ≈ 1/2); Figure 13: K = 461, N = 512 (R ≈ 9/10).
As can be seen from Figure 11, Figure 12 and Figure 13, the proposed method also works for NOMA scenarios. At the same time, both subscribers reduce the BER value as a result of the adaptation, regardless of the encoding rate. The gain value is from ≈3 to ≈5 dB

5. Conclusions

This article addresses the transmission of the signals of the OMA/NOMA systems with polar codes in multipath propagation channels. It proposes the method of adapting polar codes to the transmission conditions in the Rayleigh channels. The method is based on the distribution of logical channels over the OFDM physical subcarriers in relation to the fading depth of channel matrix H.
The simulation results demonstrate the method efficiency and reduction in the bit error probability for various parameters of the encoding rate. We have considered the OMA systems with one transmitter and one receiver. In this scenario, the gain from the adaptation is from ≈3 to ≈5 dB. Receiver estimation error Ĥ does not lead to a decrease in the method efficiency. On the contrary, the adaptation allows the reduction of the number of unrecoverable errors, depending on the error extent, from 5 (σ2 = 10−1) to 8 (σ2 = 10−2, σ2 = 10−3) times.
The application of the adaptation method for the NOMA scenario also demonstrates its efficiency. In all the scenarios considered (different encoding rates and two UEs), the adaptation provides the gain of up to 5 dB.
We shall expressly indicate that the proposed method involves interleaving bits and thus has a low computational complexity, which makes it easy to apply it in practice. This section is not mandatory but can be added to the manuscript if the discussion is unusually long or complex.

Author Contributions

Conceptualization, D.P.; methodology, D.P. and Y.K.; software, D.P., G.S. and A.S.; validation, Y.K. and E.R.; formal analysis, E.R.; investigation, D.P.; resources, D.P. and Y.K.; data curation, D.P.; writing—original draft preparation, D.P.; writing—review and editing, D.P. and E.R.; visualization, D.P.; supervision, S.N.; project administration, D.P.; funding acquisition, S.N. All authors have read and agreed to the published version of the manuscript.

Funding

The work has been completed with the financial support of the Ministry of Digital Development, Communications and Mass Media of the Russian Federation and Russian Venture Company (RVC JSC), as well as the Skolkovo Institute of Science and Technology, Identifier Subsidy’s granting agreements 0000000007119P190002, No. 005/20 dated 26 March 2020.

Data Availability Statement

Not applicable.

Acknowledgments

The authors would like to thank the reviewers for their thoughtful remarks and recommendations, which considerably enhanced the paper’s presentation.

Conflicts of Interest

The authors declare no conflict of interest.

References

  1. Arıkan, E. Channel polarization: A method for constructing capacity achieving codes for symmetric binary-input memoryless channels. IEEE Trans. Inf. Theory 2009, 55, 3051–3073. [Google Scholar] [CrossRef]
  2. 3GPP 38.212 V.15.3.0; 3rd Generation Partnership Project (3GPP). Multiplexing and Channel Coding. 2018. Available online: https://www.etsi.org/deliver/etsi_ts/138200_138299/138212/15.03.00_60/ts_138212v150300p.pdf (accessed on 13 July 2022).
  3. You, X.; Wang, C.; Huang, J.; Gao, X.; Zhang, Z.; Wang, M.; Huang, Y.; Zhang, C.; Jiang, Y.; Wang, J.; et al. Towards 6G wireless communication networks: Vision, enabling technologies, and new paradigm shifts. Sci. China Inf. Sci. 2021, 64, 1–74. [Google Scholar] [CrossRef]
  4. Tong, J.; Wang, X.; Zhang, Q.; Zhang, H.; Li, R.; Wang, J.; Tong, W. Fast polar codes for terabits-per-second throughput communications. arXiv Preprint 2021, arXiv:2107.08600. [Google Scholar]
  5. Ping, Z.; Kai, N.; Hui, T.; Gaofeng, N.; Xiaoqi, Q.; Qi, Q.; Jiao, Z. Technology prospect of 6G mobile communications. J. Commun. 2019, 40, 141–148. [Google Scholar]
  6. Ferris, A.J.; Hirche, C.; Poulin, D. Convolutional polar codes. arXiv Preprint 2017, arXiv:1704.00715. [Google Scholar]
  7. Trifonov, P. Efficient design and decoding of polar codes. IEEE Trans. Commun. 2012, 60, 3221–3227. [Google Scholar] [CrossRef]
  8. Valerio, B.; Condo, C.; Land, I. Design of polar codes in 5G new radio. IEEE Commun. Surv. Tutor. 2020, 23, 29–40. [Google Scholar]
  9. ETSI TS 138 141-1 V15.0.0 (2019-04) 5G NR; Base Station (BS) Conformance Testing Part 1: Conducted Conformance Testing (3GPP TS 38.141-1 version 15.0.0 Release 15)—3GPP. 2019; 200p. Available online: https://www.etsi.org/deliver/etsi_ts/138100_138199/13814101/15.00.00_60/ts_13814101v150000p.pdf (accessed on 13 July 2022).
  10. Fayyaz, U.U.; Barry, J.R. Polar codes for partial response channels. In Proceedings of the 2013 IEEE International Conference on Communications (ICC), Budapest, Hungary, 9–13 June 2013. [Google Scholar]
  11. Goela, N.; Abbe, E.; Gastpar, M. Polar codes for broadcast channels. IEEE Trans. Inf. Theory 2014, 61, 758–782. [Google Scholar] [CrossRef]
  12. Zhou, D.; Niu, K.; Dong, C. Construction of polar codes in Rayleigh fading channel. IEEE Commun. Lett. 2019, 23, 402–405. [Google Scholar] [CrossRef]
  13. Saito, Y.; Kishiyama, Y.; Benjebbour, A.; Nakamura, T.; Li, A.; Higuchi, K. Non-orthogonal multiple access (NOMA) for cellular future radio access. In Proceedings of the 2013 IEEE 77th Vehicular Technology Conference (VTC Spring), Dresden, Germany, 2–5 June 2013; pp. 1–5. [Google Scholar]
  14. Nikopour, H.; Baligh, H. Sparse code multiple access. In Proceedings of the 2013 IEEE 24th Annual International Symposium on Personal, Indoor, and Mobile Radio Communications (PIMRC), London, UK, 8–11 September 2013. [Google Scholar]
  15. Mao, Y.; Clerckx, B.; Li, V.O.K. Rate-splitting multiple access for downlink communication systems: Bridging, generalizing, and outperforming SDMA and NOMA. EURASIP J. Wirel. Commun. Netw. 2018, 2018, 1–54. [Google Scholar] [CrossRef]
  16. Makki, B.; Chitti, K.; Behravan, A.; Alouini, M. A survey of NOMA: Current status and open research challenges. IEEE Open J. Commun. Soc. 2020, 1, 179–189. [Google Scholar] [CrossRef]
  17. Liu, Y.; Zhang, S.; Mu, X.; Ding, Z.; Schober, R.; Al-Dhahir, N.; Hossain, E.; Shen, X. Evolution of NOMA toward next generation multiple access (NGMA) for 6G. IEEE J. Sel. Areas Commun. 2022, 40, 1037–1071. [Google Scholar] [CrossRef]
  18. Diamanti, M.; Fragkos, G.; Tsiropoulou, E.E.; Papavassiliou, S. Unified user association and contract-theoretic resource orchestration in NOMA heterogeneous wireless networks. IEEE Open J. Commun. Soc. 2020, 1, 1485–1502. [Google Scholar] [CrossRef]
  19. Diamanti, M.; Tsiropoulou, E.E.; Papavassiliou, S. The Joint Power of NOMA and Reconfigurable Intelligent Surfaces in SWIPT Networks. In Proceedings of the 2021 IEEE 22nd International Workshop on Signal Processing Advances in Wireless Communications (SPAWC), Lucca, Italy, 27–30 September 2021; pp. 621–625. [Google Scholar]
  20. Chen, K.; Niu, K.; Lin, J. Improved successive cancellation decoding of polar codes. IEEE Trans. Commun. 2013, 61, 3100–3107. [Google Scholar] [CrossRef]
  21. Tal, I.; Vardy, A. List decoding of polar codes. IEEE Trans. Inf. Theory 2015, 61, 2213–2226. [Google Scholar] [CrossRef]
  22. Kryukov, Y.V.; Pokamestov, D.A.; Rogozhnikov, E.V. PD-NOMA power coefficients calculation while using QAM signals. In International Conference on Distributed Computer and Communication Networks; Springer: Cham, The Netherlands, 2019. [Google Scholar]
  23. Kryukov, Y.V.; Pokamestov, D.A.; Abenov, R.R.; Mukhamadiev, S.M.; Kanatbekuli, I. Spectral efficiency analysis of two-user Downlink PD-NOMA with LTE modulation and coding schemes. J. Phys. Conf. Series 2021, 2134, 1. [Google Scholar] [CrossRef]
  24. Rugini, L.; Banelli, P.; Leus, G. Simple equalization of time-varying channels for OFDM. IEEE Commun. Lett. 2005, 9, 619–621. [Google Scholar] [CrossRef]
Figure 1. OMA channel with polar code.
Figure 1. OMA channel with polar code.
Symmetry 14 02103 g001
Figure 2. NOMA channel with polar code.
Figure 2. NOMA channel with polar code.
Symmetry 14 02103 g002
Figure 3. G4 and encoder for N = 4.
Figure 3. G4 and encoder for N = 4.
Symmetry 14 02103 g003
Figure 4. Forming group NOMA signal.
Figure 4. Forming group NOMA signal.
Symmetry 14 02103 g004
Figure 5. Channel matrix H; (a)—elements | h k | ; (b)—elements | h ˜ k | .
Figure 5. Channel matrix H; (a)—elements | h k | ; (b)—elements | h ˜ k | .
Symmetry 14 02103 g005
Figure 6. OMA channel with adapted polar code.
Figure 6. OMA channel with adapted polar code.
Symmetry 14 02103 g006
Figure 7. NOMA channel with adapted polar code.
Figure 7. NOMA channel with adapted polar code.
Symmetry 14 02103 g007
Figure 8. BER performance for different polar codec rates, BPSK modulation.
Figure 8. BER performance for different polar codec rates, BPSK modulation.
Symmetry 14 02103 g008
Figure 9. BER performance of the OMA system for different polar codec rates, 16QAM modulation.
Figure 9. BER performance of the OMA system for different polar codec rates, 16QAM modulation.
Symmetry 14 02103 g009
Figure 10. BER performance with different channel estimation error, R = 1/2.
Figure 10. BER performance with different channel estimation error, R = 1/2.
Symmetry 14 02103 g010
Figure 11. BER performance of NOMA system K = 51, N = 512.
Figure 11. BER performance of NOMA system K = 51, N = 512.
Symmetry 14 02103 g011
Figure 12. BER performance of NOMA system K = 256, N = 512.
Figure 12. BER performance of NOMA system K = 256, N = 512.
Symmetry 14 02103 g012
Figure 13. BER performance of NOMA system K = 461, N = 512.
Figure 13. BER performance of NOMA system K = 461, N = 512.
Symmetry 14 02103 g013
Table 1. Characteristics of the simulation model for OMA and (NOMA) channel.
Table 1. Characteristics of the simulation model for OMA and (NOMA) channel.
Vectors NameDimensionality of VectorsExplanation
a (A1, A2)K-LBitstream at the input of the OMA transmitter (1st and 2nd NOMA subscribers)
c (C1, C2)KBitstream with CRC
d (D1, D2)NBitstreams after polar coding
x (X1, X2)N/log2(M)Modulation symbols
yN/log2(M)NOMA group symbols
ŝ (Ŝ1, Ŝ2)N/log2(M)+ cyclic prefixOFDM symbol
ê (Ê1, Ê2)N/log2(M)Received symbols in the frequency domain
HN/log2(M)×1Channel matrix
NN/log2(M)AWGN sample vector
t (T1, T2)NInterleaved Bits
RN × NInterleaver matrix
Table 2. Characteristics of the simulation model.
Table 2. Characteristics of the simulation model.
Characteristics of the Simulation ModelValue
Access typeNOMA, OMA
N512
K51, 259, 451
Modulation typeBPSK, QPSK, 16QAM
CRC polynomialgCRC11(D) = [D11 + D10 + D9 + D5 + 1]
Multipath channel typeRayleigh (random)
Equalizer typeZF
Publisher’s Note: MDPI stays neutral with regard to jurisdictional claims in published maps and institutional affiliations.

Share and Cite

MDPI and ACS Style

Pokamestov, D.; Kryukov, Y.; Rogozhnikov, E.; Shalin, G.; Shinkevich, A.; Novichkov, S. Adaptation of Signal with NOMA and Polar Codes to the Rayleigh Channel. Symmetry 2022, 14, 2103. https://doi.org/10.3390/sym14102103

AMA Style

Pokamestov D, Kryukov Y, Rogozhnikov E, Shalin G, Shinkevich A, Novichkov S. Adaptation of Signal with NOMA and Polar Codes to the Rayleigh Channel. Symmetry. 2022; 14(10):2103. https://doi.org/10.3390/sym14102103

Chicago/Turabian Style

Pokamestov, Dmitriy, Yakov Kryukov, Eugeniy Rogozhnikov, Georgiy Shalin, Artem Shinkevich, and Serafim Novichkov. 2022. "Adaptation of Signal with NOMA and Polar Codes to the Rayleigh Channel" Symmetry 14, no. 10: 2103. https://doi.org/10.3390/sym14102103

APA Style

Pokamestov, D., Kryukov, Y., Rogozhnikov, E., Shalin, G., Shinkevich, A., & Novichkov, S. (2022). Adaptation of Signal with NOMA and Polar Codes to the Rayleigh Channel. Symmetry, 14(10), 2103. https://doi.org/10.3390/sym14102103

Note that from the first issue of 2016, this journal uses article numbers instead of page numbers. See further details here.

Article Metrics

Back to TopTop